建发海宸 (售楼处电话) 官方 - 建发海宸销售中心 - 环境 - 户型 - 价格 - 地址 - 楼盘详情 - 配套 - 电话 - 交房时间 - 配套 - 电话 - 交房时间
扫描到手机,新闻随时看
扫一扫,用手机看文章
更加方便分享给朋友
新江湾城1.55低容墅区!「建发海宸」首开强势热销!二期加推建面约125-210㎡洋房即将入市!附线上预约通道!
══上海杨浦「建发海宸」══
售楼处电话☎:400-877-8334(一对一热情服务)
【建发海宸营销中心】
售楼部服务热线400-8778-334(最新官方认证电话)
📍上海杨浦建发海宸📍官方售楼处电话:400-877-8334「预约看房专线」建发海宸营销中心地址/官方售楼热线:400-8778-334√√(官网已认证)
⭐温馨提示:如有问题欢迎来电咨询24小时热线,可对接专属销售顾问一对一热情服务,让您用专业眼光去买房,提前来电预约【享】内部专属优惠折扣!
杨浦新江湾城低密度大盘
「建发海宸」二批次待认购!
加推建面约125-210m²4房!
上期均价110764元/㎡!
售楼处线上火热预约中!
📍上海杨浦建发海宸📍官方售楼处电话:400-877-8334「预约看房专线」建发海宸营销中心地址/官方售楼热线:400-8778-334√√(官网已认证)
今年3月25日,杨浦区新江湾城两幅稀缺住宅地块完成协议出让,由上海地产集团旗下上海城市更新建设发展有限公司竞得,总价高达123.5亿元,未来预计将供应1611套住宅。
值得关注的是,两幅地块后续将通过股权转让方式引入品牌房企操盘——G1-06地块已确定由建发集团全资接盘——就是现在的建发海宸!
图源网络
E1-08A地块则传闻将由保利接手,标志着新江湾城正式迎来新一轮开发热潮。
建发海宸占据新江湾城南部门户位置,东邻高端项目上海院子,北侧紧邻在建的上海市交通大学附属中学杨浦实验学校(含九年一贯制及高中部),步行700米可达10号线殷高东路站。📍上海杨浦建发海宸📍官方售楼处电话:400-877-8334「预约看房专线」建发海宸营销中心地址/官方售楼热线:400-8778-334√√(官网已认证)
📍上海杨浦建发海宸📍官方售楼处电话:400-877-8334「预约看房专线」建发海宸营销中心地址/官方售楼热线:400-8778-334√√(官网已认证)
周边九龙仓玺园、仁恒怡庭等豪宅林立,居住氛围成熟。
该地块容积率仅1.55,限高40米,规划建筑面积约15.95万㎡,楼板价达5.42万元/㎡,将打造1156套小高层与叠墅组合产品。共有4种产品在小区里出现,分别是:4层的叠墅产品、6层的叠墅产品(上中下叠)、4~6层的小洋房产品、11~13层的小高层项目。
整体看,全人车分流是标配,项目大部分楼栋东南向排布,就是为了5层叠加可以对着湿地公园,且完美规避了西南向未来看加油站的问题。
📍上海杨浦建发海宸📍官方售楼处电话:400-877-8334「预约看房专线」建发海宸营销中心地址/官方售楼热线:400-8778-334√√(官网已认证)
新房方面,新江湾已经断供将近3年之久。
2022年7月,中企云萃江湾入市,加推224套小高层产品,均价9.6万/㎡,认购率411%,入围积分74.6分。
随后,2023年1月,沁风雅苑以均价12万/㎡入市。
板块二手房方面,建发项目隔壁的上海院子,洋房最新成交价在12-14万之间。

新江湾标杆小区的二手成交价格还是很坚挺的,除了作为城市副中心以及第三代国际社区的整体配套优势,另一方面则是因为板块断供太久了。
【建发海宸】,海派东方灯塔新作!落址新江湾正芯、大创智核芯,尽揽生态、产业、教育、交通、商业、医疗、圈层资源,以全维高配,敬高阶奢居。
新江湾芯、一线水岸,珍视“三园一廊”的天然馈赠,社区内外一体化规划,共生共融。海派臻园、市政景观、生态走廊温柔融合,风光相互渗透,推窗即是自然诗行!
项目日前首开带来了一场全市级别的热销盛宴,现场人气堪称爆棚,为上海新房市场注入了一剂强心剂!
📍上海杨浦建发海宸📍官方售楼处电话:400-877-8334「预约看房专线」建发海宸营销中心地址/官方售楼热线:400-8778-334√√(官网已认证)
最新消息!「建发海宸」项目将推售小高层/洋房/叠墅产品;预计可售房源约1100套+,项目二批次房源预计10月开盘,除了前期卖爆的建面约125/161㎡4房,二批次还会加推建面约189/210㎡的滨水低密洋房,妥妥的塔尖级改善产品,2000万级客户可以重点关注!
📍上海杨浦建发海宸📍官方售楼处电话:400-877-8334「预约看房专线」建发海宸营销中心地址/官方售楼热线:400-8778-334√√(官网已认证)
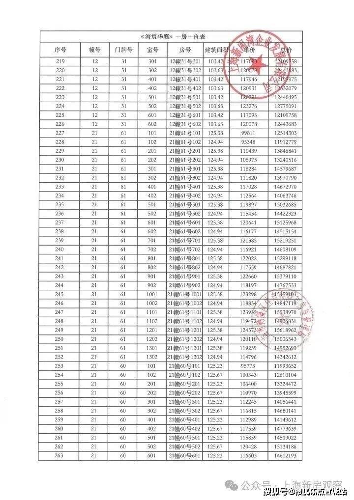
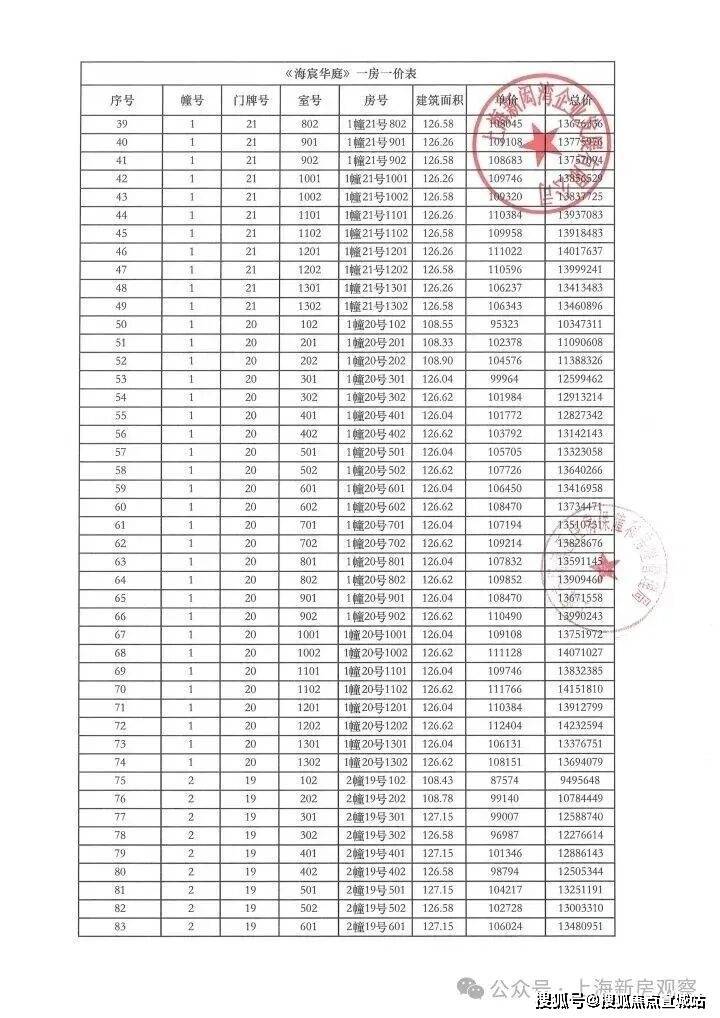
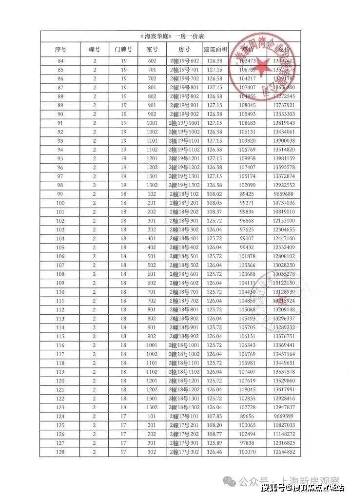
上期一房一价表如下:
最新动态:新江湾低密豪宅新标杆!
建发海宸全新效果图&实景图首发
📍上海杨浦建发海宸📍官方售楼处电话:400-877-8334「预约看房专线」建发海宸营销中心地址/官方售楼热线:400-8778-334√√(官网已认证)
最新消息!杨浦新江湾-建发海宸首开楼栋包括1、2、3、11、12、21、22、23号楼,推出建面105㎡、125㎡、161㎡三种户型产品!
105平户型预计总价1050-1200万
125平三面宽户型预计总价1200-1450万
125平四开间户型预计总价1300-1500万
161平户型预计总价1700万-2000万
📍上海杨浦建发海宸📍官方售楼处电话:400-877-8334「预约看房专线」建发海宸营销中心地址/官方售楼热线:400-8778-334√√(官网已认证)
新江湾正芯,生态公园畔
「建发海宸」二批次待认购!
二批将推建面约125-210㎡洋房
往期均价约11.07万/㎡
📍上海杨浦建发海宸📍官方售楼处电话:400-877-8334「预约看房专线」建发海宸营销中心地址/官方售楼热线:400-8778-334√√(官网已认证)
对于偏爱自然逸居的购房者而言,这次补仓可谓重大利好,毕竟,在寸土寸金的上海,能同时坐拥“湿地公园+主城副中心+名校教育+低密规划”等全维高配的新江湾天生就是孤品。
小区门头,高度接近15米宽度超65米

园林景观

社区会客厅

会所空间

下沉式会所

即将入市户型图如下:
⬇️专业销售一对一咨询⬇️
📍上海杨浦建发海宸📍官方售楼处电话:400-877-8334「预约看房专线」建发海宸营销中心地址/官方售楼热线:400-8778-334√√(官网已认证)
样板间约125㎡全能户型带来媲美140㎡的尺度感,三厅一体的设计理念,给你一个会“长大”的家,再加上人性化的海量收纳,满足当代购房者既要又要还要的心理,又一次精准拿捏住无数客户的置业喜好。






📍上海杨浦建发海宸📍官方售楼处电话:400-877-8334「预约看房专线」建发海宸营销中心地址/官方售楼热线:400-8778-334√√(官网已认证)
建发房产丨新中式生活匠造者:建识东方,发献大美,建发房产通过“儒门、道园、唐风、华纹”匠造理念,基于王府中式、盛世唐风、禅境中式、风雅宋韵、海派东方、诗意东方等多元产品风格,凝练为【锦】、【秀】、【华】、【章】四大产品系列,致力于成为“新中式生活匠造者”。
📍上海杨浦建发海宸📍官方售楼处电话:400-877-8334「预约看房专线」建发海宸营销中心地址/官方售楼热线:400-8778-334√√(官网已认证)
建发房产凝萃百年海派建筑灵感,采撷千年东方美学丰韵,秉持至高造宅标准,以创新式传承为上海匠筑海派东方灯塔首作——【建发海宸】,以高阶限定的低密大盘镌刻永不过时的海派雅居,让世界建识东方大美生活。
上海的浪漫,繁花占一半,【建发·海宸】取意繁花似锦巧思,汲取玉兰灵韵缔造尊贵与浪漫并存,恢宏与繁华共融的建筑。
📍上海杨浦建发海宸📍官方售楼处电话:400-877-8334「预约看房专线」建发海宸营销中心地址/官方售楼热线:400-8778-334√√(官网已认证)
「玉兰门庭」摩登飘逸,环抱式落客前场,大师定制非遗掐丝珐琅门钹,流转温润光华,敬呈归家尊崇礼序,自此启幕生活的华贵序章。
📍上海杨浦建发海宸📍官方售楼处电话:400-877-8334「预约看房专线」建发海宸营销中心地址/官方售楼热线:400-8778-334√√(官网已认证)
「繁花立面」金属曲面层叠交织,将玉兰冠顶绽放的瞬间淬炼为永恒,承袭海派建筑的经典秩序,以曲面柱廊、阵列式柱廊撑起恢弘天幕,尽显庄严气度。
📍上海杨浦建发海宸📍官方售楼处电话:400-877-8334「预约看房专线」建发海宸营销中心地址/官方售楼热线:400-8778-334√√(官网已认证)
萃取东方色谱精粹,【建发·海宸】甄选丝箔流金、东方雅铜,青釉奢蓝,以当代笔触晕染立面,令传统色彩在空间生长为永恒的诗意。
「入户门头」形取和平饭店经典拱门,配以碧绿色天然石材门套、彩玻花窗,重现百年外滩门廊的尊崇仪式。
📍上海杨浦建发海宸📍官方售楼处电话:400-877-8334「预约看房专线」建发海宸营销中心地址/官方售楼热线:400-8778-334√√(官网已认证)
社区景观方面:上善若水,海纳百川,是上海的精神也是【建发·海宸】的造物哲学,【建发·海宸】将海派文景化为日常风景复现「沪城八景」意象,浓萃「上海名园」精华。
📍上海杨浦建发海宸📍官方售楼处电话:400-877-8334「预约看房专线」建发海宸营销中心地址/官方售楼热线:400-8778-334√√(官网已认证)
以水为引,起承转合,以海天华堂、华亭烟雨、凤亭问泉,清涟夜月、黄浦秋涛等景观组团,悠然铺陈东方院落式归家礼序。

📍上海杨浦建发海宸📍官方售楼处电话:400-877-8334「预约看房专线」建发海宸营销中心地址/官方售楼热线:400-8778-334√√(官网已认证)
并依托约1.5公里的滨水长廊,将约11.4公顷生态湿地融为业主的后花园,借景河道,构筑多元生活剧场,穿过外滩晨钟、闲渡蒹葭、溪川雪霁,恍如在穿越时空的海派画卷中悠然漫步。
📍上海杨浦建发海宸📍官方售楼处电话:400-877-8334「预约看房专线」建发海宸营销中心地址/官方售楼热线:400-8778-334√√(官网已认证)
只此青绿的「玉玲珑」,复刻上海豫园镇园奇石的灵韵风骨,优雅缠绕的「紫藤架」,演绎衡山公园的紫藤之恋,绿桐树环抱的「碧梧轩」,邂逅秋霞圃的林下会客场景等,这是上海心底私藏的韵味与魅力。

📍上海杨浦建发海宸📍官方售楼处电话:400-877-8334「预约看房专线」建发海宸营销中心地址/官方售楼热线:400-8778-334√√(官网已认证)
项目为业主配置了约4200㎡摩登会所与约1370㎡泛会所空间,整体面积超5500㎡,远超市面上豪宅会所的尺度,你能想到的会所功能这里都能实现!
📍上海杨浦建发海宸📍官方售楼处电话:400-877-8334「预约看房专线」建发海宸营销中心地址/官方售楼热线:400-8778-334√√(官网已认证)
更令人惊奇的是,虽然规模如此之大,但在功能划分上面建发却精细到不行。
比如相较于豪宅会所标配的泳池,建发海宸特意搭配了儿童泳池和泡池。再比如豪宅会所标配的私宴厅,建发海宸特意预备了2个,让大家族的社交宴请更加从容。




📍上海杨浦建发海宸📍官方售楼处电话:400-877-8334「预约看房专线」建发海宸营销中心地址/官方售楼热线:400-8778-334√√(官网已认证)
建发物业尊崇服务礼遇圈层:建发物业连续多年荣膺中国物业服务力百强企业,住宅物业服务满意度连续7年位列赛惟数据库行业TOP5,已在港交所上市(股票代码:HK.02156),覆盖全国超70城,服务超百万业主。
五维交心服务体系拓展美好生活边界
📍上海杨浦建发海宸📍官方售楼处电话:400-877-8334「预约看房专线」建发海宸营销中心地址/官方售楼热线:400-8778-334√√(官网已认证)
新江湾城不仅是上海罕见的生态宜居板块-拥有原生态湿地公园与低密城市界面。新江湾城绿化覆盖率高达约60%,新江湾城公园来一场浆板夜划,安徒生童话乐园探秘丑小鸭村庄,SMP滑板公园体验“贴地飞行”,新江湾城生态走廊观鸟拍鸟,这样适逸的生活没人可以拒绝;
📍上海杨浦建发海宸📍官方售楼处电话:400-877-8334「预约看房专线」建发海宸营销中心地址/官方售楼热线:400-8778-334√√(官网已认证)
图源网络
商业方面:项目周边有五角场商圈集萃约36万㎡合生汇、约33万㎡万达广场、约12.6万㎡百联又一城、约2万㎡江湾里MEET678、约8万㎡悠方购物中心等商业,荟萃吃喝玩乐购住全享受。
📍上海杨浦建发海宸📍官方售楼处电话:400-877-8334「预约看房专线」建发海宸营销中心地址/官方售楼热线:400-8778-334√√(官网已认证)
更坐拥"产学研"黄金三角:名校云集:复旦大学、同济大学、上海财经大学三所顶尖高校环绕,衍生出兰生复旦中学、复旦二附中、上音实验学校等全龄段优质教育资源;家门口就是交大附中(在建),还汇聚中福会幼儿园、规划幼儿园、上音实验学校、德法学校、复旦大学等全龄学府,从幼儿园、小学到中学、大学全覆盖,加速孩子成长。
📍上海杨浦建发海宸📍官方售楼处电话:400-877-8334「预约看房专线」建发海宸营销中心地址/官方售楼热线:400-8778-334√√(官网已认证)
产业:湾谷科技园、复旦软件园、创智天地三大产业园汇聚7000余家科技企业,耐克、IBM、西门子等跨国总部扎根,形成高知人才聚集地;
📍上海杨浦建发海宸📍官方售楼处电话:400-877-8334「预约看房专线」建发海宸营销中心地址/官方售楼热线:400-8778-334√√(官网已认证)
交通:在建的军工路快速路(预计2025年竣工)将串联中环北段,大幅缓解北上海交通压力,新江湾城成为最大受益者,联动宝山、浦东的区位优势进一步凸显。
📍上海杨浦建发海宸📍官方售楼处电话:400-877-8334「预约看房专线」建发海宸营销中心地址/官方售楼热线:400-8778-334√√(官网已认证)
直线距离约500米10号线,直线距离约700米20号线(在建),直线距离约700米18号线,直通五角场、南京东路、新天地、虹桥枢纽,加上中环北扩,直达市中心、纵横上海,出行、出游说走就走;
📍上海杨浦建发海宸📍官方售楼处电话:400-877-8334「预约看房专线」建发海宸营销中心地址/官方售楼热线:400-8778-334√√(官网已认证)
医疗方面:1.5公里内有杨浦区中心医院中原分院、市东医院、长海医院等医疗资源,为您及家人的健康保驾护航。
📍上海杨浦建发海宸📍官方售楼处电话:400-877-8334「预约看房专线」建发海宸营销中心地址/官方售楼热线:400-8778-334√√(官网已认证)
生态休闲:项目距新江湾城公园直线约1000米,占地面积约12000㎡,上海绿肺,城市氧吧;距离新江湾城生态走廊直线约50米,全长约1.9公里,占地面积约11.4公顷,新江湾湿地生态观鸟拍鸟基地坐落其中。
距离安徒生童话乐园直线约200米,占地面积约81400㎡,全球第一个以安徒生名字命名的童话公园。
距离SMP滑板公园直线约1500米,占地面积约147465㎡,上海首个滑板公园,获得“面积最大滑板公园”的吉尼斯世界纪录认证。
新江湾城「建发海宸」加推约125-210m²4房,上期均价110764元/㎡!
📍上海杨浦建发海宸📍官方售楼处电话:400-877-8334「预约看房专线」建发海宸营销中心地址/官方售楼热线:400-8778-334√√(官网已认证)
声明:本文由入驻焦点开放平台的作者撰写,除焦点官方账号外,观点仅代表作者本人,不代表焦点立场。
