毗邻虹桥主城区,国企钜制低密洋房社区,上实•云端售楼处热线:400-8618-004❄️❄️约95㎡房源正在热销中,总价412万起!上实•云端售楼处热线:400-8618-004❄️❄️大虹桥作为上海连通长三…
毗邻虹桥主城区,国企钜制低密洋房社区,上实•云端售楼处热线:400-8618-004❄️❄️约95㎡房源正在热销中,总价412万起!附预约通道!
上实•云端售楼处热线:400-8618-004❄️❄️
青浦华新全新盘
建面约95m²3房
7-8层洋房 精装交付
均价45700元/㎡ 总价412万起
共计434套 无需积分 直接下定
售楼处线上火热预约

请务必报名后静待销售电话确认,确认后再行前往 现场 !仅预约客户可进入销售现场,感谢您的理解和支持!
上实•云端售楼处热线:400-8618-004❄️❄️ 项目基础信息
【上实•云端售楼处热线:400-8618-004❄️❄️ 项目名称】上实云端
【开发商】上海城开青新房地产开发有限公司
【上实•云端售楼处热线:400-8618-004❄️❄️ 项目产品】建面约95㎡三房两厅两卫/约125㎡四房两厅两卫
【占地面积】30051.5㎡
【产品类别】7-8层洋房
【建筑风格】现代典雅简美风格
【车位配比】约1:1.2
【装修配置】精装修
【容积率】1.5
【绿化率】35%
【可售总户数】434套
【上实•云端售楼处热线:400-8618-004❄️❄️ 项目动态】直接下定

国企背景护航 百强实力房企
上实•云端售楼处热线:400-8618-004❄️❄️项目由上海实业(集团)有限公司(简称“上实集团”)旗下上海实业城市开发集团有限公司(简称“上实城开”)下属上海城开青新房地产开发有限公司开发建设。

上实•云端售楼处热线:400-8618-004❄️❄️上实集团旗下拥有沪、港、新三地七家上市公司,管理运营上海生物医药、文化产业两大基金,业务涵盖生物医药、环保基建、房地产、金融投资和消费品等五大产业领域,重点培育文创科技产业。截至2021年11月,上实集团实现营业收入2149亿元,总资产4080亿元。26载上实城开,香港联交所主板上市,“核心都市产城融合发展商”,中国房地产百强,以中国房地产开发、运营等综合业务为主要投资方向。业务主要分布于上海、北京、天津、西安、重庆、烟台、沈阳等11个重点城市,造就了上海万源城、城开御瑄、城开云外、TODTOWN天荟、北京西钓鱼台·御玺、西安自然界、烟台上实·云麓、天津上实·仰山等一批中高档楼盘。 上实•云端售楼处热线:400-8618-004❄️❄️
公园洋房 革新都市生活范本

上实•云端售楼处热线:400-8618-004❄️❄️

【一轴一心一带四组团社区规划设计】
一轴:归家礼仪轴线,脚步串联森屿秘境 上实•云端售楼处热线:400-8618-004❄️❄️
一心:核心景观会客厅,与友人畅游森海
一带:林荫景观带,隔绝喧嚣,纵享静谧
四组团:四重生态境界,珍藏四季芳华美景 上实•云端售楼处热线:400-8618-004❄️❄️

【渐入云端 | 仪式归家,每一步皆是度假感】
上实•云端售楼处热线:400-8618-004❄️❄️礼序门庭,尊荣归家。奢雅墙景、移动花钵、潺潺水景,以现代美学打造沉浸式归家体验;精装轩敞的入户大堂,营造星级酒店般的尊贵享受,身份感与尊崇感兼备。 上实•云端售楼处热线:400-8618-004❄️❄️

【诗意云端 | 现代园系,在都市寻一片森林】
上实•云端售楼处热线:400-8618-004❄️❄️自然丰盈,园系森居。打造“四季有景,三季有花”的植物氛围,铺陈归家礼仪观景轴线,一步一景,实现人与自然的和谐共生;用现代美革新洋房建筑,整体布局为舒展的曲线形式,实现社区内景观与光照条件的最佳组合;奢阔楼间距,生态公园+现代洋房,一座绿色社区自然围合而成。 上实•云端售楼处热线:400-8618-004❄️❄️

上实•云端售楼处热线:400-8618-004❄️❄️

【活力云端 | 在自然中,让社交自然而然发生】
上实•云端售楼处热线:400-8618-004❄️❄️活力花园,沉浸社交。将自然之美、建筑之艺与人文关怀相结合,构建景观会客花园、邻里休闲花园等自然式社交生活场域,为人们的休闲、会客交谈创造出无限雅趣意境,投身于绿意环绕中,寻回生活本该有的奢适与惬意。 上实•云端售楼处热线:400-8618-004❄️❄️

上实•云端售楼处热线:400-8618-004❄️❄️ 项目户型图如下:

上实•云端售楼处热线:400-8618-004❄️❄️ 项目区位价值及配套
上实•云端售楼处热线:400-8618-004❄️❄️项目位于青浦区华新镇,地处大虹桥西辐射范围,距离虹桥商务区约8公里。
【天空区位 | 国家战略焦点,区域发展头等舱】
上实•云端售楼处热线:400-8618-004❄️❄️大虹桥作为上海连通长三角区域的桥头堡,中国未来重要的经济核心体的中心之一。由2035国家战略导向,虹桥区域将打造为长三角一体化示范区、CBD城市群,上海将形成东有“大浦东”,西有“大虹桥”的“双引擎”格局,成为中国面向全球的城市封面。 上实•云端售楼处热线:400-8618-004❄️❄️

【城芯立足 | 区域转型升级,高性价比优选】
项目所属华新镇,位于虹桥商务区西北部,是大虹桥商务区的扩展部分之一,也是长三角进入大虹桥的必经之路,定位为大虹桥的配套居住区和功能服务区。未来,华新镇将围绕“宜居宜业、转型更新”理念,将居业品质提升和产业转型作为区域规划重点,成为产城融合一体现代化社区的示范样板,打造千亿级上海商贸服务型国家物流枢纽,成为上海下一个城市核芯! 上实•云端售楼处热线:400-8618-004❄️❄️ 上实•云端售楼处热线:400-8618-004❄️❄️

【交通云集 | 多维便捷路网 接驳都市繁华】
市域公路:北青公路、纪鹤公路、嘉松公路、华徐公路;连接北翟高架、北横通道,嘉闵高架 上实•云端售楼处热线:400-8618-004❄️❄️
高速公路:沪宁高速、沪常高速、S26
公交线路:白徐线、华新1路、华新2路等
轨道交通:2号线、17号线、13号线延伸线(在建)、示范区线(在建)

上实•云端售楼处热线:400-8618-004❄️❄️ 上海主城:人民广场直线距离约22km,中山公园商圈直线距离约17km,莘庄直线距离约20km
国际机场:虹桥国际机场直线距离约11km,浦东国际机场直线距离约50km
高端商务:距虹桥商务区核心区直线距离约8km
全球奢购:奥特莱斯商圈直线距离约9km 上实•云端售楼处热线:400-8618-004❄️❄️
<示意图>

【从核心枢纽、商圈等至本项目自驾路线】
上实•云端售楼处热线:400-8618-004❄️❄️ 从虹桥枢纽出发:嘉闵高架→沪常高速→华重公路→新凤中路→本项目
从人民广场出发:延安路高架→沪渝高速→沈海高速→新凤中路→本项目
从浦东陆家嘴出发:延安路隧道→延安路高架→外环高速→北翟高架→沪常高速→华重公路→新凤中路→本项目 上实•云端售楼处热线:400-8618-004❄️❄️

【生活云集 | 都荟丰盛配套 一站尽享便利】上实•云端售楼处热线:400-8618-004❄️❄️
直线距离约30m——博隆(虹桥)商业广场;
直线距离约1.2km——西郊乐缤纷广场;
直线距离约1.9km——虹桥宝龙生活广场;
直线距离约6.5km——COSTCO超市;
直线距离约14km——山姆会员店 上实•云端售楼处热线:400-8618-004❄️❄️

学府环伺 国际培优
上实•云端售楼处热线:400-8618-004❄️❄️直线距离约1km——公办华新中心小学、华新中学、华新幼儿园;
直线距离约7km——新加坡国际学校、上海美国国际学校、上海英国外籍人员子女学校;
直线距离约12km——青浦世界外国语学校、青浦协和双语学校 上实•云端售楼处热线:400-8618-004❄️❄️

医疗健康 生活无忧
上实•云端售楼处热线:400-8618-004❄️❄️直线距离约600m——华新镇社区医疗卫生中心;
直线距离约8km—— 复旦大学附属华山医院(西院) 上实•云端售楼处热线:400-8618-004❄️❄️

公园毗邻 天然氧吧
直线距离约400m内——华新公园 上实•云端售楼处热线:400-8618-004❄️❄️

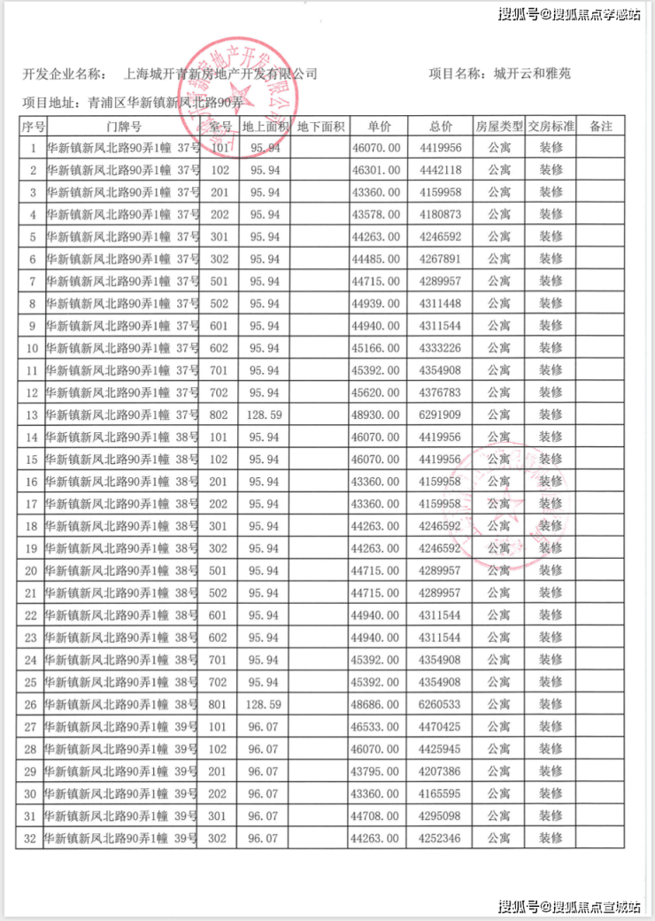
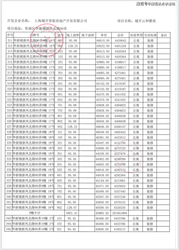
上实•云端售楼处热线:400-8618-004❄️❄️ 项目一房一价表▼

上实•云端售楼处热线:400-8618-004❄️❄️

上实•云端售楼处热线:400-8618-004❄️❄️

上实•云端售楼处热线:400-8618-004❄️❄️

上实•云端售楼处热线:400-8618-004❄️❄️

上实•云端售楼处热线:400-8618-004❄️❄️


上实•云端售楼处热线:400-8618-004❄️❄️

上实•云端售楼处热线:400-8618-004❄️❄️

上实•云端售楼处热线:400-8618-004❄️❄️

上实•云端售楼处热线:400-8618-004❄️❄️


上实•云端售楼处热线:400-8618-004❄️❄️

上实•云端售楼处热线:400-8618-004❄️❄️

「上实•云端」
营销中心热线:400-8618-004☎☎
在售户型图丨项目介绍丨最新房源丨周边配套丨详细解答〢
⭐◆开发商营销中心诚挚邀请,一键预约,尊享内部折扣!匠心独运的精品项目,恭候您的品鉴与选择。⭐
✅ 过来参观样板房烦请记得提前来电预约!
✅ 为您安排楼盘现场销售全程接待并讲解,给您更贴心的看房体验!这是一个从城市站位、规划能级、生态环境、配套资源、社区产品等全方位领先的新房项目,超高性价比的价格买入!