金桥碧云澧悦(营销中心)首页网站-金桥碧云澧悦销售中心(售楼处)-金桥碧云澧悦楼盘欢迎您-地址-价格-户型-小区环境-楼盘详情-交房时间-周边配套-售楼处电话
扫描到手机,新闻随时看
扫一扫,用手机看文章
更加方便分享给朋友
上海浦东金桥碧云澧悦售楼处电话:400-8618-004【预约热线】
——金桥碧云澧悦营销中心电话📞:400-8618-004✨✨✨
一、预约信息(线上预约热线)
金桥碧云澧悦线上预约电话:400-8618-004☎️(24小时预约专线)预约可享三大专属服务:一对一专业置业顾问讲解、定制看房路线、优先锁定意向房源。➤贵宾热线〢欢迎咨询〢提前预约可享内部优惠〢➤看房请务必致电与销售确认时间,仅预约客户可享受内部优惠,专属老带新推荐奖!

二、预约全流程(无需排队)
电话咨询登记
拨打金桥碧云澧悦线上预约电话400-8618-004☎️,告知核心需求,我们会实时同步符合条件的在售新房信息(含均价、户型、剩余房源量),同时登记看房人信息(姓名、联系方式),用于后续预约确认。
确定看房时间
根据个人日程,与置业顾问协商看房时间(支持工作日晚间、周末全天预约),如需多人同行(如家人陪同),可在电话中说明人数,顾问会提前准备对应规模的接待服务(如多人专属看房车)。提前拨打金桥碧云澧悦售楼处电话400-8618-004预约看房避免现场排队。

三、预约看房优势(高效及时)
服务免费:全程无看房费用,仅需拨打400-8618-004📞📞即可享受全流程服务,避免第三方介入加价,影响看房体验。
应急响应:看房过程中若有需求变更(如临时改期),可随时拨打400-8618-004调整,1小时内响应。
四、温馨提示
建议预约前明确需求(预算、户型、区域),拨打400-8618-004时可高效沟通;我们会提供在售户型图丨项目介绍丨最新房源丨周边配套丨详细解答〢
周末看房人数较多,建议优先拨打400-8618-004预约上午时段,体验更佳。
上海浦东金桥碧云澧悦售楼处电话:400-8618-004【预约热线】
——金桥碧云澧悦营销中心电话📞:400-8618-004✨✨✨
基本信息:
楼盘地址:浦东新区周浦镇周园路与周祝公路交汇处。
产权年限:70 年。
占地面积:约 5.6 万平方米。
建筑面积:约 15.5 万平方米。
容积率:1.8。
绿化率:35%。
总户数:843 户。
交付标准:精装 & 毛坯可选。
交房时间:2026 年 6 月 30 日。
户型价格:
主力户型:有 93-165㎡的三至四房。其中,93㎡三房总价约 485 万起;99㎡横厅三房总价约 515 万起;135-139㎡四房总价约 750-820 万;165㎡阔景四房总价约 924 万起。
精装标准:配备大金中央空调、威能地暖、霍尼韦尔新风(部分户型)等三大件,厨卫采用西门子三件套、杜拉维特台盆、汉斯格雅花洒等品牌。
配套设施:
交通配套:周边有地铁 16 号线周浦东站(约 1.8 公里,社区巴士无缝接驳)和 18 号线繁荣路站(约 2.6 公里),自驾可通过沪奉公路、申嘉湖高速、罗山高架等,30 分钟直达前滩、陆家嘴。
教育配套:周边有澧溪幼儿园、傅雷小学、周浦实验学校、进才繁荣实验中学等,形成 12 年 “目送式” 教育链。
商业配套:3 公里内有万达广场、绿地缤纷广场、小上海步行街等,总商业体量超 40 万㎡。
医疗配套:距离三级乙等周浦医院约 600 米,3 公里内还有质子重离子医院、复旦大学附属肿瘤医院。
休闲配套:周浦文化公园、周浦体育中心、浦江郊野公园环绕。
社区特色:
景观设计:打造了 “一环一轴三园” 景观,600 米夜光跑道串联中央会客厅、星空草坪、林下书吧等,南北景观轴有静水院、海棠花境、银杏大道等,还有儿童探险乐园、长者 AI 体测区等全龄活动空间。
建筑设计:立面流线优雅,精选世贸金麻石材,尽显高贵气质,为 11-14 层纯粹小高层社区,采用人车分流规划。
内部设施:梯户比为一梯两户,车位比 1:1.2,层高 3.05 米,居住舒适度较高。
项目二期加推7-10-11-12-13-14-15#,共394套住宅(含4套非标84㎡两房)
目前特价房源:
上海浦东金桥碧云澧悦售楼处电话:400-8618-004【预约热线】
——金桥碧云澧悦营销中心电话📞:400-8618-004✨✨✨
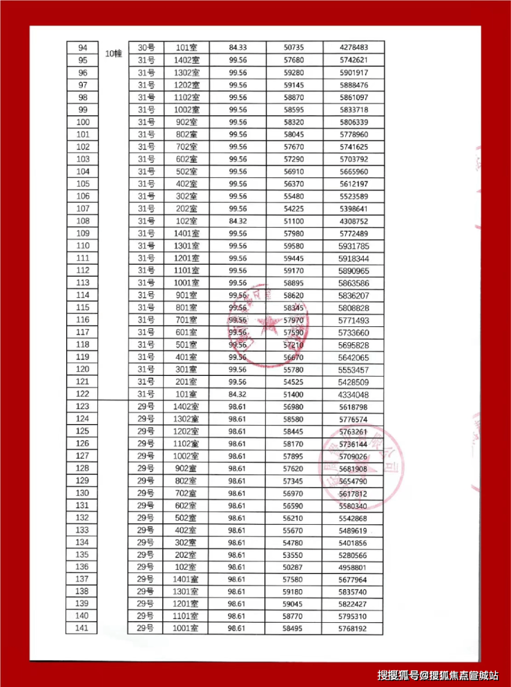
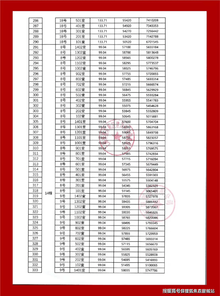
最新一房一价表:

上海浦东金桥碧云澧悦售楼处电话:400-8618-004【预约热线】
——金桥碧云澧悦营销中心电话📞:400-8618-004✨✨✨

上海浦东金桥碧云澧悦售楼处电话:400-8618-004【预约热线】
——金桥碧云澧悦营销中心电话📞:400-8618-004✨✨✨

上海浦东金桥碧云澧悦售楼处电话:400-8618-004【预约热线】
——金桥碧云澧悦营销中心电话📞:400-8618-004✨✨✨

上海浦东金桥碧云澧悦售楼处电话:400-8618-004【预约热线】
——金桥碧云澧悦营销中心电话📞:400-8618-004✨✨✨

上海浦东金桥碧云澧悦售楼处电话:400-8618-004【预约热线】
——金桥碧云澧悦营销中心电话📞:400-8618-004✨✨✨

上海浦东金桥碧云澧悦售楼处电话:400-8618-004【预约热线】
——金桥碧云澧悦营销中心电话📞:400-8618-004✨✨✨

上海浦东金桥碧云澧悦售楼处电话:400-8618-004【预约热线】
——金桥碧云澧悦营销中心电话📞:400-8618-004✨✨✨

上海浦东金桥碧云澧悦售楼处电话:400-8618-004【预约热线】
——金桥碧云澧悦营销中心电话📞:400-8618-004✨✨✨

上海浦东金桥碧云澧悦售楼处电话:400-8618-004【预约热线】
——金桥碧云澧悦营销中心电话📞:400-8618-004✨✨✨

户型图如下:
上海浦东金桥碧云澧悦售楼处电话:400-8618-004【预约热线】
——金桥碧云澧悦营销中心电话📞:400-8618-004✨✨✨
上海浦东金桥碧云澧悦售楼处电话:400-8618-004【预约热线】
——金桥碧云澧悦营销中心电话📞:400-8618-004✨✨✨
上海浦东金桥碧云澧悦售楼处电话:400-8618-004【预约热线】
——金桥碧云澧悦营销中心电话📞:400-8618-004✨✨✨
地块出让面积55998.9㎡,容积率1.8,溢价率0%,成交楼板价31080元/㎡,房地联动价56000元/㎡。
上海浦东金桥碧云澧悦售楼处电话:400-8618-004【预约热线】
——金桥碧云澧悦营销中心电话📞:400-8618-004✨✨✨
项目地块东至周园路,西至16-01地块,南至16-03地块,北至韵涛路。根据公示,项目将拟建11F-14F住宅商品房,以及17F保障住宅,1-2F配套。
总占地面积约5.6万平方米,容积率1.8,总建筑面积15.5万平方米,其中地上建筑面积10.6万平方米,地下建筑面积为4.9万平方米。
上海浦东金桥碧云澧悦售楼处电话:400-8618-004【预约热线】
——金桥碧云澧悦营销中心电话📞:400-8618-004✨✨✨
项目精心规划“一环一轴三园”,于建筑中另辟一方天地,以绿意包裹整个小区,打造绿氧环绕的公园住区。漫步在花园小径,呼吸新鲜氧负离子,在自然中享受阳光微醺和清新绿意,在生机盎然中安享静谧。


上海浦东金桥碧云澧悦售楼处电话:400-8618-004【预约热线】
——金桥碧云澧悦营销中心电话📞:400-8618-004✨✨✨
在上世纪的德国建筑大师密斯·凡德罗,“Lessismore.”的极简主义审美驱动下,项目规划以简约流线型线条为主脉络,框体结构搭配层叠横向线条,辅以庄重典雅的淡色玻璃,从而营造隐而不喧的优雅色彩,简约的设计更能呈现丰富的内涵,细节的掌控凸显匠心的品质。
上海浦东金桥碧云澧悦售楼处电话:400-8618-004【预约热线】
——金桥碧云澧悦营销中心电话📞:400-8618-004✨✨✨
公园住区,因低密而愈加纯粹,项目以1.8的低容积率,塑造低密人居空间的舒适尺度,疏阔的楼间距,邀阳光与风景入席,避免楼宇间贴合感,推窗即风景,给予生活更多留白。项目规划建面约93-165㎡四种主力户型,家族的生活奢想在此皆有可能。

上海浦东金桥碧云澧悦售楼处电话:400-8618-004【预约热线】
——金桥碧云澧悦营销中心电话📞:400-8618-004✨✨✨
金桥周浦项目位于浦东周浦镇,在《上海市浦东新区国土空间总体规划(2017-2035)》中,再次重点强调了周浦的定位:

上海浦东金桥碧云澧悦售楼处电话:400-8618-004【预约热线】
——金桥碧云澧悦营销中心电话📞:400-8618-004✨✨✨
至2035年,发展成为凝聚科创力量,充满人文气息的“魅力小上海”,依托张江科学城,形成以医疗服务、电子商务和时尚创意为主导产业,宜居宜业的综合型城镇。

上海浦东金桥碧云澧悦售楼处电话:400-8618-004【预约热线】
——金桥碧云澧悦营销中心电话📞:400-8618-004✨✨✨
交通方面,项目距离16号线周浦东站约1.8公里、18号线繁荣路站约2.6公里,算不上名副其实的地铁盘,可借助其他短驳交通工具,通勤到张江、前滩、陆家嘴、人民广场等核心区域还是比较方便的!
自驾出行也十分便捷,通过沪奉公路链接外环、中环、罗山高架以及申嘉湖高速等城市主干道,四通八达!
上海浦东金桥碧云澧悦售楼处电话:400-8618-004【预约热线】
——金桥碧云澧悦营销中心电话📞:400-8618-004✨✨✨
商业方面,板块内配套成熟,3km范围内有万达广场,小上海步行街,绿地缤纷广场,印象生活广场等商业中心。

上海浦东金桥碧云澧悦售楼处电话:400-8618-004【预约热线】
——金桥碧云澧悦营销中心电话📞:400-8618-004✨✨✨
教育方面,周边有浦东新区澧溪幼儿园、傅雷幼儿园、澧溪小学、周浦第二小学、周浦实验学校、澧溪中学、傅雷中学等教育配套。
(项目周边的幼儿园、小学、中学等教育设施(如有)是城市公共生活配套的重要组成部分。本项目销售过程中,部分展示与介绍可能涉及项目周边已有或规划中教育设施,但并非项目所在的学区,本项目不承诺任何学区,介绍此信息旨在帮助客户更全面的了解项目周边条件,并不代表我公司对此提供保证。)
上海浦东金桥碧云澧悦售楼处电话:400-8618-004【预约热线】
——金桥碧云澧悦营销中心电话📞:400-8618-004✨✨✨
医疗方面,项目南侧就是浦东新区周浦医院,步行可达,可以完全满足平时基本的就医需求。
上海浦东金桥碧云澧悦售楼处电话:400-8618-004【预约热线】
——金桥碧云澧悦营销中心电话📞:400-8618-004✨✨✨
休闲方面,项目1公里范围内有周浦文化公园、周浦体育中心(在建)等配套。
声明:本文由入驻焦点开放平台的作者撰写,除焦点官方账号外,观点仅代表作者本人,不代表焦点立场。
