金茂棠前售楼处)-金茂棠前销售中心(官方营销中心)-金茂棠前楼盘欢迎您-小区环境-户型-价格-地址-楼盘详情-金茂棠前售楼处电话-交房时间

搜狐焦点宣城站 2025-09-05 08:50:10
用手机看
扫描到手机,新闻随时看

扫一扫,用手机看文章
更加方便分享给朋友

上海宝山金茂棠前售楼处电话☎:400-8862-334(预约看房热线)4月18日,合生创展集团旗下高端商业品牌“合生汇”,正式签下高铁上海宝山站商业运营管理权,这是上海第三座、宝山第一座超级合生汇!上海宝山金…

金茂棠前

售楼处电话☎:400-8862-334【售楼处预约热线】(一对一热情服务)

楼盘项目全面介绍,本电话为开发商提供线上售楼电话400-8862-334,楼盘项目全面介绍(包含楼盘简介,房价,价格,楼盘地址,户型图,交通规划,备案价,项目配套,楼盘详情,售楼处电话,最新消息,最新详情,周边配套,最新进展等详情咨询)

看房请务必提前致电销售确认时间,只有预约客户才能享受开发商提供的内部优惠以及专属的老客户推荐奖励!我们提供专业的一对一热情服务,助您以专业视角挑选理想的房产。

编辑

编辑

【金茂棠前】

宝山站城融合TOD+双轨交+合生汇

加推建面约105~178㎡3-4房

均价53850元/㎡ 正在认购中

大窗墙比+十字景观轴+下沉式会所

共160套房源 样板间开放中

售楼处线上提前预约

金茂棠前售楼处电话:400-8862-334

上海宝山金茂棠前售楼处电话☎:400-8862-334(预约看房热线)

如有问题欢迎来电咨询,预约来电尊享购房优惠,可预约案场内部销售人员,专业一对一热情服务,让您用专业眼光去买房。

编辑

在刚刚过去的12月30日,上海八批次土拍中,金茂强势崛起,在宝山“连中三元”:

宝山淞南D1-04地块经过65轮竞价,由金茂&招商竞得,成交总价29.29亿,溢价率14.86%;

宝山淞南K1-11地块经过激烈竞争,最终由金茂&招商竞得,成交总价43.07亿,溢价率16.03%;

宝山杨行地块是商业+办公+住宅的综合地块,总建筑量高达34.4万㎡,其中商办+餐饮旅馆业体量高达22万㎡,起拍价约31.16亿,由金茂&宝冶以底价竞得;

编辑

双轨环绕的超级TOD复合体,你见过吗?过去的几年,TOD从早前的“地铁+住宅”,升级到“地铁+住宅+商业”。

而金茂精准卡位北部枢纽的发展节奏,带来一座超级TOD复合体,高铁+地铁站+城+产+商+居一体化,引领跨时代的居住方式变革!

编辑

金茂棠前售楼处电话:400-8862-334

上海宝山金茂棠前售楼处电话☎:400-8862-334(预约看房热线)4月18日,合生创展集团旗下高端商业品牌“合生汇”,正式签下高铁上海宝山站商业运营管理权,这是上海第三座、宝山第一座超级合生汇!

这一战略合作标志着北上海将崛起一座集交通枢纽、商业体验于一体的城市新地标,将为这座超级枢纽注入全新的商业活力。

编辑

金茂眼光独到落子大吴淞北部枢纽,带来上海第一座金茂“棠”系作品,将代表整个区域的人居水平,有着风向标式的意义!

编辑

金茂棠前售楼处电话:400-8862-334

上海宝山金茂棠前售楼处电话☎:400-8862-334(预约看房热线)金茂棠前围绕“TOD国际汇合住区”,构建起全维超配的居住体验。社区配置有约280米南北景观主轴+约220米东西副轴+下沉式会所+下沉庭院+部分楼栋首层架空+户型革新+科技系统, 媲美千万级豪宅的公区和产品力!

编辑

小区总规划户数约1118户,容积率2.3。设计的住宅为16-17f小高层产品,其中部分楼栋设有架空层,其中6#9#12#将有可能为大户型,类一梯一户,其余为一梯两户设计,舒适度较高。

编辑

金茂棠前5月首开售罄 供不应求,仅约10天紧急加推新品;再次火爆出圈!二期新品| 售罄!三批次推新!

编辑

金茂棠前售楼处电话:400-8862-334

上海宝山金茂棠前售楼处电话☎:400-8862-334(预约看房热线)

作为 金茂上海棠系壹号作品

金茂棠前自亮相以来,就凭超硬核产品力与规划

迅速引爆关注,更以前所未有的热度刷屏全网

编辑

编辑

编辑

编辑

北上海TOD+合生汇+双轨环绕!

「金茂棠前」二开二罄!!

三批次加推约105-178㎡3-4房

7月19日已过会均价53850元/㎡

售楼处线上火热预约中!

金茂棠前售楼处电话:400-8862-334

上海宝山金茂棠前售楼处电话☎:400-8862-334(预约看房热线)

编辑

编辑

编辑

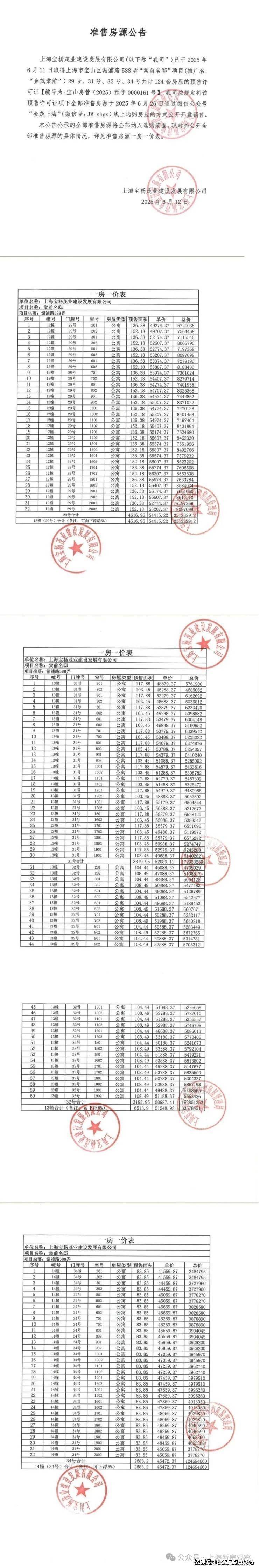
上期一房一价表如下:

编辑

编辑

金茂棠前售楼处电话:400-8862-334

上海宝山金茂棠前售楼处电话☎:400-8862-334(预约看房热线)

项目全套户型图如下:

编辑

编辑

编辑

金茂棠前售楼处电话:400-8862-334

上海宝山金茂棠前售楼处电话☎:400-8862-334(预约看房热线)

建面105㎡3房样板间展示

编辑

编辑

编辑

金茂棠前售楼处电话:400-8862-334

上海宝山金茂棠前售楼处电话☎:400-8862-334(预约看房热线)

编辑

编辑

编辑

编辑

编辑

金茂棠前售楼处电话:400-8862-334

上海宝山金茂棠前售楼处电话☎:400-8862-334(预约看房热线)

效果图过程稿仅供参考:

编辑

编辑

金茂棠前售楼处电话:400-8862-334

上海宝山金茂棠前售楼处电话☎:400-8862-334(预约看房热线)

编辑

编辑

编辑

编辑

编辑

编辑

编辑

金茂棠前售楼处电话:400-8862-334

上海宝山金茂棠前售楼处电话☎:400-8862-334(预约看房热线)

大吴淞地区将打造上海下一个世界级滨水城区,总规划面积约110平方公里,其中,吴淞创新城、北部枢纽、吴淞口国际邮轮港是重中之重。

金茂棠前作为宝山站城融合TOD首发产品,未来将实现与高铁站的无缝衔接,承接北部枢纽一线辐射利好。

编辑

金茂棠前售楼处电话:400-8862-334

上海宝山金茂棠前售楼处电话☎:400-8862-334(预约看房热线)交通方面:除了19号线以外,地块距轨道交通3号线铁力路站1.1公里,周边有5条公交线路。快速路有逸上海绕城高速、同济高架路、川公路、铁力路、友谊路。

编辑

金茂棠前售楼处电话:400-8862-334

上海宝山金茂棠前售楼处电话☎:400-8862-334(预约看房热线)教育方面:项目周边有众多优质学校,西侧约600米就是 上海大学附属宝山外国语学校,是九年一贯制学校;向西不远处更有宝山华曜实验学校,是民办“华二系”;上海师范大学附属宝山实验学校,是九年一贯制学校。向南约3公里左右还有华东师范大学第二附属中学(宝山校区)、华东师范大学附属宝山宝杨实验学校等。

编辑

编辑

大吴淞战略+宝山站开工+合生汇签约+19号线建设,让金茂棠前的配套潜力拉满,再加上金茂惊艳的产品力,在 500万级新房赛道中堪称独角兽的存在!!

金茂棠前

售楼处电话☎:400-8862-334【售楼处预约热线】(一对一热情服务)

楼盘项目全面介绍,本电话为开发商提供线上售楼电话400-8862-334,楼盘项目全面介绍(包含楼盘简介,房价,价格,楼盘地址,户型图,交通规划,备案价,项目配套,楼盘详情,售楼处电话,最新消息,最新详情,周边配套,最新进展等详情咨询)

看房请务必提前致电销售确认时间,只有预约客户才能享受开发商提供的内部优惠以及专属的老客户推荐奖励!我们提供专业的一对一热情服务,助您以专业视角挑选理想的房产。

声明:本文由入驻焦点开放平台的作者撰写,除焦点官方账号外,观点仅代表作者本人,不代表焦点立场。