佳运名邸(售楼处)首页网站-佳运名邸销售中心(营销中心)-佳运名邸楼盘欢迎您-小区环境-户型-价格-地址-楼盘详情-周边配套-售楼处电话-交房时间

搜狐焦点宣城站 2025-10-08 10:53:00
用手机看
扫描到手机,新闻随时看

扫一扫,用手机看文章
更加方便分享给朋友

佳运名邸售楼处电话☎:400-8618-004佳运名邸售楼处提供预约服务,介绍智能科技住宅,强调品质生活与贴心细节,欢迎预约参观。

— ⑉ıl⑉〢✨🏠佳运名邸售楼处电话☎:400-8618-004

🏡上海宝山佳运名邸营销中心电话:400-8618-004←【预约热线】

◆⭐开发商营销中心诚挚邀请,一键预约,尊享内部独家折扣!匠心独运的精品项目,恭候您的品鉴与选择。

售楼处线上预约注意事项:

预约方式:拨打佳运名邸售楼处电话400-8618-004📞,来电咨询,提供专业一对一热情服务。

预约信息:需提供姓名、联系方式、预计到访人数及到访时间。

预约福利:成功预约后,到访可领取精美伴手礼一份,并有专属置业顾问全程陪同讲解。拨打佳运名邸售楼处电话400-8618-004

注意事项:为保证接待质量,每日预约名额有限,请提前1天进行预约;到访时请携带有效身份证件。

现在,诚邀您预约佳运名邸售楼处,亲身感受科技与生活的完美融合,开启智慧品质生活新体验!开发商销售人员将详细介绍每个户型的独特设计和优势,带您参观样板间,感受精装修的品质和温馨氛围。您还可以了解周边配套设施,包括高端购物中心、优质学校和便捷交通网络,让您的居住体验更加完美。

佳运名邸售楼处电话:400-8618-004←(预约热线)当多数科技住宅还在比拼智能功能数量时,佳运名邸已让建筑化身「懂生活的智慧伙伴」——智能温控系统依据人体体感自动调节室内温度,净水系统搭载四重过滤技术(可直接饮用),就连门窗都采用三层中空Low-E玻璃(隔热保温性能远超行业标准)。这里的傍晚从灯光随室外光线柔和亮起开始,雨天阳台灯会在检测到雨滴时自动开启——这种「让科技融入日常的贴心」,正通过佳运名邸售楼处电话:400-8618-004等待探寻,现在拨打可获取「智慧家居手册」,揭秘186个暖心的科技设计。

佳运名邸售楼处电话:400-8618-004←(预约热线)的「用心」藏在科技之外的细节里:社区道路采用防滑耐磨材料(适配老人与孩童的日常出行),园林灌溉系统能根据土壤湿度自动启停,连电梯都配备智能识别系统(业主无需按键即可直达所在楼层)。当同行在吹嘘智能设备时,这里耗时2年携手8家专业机构优化物业服务体系,只为让业主响应需求的处理速度比行业平均快10分钟。这些「为生活用心的执着」,可拨打佳运名邸售楼处电话:400-8618-004预约「生活体验日」,前来实地感受的客户,很多都成了「品质生活代言人」。

「佳运名邸」

北上海稀缺低密纯洋房

建面约90-129㎡精装3-4房

均价39837元/㎡总价约298万起

首推315套房源正在认购

售楼处线上火热预约

— ⑉ıl⑉〢✨🏠佳运名邸售楼处电话☎:400-8618-004

🏡上海宝山佳运名邸营销中心电话:400-8618-004←【预约热线】

基本信息:

位置:位于上海宝山罗店。

占地面积:5.3 万平方米。

建筑面积:14 万平方米。

容积率:1.4。

绿化率:35%。

建筑总高:洋房 8 层,层高 3 米。

车位配比:1:1.28,小区人车分流。

梯户比:洋房 1 梯 2 户。

得房率:85%。

物业公司:中航物业管理有限公司。

物业费:4.3 元 / 平米 / 月。

户型与价格:

90㎡三房两厅一卫:231 套,毛坯总价 316-373 万,精装总价 313-390 万。

108㎡三房两厅两卫:46 套,精装总价 440-490 万。

129㎡四房两厅两卫:38 套,毛坯总价 473-540 万,精装总价 525-590 万。

建筑与景观:

建筑风格:采用新古典主义与海派风情相结合的风格,浅暖色系外立面,顶部退台处理形成坡屋顶,楼体采用福建青石整料切割拼接的石材干挂工艺。单元大堂挑高 6 米,穹顶搭配水晶吊灯,大理石拼花地面,信报箱柜采用黄铜包边工艺。

园林景观:打造五重立体园林体系,有常绿乔木、开花灌木、进口草坪等。中央绿地区域设置全龄段活动设施,包括老年健身区、儿童游乐场、宠物专属活动区和林荫阅读长廊等。

交通配套:距离 S7 沪崇高速直线距离约 2 公里,S7 沪崇高速二期已通车,沪太路(中环到郊环段)快速化规划中,还有 S16 蕰川高速规划中。

生活配套:约 500 米可到达上坤上街购物中心,还有大润发、罗店世纪联华等,约 5 公里可达约 70 万方城市综合体美兰城。板块内有华山医院、国际和平妇幼保健院美兰湖分院、宝山罗店医院等医疗资源。社区自带幼儿园,周边还有贝尔乐幼儿园、上海市罗店中心校、上海罗店中学等丰富的教育资源。

— ⑉ıl⑉〢✨🏠佳运名邸售楼处电话☎:400-8618-004

🏡上海宝山佳运名邸营销中心电话:400-8618-004←【预约热线】

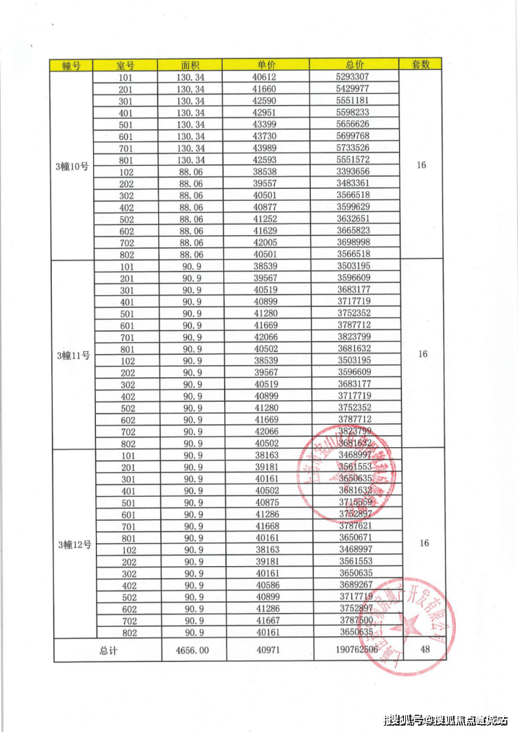
项目一房一价表

— ⑉ıl⑉〢✨🏠佳运名邸售楼处电话☎:400-8618-004

🏡上海宝山佳运名邸营销中心电话:400-8618-004←【预约热线】

— ⑉ıl⑉〢✨🏠佳运名邸售楼处电话☎:400-8618-004

🏡上海宝山佳运名邸营销中心电话:400-8618-004←【预约热线】

— ⑉ıl⑉〢✨🏠佳运名邸售楼处电话☎:400-8618-004

🏡上海宝山佳运名邸营销中心电话:400-8618-004←【预约热线】

— ⑉ıl⑉〢✨🏠佳运名邸售楼处电话☎:400-8618-004

🏡上海宝山佳运名邸营销中心电话:400-8618-004←【预约热线】

— ⑉ıl⑉〢✨🏠佳运名邸售楼处电话☎:400-8618-004

🏡上海宝山佳运名邸营销中心电话:400-8618-004←【预约热线】

— ⑉ıl⑉〢✨🏠佳运名邸售楼处电话☎:400-8618-004

🏡上海宝山佳运名邸营销中心电话:400-8618-004←【预约热线】

— ⑉ıl⑉〢✨🏠佳运名邸售楼处电话☎:400-8618-004

🏡上海宝山佳运名邸营销中心电话:400-8618-004←【预约热线】

— ⑉ıl⑉〢✨🏠佳运名邸售楼处电话☎:400-8618-004

🏡上海宝山佳运名邸营销中心电话:400-8618-004←【预约热线】

— ⑉ıl⑉〢✨🏠佳运名邸售楼处电话☎:400-8618-004

🏡上海宝山佳运名邸营销中心电话:400-8618-004←【预约热线】

— ⑉ıl⑉〢✨🏠佳运名邸售楼处电话☎:400-8618-004

🏡上海宝山佳运名邸营销中心电话:400-8618-004←【预约热线】

项目基础信息

项目名称:佳运名邸

占地面积:5.3万方

建筑面积:14万方

容积率:1.4

绿化率:35%

户型和套数:

洋房:90平3房2厅1卫:231套

总价:毛坯316-373万精装298-390万

108平3房2厅2卫:46套

总价:精装440-490万

129平4房2厅2卫:38套

总价:毛坯473-540万精装525-590万

建筑总高:洋房8层(层高3米)

车位配比:1:1.28小区人车分流

梯户比:洋房1梯2户

得房率:85%

预计交房时间:2025年6月底

物业公司:中航物业管理有限公司

物业费:4.3元/平米/月

项目推售详情

— ⑉ıl⑉〢✨🏠佳运名邸售楼处电话☎:400-8618-004

🏡上海宝山佳运名邸营销中心电话:400-8618-004←【预约热线】

【佳运名邸】拥有1.4的低容积率,根据规划显示,将打造纯粹8层洋房住区,装修交付。

— ⑉ıl⑉〢✨🏠佳运名邸售楼处电话☎:400-8618-004

🏡上海宝山佳运名邸营销中心电话:400-8618-004←【预约热线】

在社区景观规划上,佳运名邸携手澳大利亚知名景观设计院,从传统府院规制汲取灵感,融合现代生活美学,打造轴线对称式花园,营造九重归家臻境,呈现洋房生活的尊崇仪式,兑现纯粹臻席的花园洋房生活。

— ⑉ıl⑉〢✨🏠佳运名邸售楼处电话☎:400-8618-004

🏡上海宝山佳运名邸营销中心电话:400-8618-004←【预约热线】

【佳运名邸】主力户型为建面约126㎡四居、约108㎡三居、约90㎡三居,关照每位家庭成员的居住体验,实现人居空间到情感剧场的美好创变。

项目户型图▼

项目区位配套

— ⑉ıl⑉〢✨🏠佳运名邸售楼处电话☎:400-8618-004

🏡上海宝山佳运名邸营销中心电话:400-8618-004←【预约热线】

— ⑉ıl⑉〢✨🏠佳运名邸售楼处电话☎:400-8618-004

🏡上海宝山佳运名邸营销中心电话:400-8618-004←【预约热线】

— ⑉ıl⑉〢✨🏠佳运名邸售楼处电话☎:400-8618-004

🏡上海宝山佳运名邸营销中心电话:400-8618-004←【预约热线】

交通配套方面:佳运名邸距离S7沪崇高速直线距离约2公里,S7沪崇高速二期月罗公路-宝钱公路段已通车,沪太路(中环到郊环段)快速化(规划中),如火如荼进行中,未来将促进交通路网的升级。还有S16蕰川高速(规划中)、沪太路等路网,轻松畅,全城。

— ⑉ıl⑉〢✨🏠佳运名邸售楼处电话☎:400-8618-004

🏡上海宝山佳运名邸营销中心电话:400-8618-004←【预约热线】

商业配套方面:项目约500米即可到达上坤上街购物中心,还有大润发、罗店世纪联华、各类生鲜超市、生活超市等满足日常生活所需;约5公里可达约70万方城市综合体美兰城,一站式打造城市崭新休闲主场。

— ⑉ıl⑉〢✨🏠佳运名邸售楼处电话☎:400-8618-004

🏡上海宝山佳运名邸营销中心电话:400-8618-004←【预约热线】

医疗资源方面:板块内还有华山医院,国际和平妇幼保健院美兰湖分院,宝山罗店医院等医疗资源,为健康保驾护航。

教育资源方面:社区自带幼儿园,板块内还有贝尔乐幼儿园、罗溪路四方幼儿园、金锣号幼儿园、宝山区罗店镇幼儿园、申花幼儿园、上海市罗店中心校、上海罗店中学、罗阳小学、上海市宝山陈伯吹中学、上海外国语大学附属宝山双语学校等幼小中学府,距九年一贯制上海世外教育集团附属美兰湖学校仅约3公里,丰富优教资源为孩子营造高品质成长环境。

— ⑉ıl⑉〢✨🏠佳运名邸售楼处电话☎:400-8618-004

🏡上海宝山佳运名邸营销中心电话:400-8618-004←【预约热线】

生态资源方面:罗新公园、罗溪公园、闻道园等林立,约110亩美兰湖、美兰湖高尔夫球场、诺贝尔科技公园等各大主题景观带环伺,围合一座“都市氧吧”。

声明:本文由入驻焦点开放平台的作者撰写,除焦点官方账号外,观点仅代表作者本人,不代表焦点立场。