大华公园柏翠(营销中心)首页网站-大华公园柏翠销售中心(大华公园柏翠售楼处)楼盘欢迎您-地址-价格-户型-小区环境-楼盘详情-交房时间-周边配套-售楼处电话
扫描到手机,新闻随时看
扫一扫,用手机看文章
更加方便分享给朋友
大华公园柏翠
售楼处电话:400-8862-334(预约热线)
如有问题欢迎来电咨询,专业一对一热情服务,让您用专业眼光去买房。
售楼处电话:400-8862-334【售楼热线】营销中心热线400-8862-334售楼处地址400-8862-334,楼盘项目全面介绍,本电话为开发商提供线上售楼电话,楼盘项目全面介绍(包含楼盘简介,房价,价格,楼盘地址,户型图,交通规划,备案价,项目配套,楼盘详情,售楼处电话,最新消息,最新详情,周边配套,最新进展等详情咨询)
项目为大华公园城市的四期,东至15-06地块(公共绿地)、南至15-04地块、西至大康路、北至共康路,占地面积43500㎡,总建筑面积140051.13㎡,容积率2.20,总户数957户。

根据项目规划设计方案,拟建15幢16-18F住宅(含1幢保障房)以及配套用房等建筑。

大华公园柏翠售楼处电话:400-8862-334
超宽楼距:低密小高层,采光、视野无遮挡,保证了清风阳光对流。
(效果示意图)
大华公园柏翠售楼处电话:400-8862-334
约80米气派门面:非凡界面昭示,彰显大家门风。
(效果示意图)
高感车库:引光入径,指引回家方向,营造明亮温馨的仪式感。
(示意图)
大华公园柏翠售楼处电话:400-8862-334
星级酒店大堂:全T2设计,出入从容,悦享私密尊崇。
(效果示意图)
大华物业:国家一级物业管理资质,中国物业服务百强企业,为逾百万家庭幸福生活保驾护航
(示意图)
大华公园柏翠售楼处电话:400-8862-334
奢氧无界秘境·内外双园
秉持"内外双公园、城市公园一体化"的理念,融合“奢尚、自然、静谧、温暖”,打造【一轴、一带、一环、九园】的生态品质社区。
大华公园柏翠售楼处电话:400-8862-334
(效果示意图)
一轴:纵向公园归家轴
一带:横向精致花园带
一环:阳光有氧环形跑道
(效果示意图)
九园:潮汐花园(社区外围口袋花园)、浔湾秘境(会所式入户)、社交剧场、漫游森境、下沉会所、阅读花园、社交花园、自然博物馆等。
大华公园柏翠售楼处电话:400-8862-334
(效果示意图)
项目推售详情
据悉,大华·公园柏翠此次加推约101-142㎡3-4房,共计68套房源,
均价63270元/㎡.

在户型设计领域,大华一直是业内的匠造大师!而在大华公园柏翠身上,我们同样看到了一以贯之的产品力!
约5.3M阔尺横厅/约11.5M南向面宽
官方户型图如下:
产品力上:
如果你熟悉上海市场,你会发现目前市面上的户型普遍会面临:利用率低、有连廊、采光不足、卫生间少/功能性差、卧室太小不够等问题。
但大华公园柏翠的建面约101㎡3房2卫,却很好的解决了以上所有问题:
约5.3米的大横厅、整体约11.5米的巨型南向面宽!

大华公园柏翠售楼处电话:400-8862-334
一方面,在整个中环甚至是整个上海,百平米3房能做到约11.5米面宽的新房,只有大华公园柏翠。
另外一方面,这个南向采光面带来的居住舒适度是MAX级的。
尤其是约5.3米的大横厅+超大阳台的设计,撑起气场的同时,也能为家庭带来更多的生活想象。
实景图
小高层+飞机户型造就真3房的实用性!

大华公园柏翠售楼处电话:400-8862-334
小高层的天然高得房率+飞机户型带来的0走道优势,让这个百平米户型做到了 真正的3房!
相比竞品户型的 2房+1个功能房 ,其功能性天壤之别。
大华公园柏翠售楼处电话:400-8862-334
实景图
南北通透带来极为宜居的居住环境!

大华公园柏翠的客餐厅以及厨房一脉相连,中间套也能实现完全的南北通透,出色的空气流动性能为业主带来更加舒适、宜居的居住氛围。
LDKB的设计,在撑起气场的同时,也增加了更多的生活想象!
还有细节方面的设计,例如:次卫的干湿分离保证室内的干燥;入户的玄关、主卧的套房,保证了主人的私密空间...
这个户型拥有一个“好户型”的所有特质,上车必看的首选户型!
建面约142㎡类一梯一户顶奢4房:
大华公园柏翠售楼处电话:400-8862-334
稀缺属性上:
2021年至今,整个上海140-145㎡新房仅供应532套,占比 不足5%。光这个产品在整个市场中就已经足够稀缺了。
产品力上:
说实话,到建面约142㎡的维度,各个项目的户型设计都很不错。
但有几点真的是大华公园柏翠独有的。
类一梯一户,享独立电梯厅 ,在入户仪式感和私密性拉满的同时, 增加了实际使用面积 ,变相提高了“得房率”。
四开间朝南 , 南向面宽达约15.4米,其中三卧朝南。 一般来说,4房户型中2房朝北是逃不掉的问题,但大华公园柏翠长面宽短进深的设计,让这个户型的 得房率、采光度 更上一层楼。
约5.9米面宽的巨幕横厅 ,加上同样面宽的宽绰阳台,为业主带来更多的生活想象。
这个户型拥有一个好户型应该拥有的所有特质!
大华公园柏翠售楼处电话:400-8862-334
大华公园柏翠售楼处电话:400-8862-334
实景图
这两个产品,真的是如今上海市面上,同级别户型中设计感最强的户型。
最后,还有一点:项目将标配国际家装大牌、臻选精奢材质。
再来看比肩千万级豪宅的奢华公区:
在归家动线上特别打造了“三进式”归家礼序,并且每一层归家礼序的打造,都是按照千万级豪宅才有的规格。
一进:宽约80米、高约6米的气派大门。
并且在选材上选用来自吴哥窟的 进口石材 ,尽显静谧奢华的气质。
主入口利用 108片伯爵灰大理石 打造12座景墙单元,辅以 香槟色不锈钢 修饰。
整体迎宾空间耗材 约1800片大理石 ,这样的大门规格、石材用料以及用心程度, 无不体现出大华公园柏翠对标豪宅的决心。
大华公园柏翠,打造的是清一色16-17层的小高层住区,容积率仅为2.2,这也造就了项目低密的体质。
大华公园柏翠售楼处电话:400-8862-334
(示意图,图片源于网络,且学校不作为购房承诺)
·首先,自然生态,让家时刻生长于公园里。项目外部生态环境非常优越,内部同样采取公园的模式,以“一轴、一带、一环、九园”的设计手法,打造了一座公园里的家。
二进:围合庭院。
庭院由 4处归家通道、8扇造型屏风和1座水景雕塑 的一体化设计打造而成。
用料上,庭院两侧设计师选用 大理石与镂空铝板 虚实结合,利用2层柏翠造型铝线条错拼而成,更显精致;
大华公园柏翠售楼处电话:400-8862-334
实景图
三进:宅门。
整座大堂外墙 采用伯爵灰大理石满铺高墙 ,电动门镶嵌 宝格绿奢石 ,实现无感通行;
这些用料和最终呈现出来的浓郁海派氛围,是对大华集团实力和匠心最好的体现。
另外,大华公园柏翠利用12级叠水、2座树池、9步水上汀步,运用六重造景的手法打造近500平的中央水景!
用一颗柏翠树型的构筑物形成独具艺术气质的“大树咖啡厅”,不仅拔高了社区的整体审美艺术和品味,也可供业主闲时聊天赏景、遛宠遛娃。
大华公园柏翠售楼处电话:400-8862-334
并且将中心场地抬高1米,在水系池底通铺1300多片的PRADA绿石(仿石砖)、精选斜飘乌桕、造型紫薇等名贵树种...
不难看出,大华公园柏翠不仅卷用料,更在审美艺术、生活方式上接轨国际前沿,拔升了高端住宅的品味和调性, 整体的公区用料更是媲美高端豪宅!
实景图
大华公园柏翠售楼处电话:400-8862-334
总的来说,大华公园柏翠的产品力,有着不输任何对手的底气!一旦步入二手,这就是整个中环旁的王者,拥有极强的未来潜力。
·其次,品质细节,让家时刻保持于高品位。建筑设计整体通透明亮,即有现代的审美又有采光引入的实用,保持着永不过时的风格。而且超宽楼距,阳光与风景都无遮挡。
约80米气派门头,尽享气派的归家仪式感。
大华公园柏翠售楼处电话:400-8862-334
星级酒店大堂,让尊贵的仪式感无限延伸。全T2设计,悦享私密的遵崇,让出入更从容。
公区品质也细心的打磨。比如,高感车库,营造明亮的泊车环境。以及,人车分流,创造更为安全的生活空间。
大华公园柏翠售楼处电话:400-8862-334
(示意图,来源于网络)
大华公园柏翠距离静安区只有约400米左右的直线距离,是整个宝山距离中心城区最近的新房。加上周边1号线、18号线、南北高架等城市主动脉的加持,整个大华公园柏翠去哪儿都方便。
市北高新以数字经济全生态+数据要素创新等产业形态,与张江科学城(硬科技)、漕河泾(电子信息)形成错位竞争.其能级位居上海中心城区科技园区第一梯队,更是上海数字化转型的核心引擎之一。
从地图上看,该地块距离静安区的直线距离只有400米,距离大宁核心区域仅约5公里,不仅离大宁国际商圈近,周边还有宝山万达、大华商圈等大型商业配套。
大华公园柏翠售楼处电话:400-8862-334
除此之外,依托经过传统市中心的1号线,可以快速直达大宁、人民广场、淮海路、陕西南路等,经转乘通往陆家嘴、南京东路、南京西路也极为便捷。
1号线线路图
区别于其他区域或者其他刚需项目,这个地块不仅公共交通无死角,商超配套、教育资源,自驾出行也刚好都跟得上,刚好能满足你所有的生活需求!
商超配套方面,大宁区域内的大宁国际广场、大宁音乐广场、静安大融城、协信星光广场、大宁久光百货等大型商业,还能享受社区商业,同时毗邻社区菜场,生活非常便捷。
大华公园柏翠售楼处电话:400-8862-334
协信星光广场 配套实景图
大宁音乐广场 配套实景图
教育方面,附近不仅有陈伯吹实验幼儿园、华东师大实验学校等名校,项目还规划配套学校。
大华公园柏翠售楼处电话:400-8862-334
陈伯吹实验幼儿园
生态也是一大亮点,家门口就拥有千亩城市绿地。日常放松身心、休闲散步都有了好去处。项目坐拥五大公园:约80万方伟岸绿境环抱,约等于两个长风公园大小!包括千亩绿境(约60万方绿化在侧),约3万方庙行公园、约4.2万方共和公园,约2.7万方三泉公园、约9.3万方彭浦四季公园等。
大华公园柏翠售楼处电话:400-8862-334
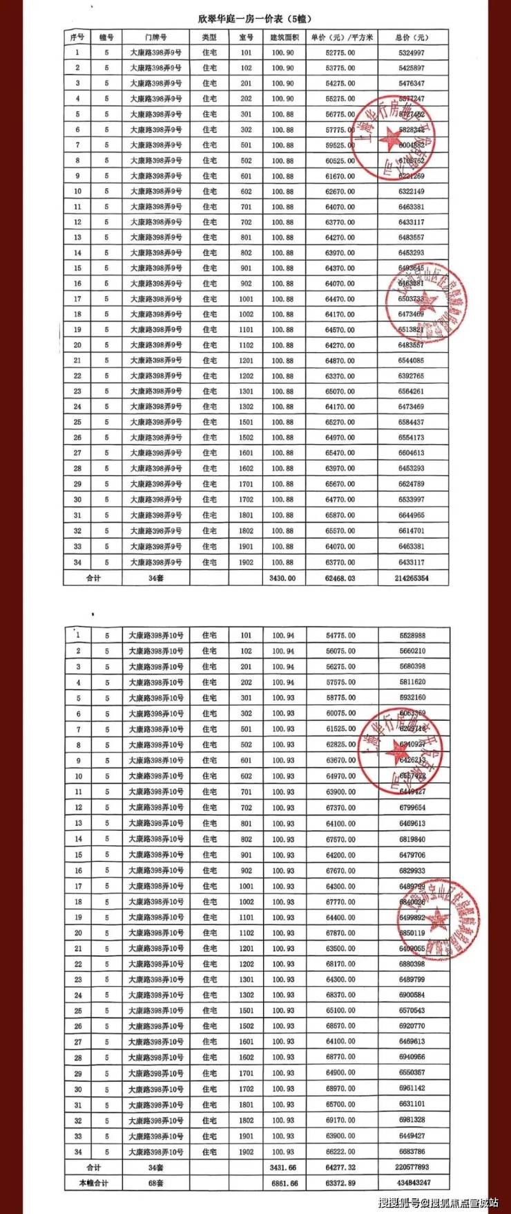
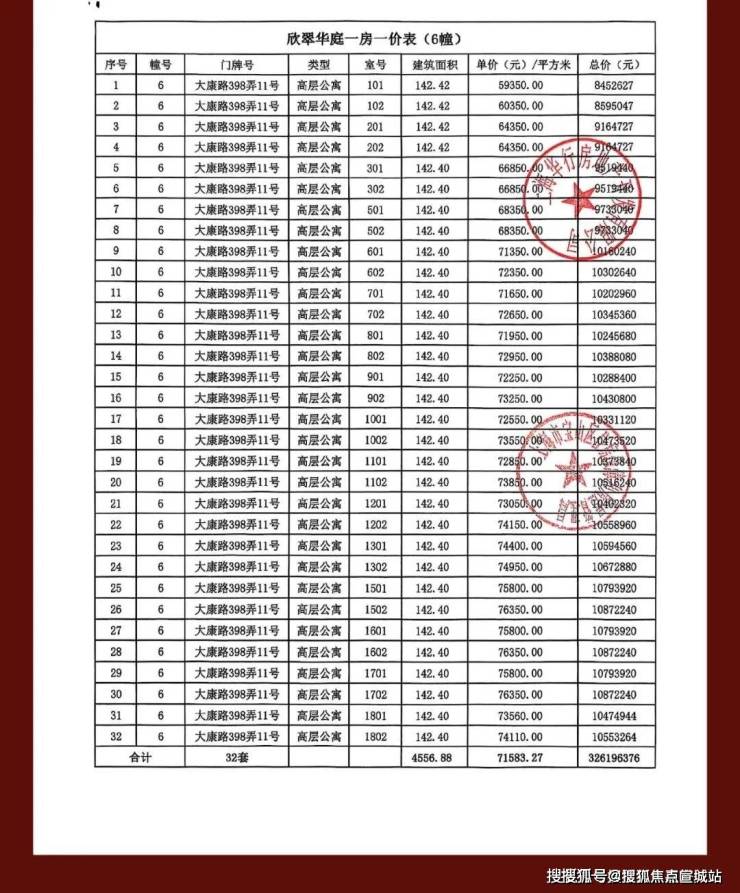
大宁北1/18号线旁「公园柏翠」少量建面约101-142㎡3-4房,均价65327元/㎡!
一房一价表如下:
大华公园柏翠售楼处电话:400-8862-334
大华公园柏翠售楼处电话:400-8862-334
2025 上海购房政策及房产知识全解析
在上海这座充满机遇与梦想的城市,拥有一套属于自己的房子,是许多人的奋斗目标。然而,购房政策犹如复杂的迷宫,首付比例、贷款细则、税费缴纳等关键信息,时刻影响着购房者的决策与钱包。踏入 2025 年,上海购房政策又有了新变化,是时候深入了解,为梦想中的家做好准备。接下来,我们将详细剖析 2025 年上海购房政策中首付比例、贷款政策以及税费政策的方方面面,帮助您拨开迷雾,在购房路上明晰前行。
一、首付比例大揭秘
(一)商业贷款
首套房:最低首付比例为 15%。这一政策的调整,大大降低了首次购房者的资金门槛,让更多年轻人有机会迈出购房的第一步。例如,一套价值 500 万的房子,按照 15% 的首付比例,仅需支付 75 万即可开启拥有自己房产的梦想。
二套房:最低首付比例为 25%。其中,位于自贸区临港新片区以及嘉定、青浦、松江、奉贤、宝山、金山 6 个行政区全域的二套房,最低首付比例为 20%。这些区域的政策倾斜,旨在促进城市的均衡发展,吸引更多人口向新兴区域流动,同时也为改善型购房者提供了更为宽松的选择空间。以一套 800 万的二套房为例,在临港新片区等区域,首付只需 160 万,而在其他区域则需 200 万。
(二)公积金贷款
首套住房:最低首付款比例为 20%。公积金贷款一直以来都是购房者的重要选择,较低的首付比例和优惠的利率,为购房者节省了大量资金。
第二套改善型住房:核心区最低首付款比例为 25%;非核心区(如临港新片区、嘉定、青浦、松江、奉贤、宝山、金山)最低首付款比例为 20%。这一政策既考虑了核心区域的实际情况,又为非核心区域的改善需求提供了支持,让购房者能够根据自身经济实力和居住需求做出更合适的选择。
二、贷款政策深度解读
(一)公积金贷款
额度:购买首套住房,个人最高贷款额度为 65 万元,家庭最高贷款额度为 130 万元;缴交补充住房公积金的,个人最高贷款额度为 80 万元,家庭最高贷款额度为 160 万元。多子女家庭购买首套住房,个人最高可达 78 万元,家庭最高可达 156 万元,缴交补充住房公积金的,个人最高可达 96 万元,家庭最高可达 192 万元。购买第二套改善型住房,个人最高贷款额度为 50 万元,家庭最高贷款额度为 100 万元,缴交补充住房公积金的,个人最高贷款额度为 65 万元,家庭最高贷款额度为 130 万元。
利率:5 年以下(含 5 年)首套利率 2.1%,二套利率 2.525%;5 年以上首套利率 2.6%,二套利率 3.075%。公积金贷款利率的优惠,使得购房者的还款压力大大减轻。例如,贷款 100 万,贷款期限 30 年,首套房公积金贷款相比商业贷款,利息支出将减少数十万元。
(二)商业贷款
首套房贷利率下限调整为 LPR-110BP(当前 LPR 为 3.5%,则实际利率低至 2.5%),二套房利率与首套房利率差距在缩小。商业贷款政策的调整,紧跟市场动态,旨在为购房者提供更为合理的融资渠道,降低购房成本。
三、税费政策一览
(一)增值税
满 2 年普通住宅免征,非普通住宅差额征收(5.3%)。这一政策对于房产市场的流通起到了积极的促进作用,鼓励购房者进行合理的房产置换。
(二)个人所得税
满 5 年唯一住房免征。不满 5 年或非唯一住房,(核定价格 - 本次交易增值税)×1%或按利润 20%申报(按利润计算个人所得税可在扣除增值税及附加后计算)。此外,2022 年 10 月 1 日至 2025 年 12 月 31 日,纳税人出售自有住房并在 1 年内重新购房,可按规定申请退还已缴纳的个人所得税。个人所得税政策的调整,既保障了长期持有房产者的利益,又为房产交易提供了一定的灵活性。
(三)契税
首套房,面积≤90㎡,(核定价格 - 本次交易增值税)×1%;面积>90㎡,(核定价格 - 本次交易增值税)×1.5%。二套房,面积≤140㎡,(核定价格 - 本次交易增值税)×2%;面积>140㎡,(核定价格 - 本次交易增值税)×3%。契税政策根据房屋面积和套数进行区分,体现了政策的公平性和合理性。
(四)房产税
从 2011 年 1 月 28 日开始实施。上海房产税税率为 0.4%和 0.6%,新购住房单价≤91,954 元 / 平方米,税率为 0.4%;单价>91,954 元 / 平方米,税率为 0.6%。计算公式为:新购房屋应税面积 × 新购房屋单价 ×70%× 税率 ÷1.05。上海家庭若在上海无任何住房,免征房产税;外地家庭首套房且 “上海居住证” 连续 3 年有效或积分达到 120 分,二套房免征房产税,不符合豁免条件则全额征收。房产税政策的实施,有助于调节房产市场的供需关系,促进房产资源的合理配置。
2025 年上海购房政策在首付比例、贷款政策和税费政策等方面都进行了一系列的调整,旨在为购房者提供更为宽松、合理的购房环境。购房者在购房前,务必充分了解这些政策,结合自身实际情况,做出明智的购房决策。希望大家都能在上海这座城市,找到属于自己的温馨家园。
大华公园柏翠
售楼处电话:400-8862-334(预约热线)
如有问题欢迎来电咨询,专业一对一热情服务,让您用专业眼光去买房。
售楼处电话:400-8862-334【售楼热线】营销中心热线400-8862-334售楼处地址400-8862-334,楼盘项目全面介绍,本电话为开发商提供线上售楼电话,楼盘项目全面介绍(包含楼盘简介,房价,价格,楼盘地址,户型图,交通规划,备案价,项目配套,楼盘详情,售楼处电话,最新消息,最新详情,周边配套,最新进展等详情咨询)
声明:本文由入驻焦点开放平台的作者撰写,除焦点官方账号外,观点仅代表作者本人,不代表焦点立场。
