金桥碧云澧悦售楼处电话-上海(金桥碧云澧悦)首页网站-金桥碧云澧悦最新房价-户型-容积率-小区配套-楼盘详情/价格/户型
扫描到手机,新闻随时看
扫一扫,用手机看文章
更加方便分享给朋友
金桥碧云澧悦售楼处电话:400-8558-334
上海浦东金桥碧云澧悦售楼处电话☎:400-8558-334(官方预约看房热线)
「金桥碧云澧悦」二期394套
建面约93-165㎡3-4房
均价5.6万/㎡!总价500万起
目前已开盘,现直接认购
售楼处线上火热预约中
上海浦东【金桥碧云澧悦】
售楼处电话☎:400-8558-334【售楼处预约热线】(一对一热情服务)
看房请务必提前致电销售确认时间,只有预约客户才能享受开发商提供的内部优惠以及专属的老客户推荐奖励!我们提供专业的一对一热情服务,助您以专业视角挑选理想的房产.

金桥碧云澧悦售楼处电话:400-8558-334
上海浦东金桥碧云澧悦售楼处电话☎:400-8558-334(官方预约看房热线)
最近有小伙伴留言:“浦东还有比500万级买房更难的事吗?”Mike想了一下,的确!作为全上海产业引擎,张江购买力强、需求旺盛,唐镇破千组认购就是印证.
但在张江周边,唐镇700万级,川沙650万级,横沔650万级,唯独500-650万级处于真空,买航头新场未必甘心,那这一大批购房群体该何去何从?
「金桥碧云澧悦」售楼处电话:400-8558-334案场预约制看房需提前来电预约登记温馨提示:点击上方号码可直接拨打电话请务必致电与销售确认时间,仅预约客户可进入销售现场,感谢您的支持
金桥碧云澧悦售楼处电话:400-8558-334
上海浦东金桥碧云澧悦售楼处电话☎:400-8558-334(官方预约看房热线)
「金桥碧云澧悦」售楼处电话:400-8558-334案场预约制看房需提前来电预约登记温馨提示:点击上方号码可直接拨打电话请务必致电与销售确认时间,仅预约客户可进入销售现场,感谢您的支持
事实上,环顾全上海,今年除了理想之地,500万级没有太抢眼的楼盘,不止浦东难,全上海都难.
那现在终于迎来好机会:这不仅是500万级性价比更突出的新盘,还能让你买进大张江,拥1.8容积率低密小区,户型从首改到改善到终极改善全部囊括,装标甚至用到杜拉维特、汉斯格雅、弗拉卡.

开盘现场图
金桥碧云澧悦售楼处电话:400-8558-334
上海浦东金桥碧云澧悦售楼处电话☎:400-8558-334(官方预约看房热线)

「金桥碧云澧悦」售楼处电话:400-8558-334案场预约制看房需提前来电预约登记温馨提示:点击上方号码可直接拨打电话请务必致电与销售确认时间,仅预约客户可进入销售现场,感谢您的支持
项目东至周园路,南至规划16-03地块,西至规划16-01地块,北至韵涛路,位于浦东新区周浦医院北侧,距离16号线周浦东站约1.8公里!
金桥碧云澧悦售楼处电话:400-8558-334
上海浦东金桥碧云澧悦售楼处电话☎:400-8558-334(官方预约看房热线)
总占地面积约5.6万平方米,容积率1.8,总建筑面积15.5万平方米,其中地上建筑面积10.6万平方米,地下建筑面积为4.9万平方米.
「金桥碧云澧悦」售楼处电话:400-8558-334案场预约制看房需提前来电预约登记温馨提示:点击上方号码可直接拨打电话请务必致电与销售确认时间,仅预约客户可进入销售现场,感谢您的支持
社区内部规划“一环一轴三园”的景观布局,以绿意包裹整个小区,打造绿氧环绕的公园住区.漫步在花园小径,呼吸新鲜氧负离子,在自然中享受阳光微醺和清新绿意,在生机盎然中安享静谧.

项目外立面以简约流线型线条为主脉络,框体结构搭配层叠横向线条,辅以庄重典雅的淡色玻璃,从而营造隐而不喧的优雅色彩!

金桥碧云澧悦售楼处电话:400-8558-334
上海浦东金桥碧云澧悦售楼处电话☎:400-8558-334(官方预约看房热线)

「金桥碧云澧悦」售楼处电话:400-8558-334案场预约制看房需提前来电预约登记温馨提示:点击上方号码可直接拨打电话请务必致电与销售确认时间,仅预约客户可进入销售现场,感谢您的支持
该项目为大型商品房居住社区,拟建15栋11-14F高层住宅、1栋17F保障房及其配套用房、一层地下车库.

金桥碧云澧悦售楼处电话:400-8558-334
上海浦东金桥碧云澧悦售楼处电话☎:400-8558-334(官方预约看房热线)
上海金桥周浦「金桥碧云澧悦」二期加推394套建面约93-165㎡3-4房;均价5.6万/㎡!总价458万起;还有数套总价420万+的84㎡3房非标户型;目前已开盘,现直接认购;售楼处线上火热预约中!
金桥碧云澧悦售楼处电话:400-8558-334
上海浦东金桥碧云澧悦售楼处电话☎:400-8558-334(官方预约看房热线)
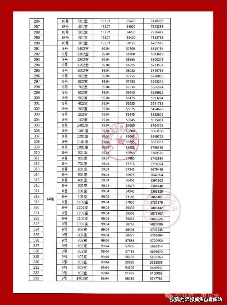
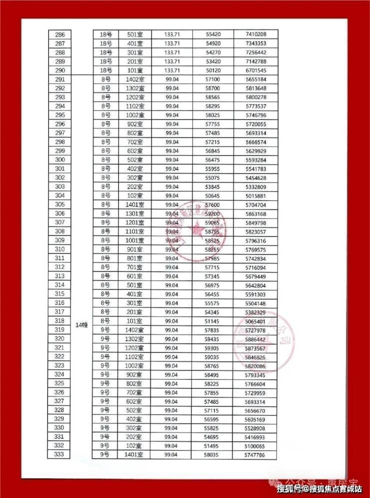
一房一价表如下
「金桥碧云澧悦」售楼处电话:400-8558-334案场预约制看房需提前来电预约登记温馨提示:点击上方号码可直接拨打电话请务必致电与销售确认时间,仅预约客户可进入销售现场,感谢您的支持
金桥碧云澧悦售楼处电话:400-8558-334
上海浦东金桥碧云澧悦售楼处电话☎:400-8558-334(官方预约看房热线)
金桥碧云澧悦售楼处电话:400-8558-334
上海浦东金桥碧云澧悦售楼处电话☎:400-8558-334(官方预约看房热线)
「金桥碧云澧悦」售楼处电话:400-8558-334案场预约制看房需提前来电预约登记温馨提示:点击上方号码可直接拨打电话请务必致电与销售确认时间,仅预约客户可进入销售现场,感谢您的支持
「金桥碧云澧悦」售楼处电话:400-8558-334案场预约制看房需提前来电预约登记温馨提示:点击上方号码可直接拨打电话请务必致电与销售确认时间,仅预约客户可进入销售现场,感谢您的支持
「金桥碧云澧悦」售楼处电话:400-8558-334案场预约制看房需提前来电预约登记温馨提示:点击上方号码可直接拨打电话请务必致电与销售确认时间,仅预约客户可进入销售现场,感谢您的支持
「金桥碧云澧悦」售楼处电话:400-8558-334案场预约制看房需提前来电预约登记温馨提示:点击上方号码可直接拨打电话请务必致电与销售确认时间,仅预约客户可进入销售现场,感谢您的支持
「金桥碧云澧悦」售楼处电话:400-8558-334案场预约制看房需提前来电预约登记温馨提示:点击上方号码可直接拨打电话请务必致电与销售确认时间,仅预约客户可进入销售现场,感谢您的支持
致电进入预约参观、咨询
在售户型图发布:
「金桥碧云澧悦」售楼处电话:400-8558-334案场预约制看房需提前来电预约登记温馨提示:点击上方号码可直接拨打电话请务必致电与销售确认时间,仅预约客户可进入销售现场,感谢您的支持
「金桥碧云澧悦」售楼处电话:400-8558-334案场预约制看房需提前来电预约登记温馨提示:点击上方号码可直接拨打电话请务必致电与销售确认时间,仅预约客户可进入销售现场,感谢您的支持

99㎡3房样板间展示如下
「金桥碧云澧悦」售楼处电话:400-8558-334案场预约制看房需提前来电预约登记温馨提示:点击上方号码可直接拨打电话请务必致电与销售确认时间,仅预约客户可进入销售现场,感谢您的支持
「金桥碧云澧悦」售楼处电话:400-8558-334案场预约制看房需提前来电预约登记温馨提示:点击上方号码可直接拨打电话请务必致电与销售确认时间,仅预约客户可进入销售现场,感谢您的支持
「金桥碧云澧悦」售楼处电话:400-8558-334案场预约制看房需提前来电预约登记温馨提示:点击上方号码可直接拨打电话请务必致电与销售确认时间,仅预约客户可进入销售现场,感谢您的支持
「金桥碧云澧悦」售楼处电话:400-8558-334案场预约制看房需提前来电预约登记温馨提示:点击上方号码可直接拨打电话请务必致电与销售确认时间,仅预约客户可进入销售现场,感谢您的支持
「金桥碧云澧悦」售楼处电话:400-8558-334案场预约制看房需提前来电预约登记温馨提示:点击上方号码可直接拨打电话请务必致电与销售确认时间,仅预约客户可进入销售现场,感谢您的支持
「金桥碧云澧悦」售楼处电话:400-8558-334案场预约制看房需提前来电预约登记温馨提示:点击上方号码可直接拨打电话请务必致电与销售确认时间,仅预约客户可进入销售现场,感谢您的支持
「金桥碧云澧悦」售楼处电话:400-8558-334案场预约制看房需提前来电预约登记温馨提示:点击上方号码可直接拨打电话请务必致电与销售确认时间,仅预约客户可进入销售现场,感谢您的支持
「金桥碧云澧悦」售楼处电话:400-8558-334案场预约制看房需提前来电预约登记温馨提示:点击上方号码可直接拨打电话请务必致电与销售确认时间,仅预约客户可进入销售现场,感谢您的支持
「金桥碧云澧悦」售楼处电话:400-8558-334案场预约制看房需提前来电预约登记温馨提示:点击上方号码可直接拨打电话请务必致电与销售确认时间,仅预约客户可进入销售现场,感谢您的支持
精心规划“一环、一轴、三园”,于建筑中另辟一方天地,以绿意包裹整个小区,打造绿氧环绕的公园住区.漫步在花园小径,呼吸新鲜氧负离子在自然中享受阳光微醺和清新绿意,在生机盎然中安享静谧.

「金桥碧云澧悦」售楼处电话:400-8558-334案场预约制看房需提前来电预约登记温馨提示:点击上方号码可直接拨打电话请务必致电与销售确认时间,仅预约客户可进入销售现场,感谢您的支持
「金桥碧云澧悦」售楼处电话:400-8558-334案场预约制看房需提前来电预约登记温馨提示:点击上方号码可直接拨打电话请务必致电与销售确认时间,仅预约客户可进入销售现场,感谢您的支持
公园住区,项目以1.8从容容积率,塑造人居空间的舒适尺度.
「金桥碧云澧悦」售楼处电话:400-8558-334案场预约制看房需提前来电预约登记温馨提示:点击上方号码可直接拨打电话请务必致电与销售确认时间,仅预约客户可进入销售现场,感谢您的支持

「金桥碧云澧悦」售楼处电话:400-8558-334案场预约制看房需提前来电预约登记温馨提示:点击上方号码可直接拨打电话请务必致电与销售确认时间,仅预约客户可进入销售现场,感谢您的支持
项目规划以简约流线型线条为主脉络,框体结构搭配层叠横向线条,辅以庄重典雅的淡色玻璃,从而营造隐而不喧的优雅色彩,简约的设计更能呈现丰富的内涵,细节的掌控凸显匠心的品质.
「金桥碧云澧悦」售楼处电话:400-8558-334案场预约制看房需提前来电预约登记温馨提示:点击上方号码可直接拨打电话请务必致电与销售确认时间,仅预约客户可进入销售现场,感谢您的支持
「金桥碧云澧悦」售楼处电话:400-8558-334案场预约制看房需提前来电预约登记温馨提示:点击上方号码可直接拨打电话请务必致电与销售确认时间,仅预约客户可进入销售现场,感谢您的支持
在浦东买房,核心要素是跟着张江买,那在如今扩容后的张江科学城,面对周边一众650万、700万级新房,5字头的碧云澧悦堪称“断层领先的性价比”,不仅是整个大张江科学城的门槛价,更是你当下,甚至未来500万级买进张江的仅剩机会!
「金桥碧云澧悦」售楼处电话:400-8558-334案场预约制看房需提前来电预约登记温馨提示:点击上方号码可直接拨打电话请务必致电与销售确认时间,仅预约客户可进入销售现场,感谢您的支持
周浦联动价早就6万+,品质二手房更是6万+,5.6万/㎡的碧云澧悦性价比错过难寻!周浦品质二手房九龙仓兰庭目前挂牌价约7-7.8万/㎡;明天华城二手挂牌约6.5-7.3万/㎡,项目性价比无需多言.
而碧云澧悦周边云集张江、前滩、迪士尼多个高能级产业区,到陆家嘴也很方便.项目四周产业区质量高、距离近,那周浦未来发展确定性也就更强,性价比更高.便捷连接多个明星级产业区,碧云澧悦是500万级中产业厚度、产业确定性更强的新盘.
「金桥碧云澧悦」售楼处电话:400-8558-334案场预约制看房需提前来电预约登记温馨提示:点击上方号码可直接拨打电话请务必致电与销售确认时间,仅预约客户可进入销售现场,感谢您的支持
至2035年,发展成为凝聚科创力量,充满人文气息的“魅力小上海”,依托张江科学城,形成以医疗服务、电子商务和时尚创意为主导产业,宜居宜业的综合型城镇.

周浦既承载张江核心外溢,自身还有高质量的生物医药产业.碧云澧悦则是整个大张江性价比更高的一个新盘,且离产业近水楼台,前景可期!
交通配套:距离16号线周浦东站约1.8公里、18号线繁荣路站约2.6公里,算不上名副其实的地铁盘,可借助其他短驳交通工具,通勤到张江、前滩、陆家嘴、人民广场等核心区域还是比较方便的.
「金桥碧云澧悦」售楼处电话:400-8558-334案场预约制看房需提前来电预约登记温馨提示:点击上方号码可直接拨打电话请务必致电与销售确认时间,仅预约客户可进入销售现场,感谢您的支持
自驾出行也十分便捷,通过沪奉公路链接外环、中环、罗山高架以及申嘉湖高速等城市主干道,四通八达!
商业配套:板块内配套成熟,3km范围内有万达广场,小上海步行街,绿地缤纷广场,印象生活广场等商业中心.

教育配套:周边有浦东新区澧溪幼儿园、傅雷幼儿园、澧溪小学、周浦第二小学、周浦实验学校、澧溪中学、傅雷中学等教育配套.项目南侧中金海棠湾对口周浦实验学校(九年一贯制公办)可参考,期房不承诺学区对口.
医疗配套:项目南侧就是浦东新区周浦医院,步行可达,可以完全满足平时基本的就医需求.
「金桥碧云澧悦」售楼处电话:400-8558-334案场预约制看房需提前来电预约登记温馨提示:点击上方号码可直接拨打电话请务必致电与销售确认时间,仅预约客户可进入销售现场,感谢您的支持
「金桥碧云澧悦」售楼处电话:400-8558-334案场预约制看房需提前来电预约登记温馨提示:点击上方号码可直接拨打电话请务必致电与销售确认时间,仅预约客户可进入销售现场,感谢您的支持
休闲配套:项目1公里范围内有周浦文化公园、周浦体育中心(在建)等配套.
金桥碧云澧悦售楼处电话:400-8558-334
上海浦东金桥碧云澧悦售楼处电话☎:400-8558-334(官方预约看房热线)
声明:本文由入驻焦点开放平台的作者撰写,除焦点官方账号外,观点仅代表作者本人,不代表焦点立场。
