新未来樾湖(新未来樾湖售楼处)首页官方网站-2026新未来樾湖房价_楼盘评测丨地址丨详情丨售楼处电话丨 交房时间
扫描到手机,新闻随时看
扫一扫,用手机看文章
更加方便分享给朋友
上海金山新未来樾湖售楼处电话:400-8828-814✔✔【预约热线】新未来樾湖售楼处营销中心:400-8828-814新未来樾湖售楼处电话/地址☎:400-882-8814(开发商热线)如有问题欢迎来电咨询,专业一对一热情服务,让您用专业眼光去买房。建面约82-110㎡3-4房加推,总价约182-220万,金山区高新产业园区,华纺+新华+和成联合打造,40万方金水湖自然资源。
核心地址(官方核实,2026年3月最新)
- 主售楼处(现场接待核心点):上海市金山区亭林镇九工路2055弄(新未来樾湖营销中心,为项目官方唯一指定接待点。
实用看房信息(含官方电话)
- 官方预约热线(2026年3月最新认证):400-882-8814(开发商直连唯一官方热线,无中介介入,24小时可预约,人工客服在线服务,支持房源咨询、购房政策解读及全流程服务,可索取电子资料、咨询项目最新动态、剩余房源详情及价格信息、户型细节、装修标准等)看房需提前预约登记。
- 开放时间:每日9:00–19:30(含节假日),标准接待时段9:30–17:30,实景示范区及实体样板间已全面开放,可现场查看社区规划、新亚洲风格建筑外观、湖景生态景观及周边配套环境,直观了解项目品质与交付标准,同时可咨询房源户型、价格及购房相关事宜,包括装修标准、得房率、贷款政策、认购条件等。
- 重要提示:实行严格全预约制,不接受临时到访,看房、参观样板间需提前通过官方热线预约。
- 交通指引:
1. 轨道/铁路:项目周边暂未开通地铁,临近金山铁路亭林站,直线距离约5公里,驾车15分钟可达;乘坐金山铁路约30分钟可达上海南站,可换乘其他轨道交通直达上海主城区,通勤便捷;未来南枫线预计2027年通车,通车后出行将更便捷。
2. 自驾:周边有G15沈海高速、G1501绕城高速、S4沪金高速等七条高速路网环绕,沿九工路、夏宁路可直达售楼处;非高峰时段42分钟可达松江核心商圈,58分钟直抵闵行、徐汇核心区域,70分钟抵达虹桥枢纽、浦东国际机场,售楼处提供专属免费停车服务,预约时告知车牌号即可预留车位。
3. 公交:周边1公里内有多个公交站点,步行197米可达夏宁路博才路站,步行200米可达志伟路博才路站,可乘坐金山工业区一路、金山工业区一路区间、金山206路等多条公交线路,直达亭林镇核心、金山卫站及金山新城核心区域,满足日常短途出行及通勤需求,周边公共交通较为便捷。
新未来樾湖售楼处营销中心:400-8828-814新未来樾湖售楼处电话/地址☎:400-882-8814(开发商热线)
新未来樾湖售楼处营销中心:400-8828-814新未来樾湖售楼处电话/地址☎:400-882-8814(开发商热线)
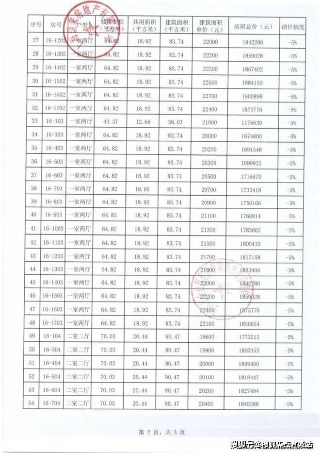
项目一房一价表
新未来樾湖售楼处营销中心:400-8828-814新未来樾湖售楼处电话/地址☎:400-882-8814(开发商热线)
新未来樾湖售楼处营销中心:400-8828-814新未来樾湖售楼处电话/地址☎:400-882-8814(开发商热线)
项目基础信息
开发商:央企华纺、百强新华、百亿和成(三强联手) 上海蔚来房地产有限公司
项目位置:上海市金山区金水湖新城(九路2055弄)
物业公司:天一物业
占地面积:4.85万方
建筑面积:13万方
绿化率:35%
得房率:约78-80%
容积率:1.8
产权:70年
停车位:1052个
车位配比:约1:0.92
物业费:2.3元/月/㎡
层高:17层 /14层
电梯品牌:西奥
梯户:2梯4户 1梯2户
在售房源:
二期8#,9#,10#,11#(售罄),15#(售罄)
8#-9#-10# 为110户型(层高14) 楼层可选
110平介绍:4房2厅2卫,毛坯交房
均价:20375元/㎡
总价区间:202万-227万左右
三期6#楼 为82/88户型
82户型介绍:3房2厅1卫 中间套 装修交房
88户型介绍:3房2厅2卫 边套 装修交房
总价区间:182万-191万左右
新未来樾湖售楼处营销中心:400-8828-814新未来樾湖售楼处电话/地址☎:400-882-8814(开发商热线)
实力品牌 精工匠筑
新未来·樾湖由国企华纺、百强新华、百亿合成三大实力品牌和鸣共筑,为业主缔造心选的宜居现房。
新未来樾湖售楼处营销中心:400-8828-814新未来樾湖售楼处电话/地址☎:400-882-8814(开发商热线)
三大实力品牌延续过往的建筑经验和实力,以品质为匠筑核心,秉持匠心精神和以人为本的理念,联合擎画滨水品质现房。精工匠筑+实力品牌,双重保障让现房品质清晰可见。
新未来樾湖售楼处营销中心:400-8828-814新未来樾湖售楼处电话/地址☎:400-882-8814(开发商热线)
区域资源 未来可期
金山区位于上海市西南部,南临杭州湾,西与浙江接壤,处于长三角地理中心位置和连接我国经济最活跃地区的交通节点,长三角16个重要城市都在其1.5小时交通圈。
新未来樾湖售楼处营销中心:400-8828-814新未来樾湖售楼处电话/地址☎:400-882-8814(开发商热线)
资源优势:
上海湾区。四大主导产业:生命健康、人工智能、环保科技、文化教育。现入驻企业5000多家,大量招聘人才引进。有利于承接上海、联动杭州湾“两个扇面发展格局”,同时南滨杭州湾、海岸线长达23.3公里的优势。
新未来樾湖售楼处营销中心:400-8828-814新未来樾湖售楼处电话/地址☎:400-882-8814(开发商热线)金山工业区。本就是“9大市级工业区”之一,目前更紧抓区域发展红利,提出了“到2025年,将金山工业区建设成为上海湾区的先进制造业高地和产城融合示范地”的“十四五”规划,并划分了3大主要节点。
1:华东无人机基地,成为国内首批以海岛为应用场景的民用无人驾驶航空试验地。
2:上海和辉光电(十三五项目、2017出货市占率排名前列),专注于显示屏,拥有国内首条第4.5代低温多晶硅AMOLED量产线,以超薄、低功耗、高画质等优势,在电子产品中广泛应用。
3:沃迪机器人(成功打入机器人国际市场的中国搬运机器人企业)
4:上海西门子线路保护系统有限公司(第三大研发中心)、这些知名企业的导入,给后期板块带来超强的发展动力
另外阿里巴巴上海金山飞天园项目是今年金山工业区首个新增建设用地项目,总投资约220亿元。新未来樾湖售楼处营销中心:400-8828-814新未来樾湖售楼处电话/地址☎:400-882-8814(开发商热线)
旅游资源优势:4A景区金山城市沙滩、金山嘴渔村、廊下生态园、花开海上
40万方滨湖大宅
人车分流 让生活更加惬意
「新未来樾湖」地处夏宁路与九工路交汇处,坐落于金水湖畔,可享一线环湖景观。
新未来樾湖售楼处营销中心:400-8828-814新未来樾湖售楼处电话/地址☎:400-882-8814(开发商热线)
新未来樾湖售楼处营销中心:400-8828-814新未来樾湖售楼处电话/地址☎:400-882-8814(开发商热线)
项目规划总户数1133套,由15幢14层、17层高层组成,总占地面积4.85万方,总建筑面积13万方,容积率1.8,绿化率35%。小区采用人车分流设计,车位配比1:1。
新未来樾湖售楼处营销中心:400-8828-814新未来樾湖售楼处电话/地址☎:400-882-8814(开发商热线)
(社区示意图)
社区自带围合式中央花园,以绿色景观为基础,形成户外邻里交流平台。在配套上,合理打造了儿童游玩、林荫汀步、娱乐健身、活动场所四大乐活场地,打造宜老宜少的全龄互动空间,让业主足不出户,就能享受到美好舒适的生活。
新未来樾湖售楼处营销中心:400-8828-814新未来樾湖售楼处电话/地址☎:400-882-8814(开发商热线)
(社区示意图)
新未来樾湖售楼处营销中心:400-8828-814新未来樾湖售楼处电话/地址☎:400-882-8814(开发商热线)
建筑立面设计方案采用新亚洲的手法,摈弃了古典建筑较为繁复的线脚装饰,吸收了经典的立面分段比例,强调竖向线条,凸出建筑的挺拔与气势。
新未来樾湖售楼处营销中心:400-8828-814新未来樾湖售楼处电话/地址☎:400-882-8814(开发商热线)
项目推售详情
目前【新未来樾湖】建面约82-110㎡二期新品,全新样板间先睹为快本次新未来·樾湖,推出的304套房源,建面约82-88㎡装修户型进阶而来,建面约110㎡宽境户型惊喜上市,总价约167万~225万
新未来樾湖售楼处营销中心:400-8828-814新未来樾湖售楼处电话/地址☎:400-882-8814(开发商热线)
项目户型赏析
82㎡3房2厅1卫
特点:南北布局,户型方正。
这个户型看下来功能性很强,设计得十分合理,每一平米都不浪费
2间南向卧室,均带有飘窗,全明户型。
北向房间可做书房或儿童房,面积与次卧相当,舒适感强。
客厅面积约11.38㎡米,附带外凸式南阳台,入户门可设鞋柜,卫生间干湿分离。
88㎡3房2厅2卫
特点:南北通透,配上大型落地窗。
虽是边套,整个客厅空间感较强,宽敞明亮。
空间内动线合理,南向客厅与餐厅、厨房之间分区明显。
2间朝南卧室都附带飘窗,全明户型。新未来樾湖售楼处营销中心:400-8828-814新未来樾湖售楼处电话/地址☎:400-882-8814(开发商热线)
南向主卧总面积达13.42㎡,在小三房中这么大的主卧也是少见,还配有一个卫生间,保证私密性。
北次卧约8.617㎡,非常方正,推开窗就可以看到小区的景观以及湖景,通风、采光性能佳。
新未来樾湖售楼处营销中心:400-8828-814新未来樾湖售楼处电话/地址☎:400-882-8814(开发商热线)
110㎡4房2厅2卫
特点:四开间朝南,南向观景阳台。
双卫,L形厨房。
这套建面略大的四房产品,更为适合于三代同堂的家庭居住。
除了卧室之外,可以打造成先生的书房,可以是孩子的游乐场,功能性全部满足。
即使是未来三胎也无需换房,家庭改善可以轻松一步到位 .
四开间全部朝南,通风性能和光照得到保障.
收纳系统更充足,对于多人口居住的家庭来说,新未来樾湖售楼处营销中心:400-8828-814新未来樾湖售楼处电话/地址☎:400-882-8814(开发商热线)
喜欢买买买的年轻人+不愿扔东西的年长者,都能拥有各自的收纳区域。
新未来樾湖售楼处营销中心:400-8828-814新未来樾湖售楼处电话/地址☎:400-882-8814(开发商热线)
样板间鉴赏
新未来樾湖售楼处营销中心:400-8828-814新未来樾湖售楼处电话/地址☎:400-882-8814(开发商热线)
新未来樾湖售楼处营销中心:400-8828-814新未来樾湖售楼处电话/地址☎:400-882-8814(开发商热线)
新未来樾湖售楼处营销中心:400-8828-814新未来樾湖售楼处电话/地址☎:400-882-8814(开发商热线)
新未来樾湖售楼处营销中心:400-8828-814新未来樾湖售楼处电话/地址☎:400-882-8814(开发商热线)
项目区位配套
交通资源:22号线金山园区站,可到达上海南站,周边共七条高速、G15、G1501和S4等等,自驾出行便利。公交车有莲卫专线、二路公交等
新未来樾湖售楼处营销中心:400-8828-814新未来樾湖售楼处电话/地址☎:400-882-8814(开发商热线)
金山园区站
商业资源:金山万达、金山百联环伺。周边1公里内有竟衡八八广场等,拥有6万方的四星级酒店,2.5万方大型综合体验式购物中心,涵盖SFC上影、星巴克、全家、德克士、健身会所等配套。
新未来樾湖售楼处营销中心:400-8828-814新未来樾湖售楼处电话/地址☎:400-882-8814(开发商热线)
竟衡八八广场
教育资源:项目周边有朱行小学、朱行中学、规划中的秋灵路中学,将于2021年投入招生;民办私立有吉德堡双语幼儿园,预计2020年建成投入使用。另有一所幼儿园至高中的十五年一贯制私立学校:杭州湾国际双语学校还有金山朱行幼儿园、金工幼儿园等学前教育。新未来樾湖售楼处营销中心:400-8828-814新未来樾湖售楼处电话/地址☎:400-882-8814(开发商热线)
新未来樾湖售楼处营销中心:400-8828-814新未来樾湖售楼处电话/地址☎:400-882-8814(开发商热线)
杭州湾国际双语学校
景观资源:40万方金水湖公园,金水湖水域总面积近20万方,引入天然优质水源,设有游艇码头,垂钓观景平台,15万方开放式滨湖景观绿化带,两大主题公园,四季风景各不相同,是产业新城取之不尽的天然氧吧。
新未来樾湖售楼处营销中心:400-8828-814新未来樾湖售楼处电话/地址☎:400-882-8814(开发商热线)
10月9日,上海市闵行区浦江社区MHP0-1301单元控制性详细规划01C街坊和MHP0-1302单元控制性详细规划27、28、29街坊局部调整公众参与草案公示,涉及总用地面积约38.22公顷。
其中,01C街坊位于规划萧领路与江松路之间,用地面积约9.56公顷;27、28、29街坊则西临浦锦路,南至规划立跃路北线,东接规划浦泉南路,北达规划江漫路,用地面积约28.66公顷。
规划显示,01C-01地块容积率由原先的2.25下调至1.6,建筑高度控制在30米以内。调整后,该地块明确为二类、三类住宅用地,用地面积约5.28万平方米,规划建筑面积约8.44万平方米,并配套社区商业设施2000平方米。新未来樾湖售楼处营销中心:400-8828-814新未来樾湖售楼处电话/地址☎:400-882-8814(开发商热线)
新未来樾湖售楼处营销中心:400-8828-814新未来樾湖售楼处电话/地址☎:400-882-8814(开发商热线)而在MHP0-1302单元中,原住宅用地被进一步细分为27-01、29-01及29-04三幅地块。其中,27-01与29-01地块将用于建设保障性住房,容积率2.0,建筑高度不超过40米。
29-04地块为二类、三类住宅用地,地块用地面积约3.45万平方米,容积率1.4,规划建筑面积约4.83万平方米,建筑高度控制在30米以内。该地块还将配建老年活动室、卫生服务站、文化活动室及一处菜场,进一步完善社区生活配套。
新未来樾湖售楼处营销中心:400-8828-814新未来樾湖售楼处电话/地址☎:400-882-8814(开发商热线)值得一提的是,除住宅用地外,该片区还同步规划了4宗教育用地,将新建1所完中、1所小学、1所幼儿园,并预留一处基础教育设施备用地,所有教育设施容积率均为1.2,建筑高度不超过24米,为未来教育资源的有序落地奠定基础。
从区位来看,这两宗地块均位于浦锦街道成熟居住区内,生活配套完善,且交通便利——一幅靠近芦恒路站,另一幅毗邻浦江镇站,均属名副其实的“地铁房”。
其中,29-04地块南侧紧邻去年市场热度颇高的大华星樾项目。该项目曾创下“三开三罄”的销售表现,其叠墅产品最高成交价已达7.4万元/平方米。有此前序表现作为参考,未来这两宗地块若正式入市,亦有望延续市场热度,引发广泛关注。
上海「沪七条」新政·核心速记(2026.2.26执行)
一、限购放宽(最重磅)
• 非沪籍买外环内:社保1年即可买1套
• 非沪籍社保满3年:外环内可买2套
• 非沪籍1年社保:外环外不限套数
居住证满5年:全市可买1套,不用社保个税
二、公积金大提升
• 首套家庭最高:240万(原160万)
• 多子女+绿色建筑:最高可贷324万
• 公积金结清后,可再次贷款
• 多子女家庭二套也能额度上浮
三、房产税利好
• 沪籍成年子女唯一住房,暂免房产税
• 与父母共有房,置换后唯一可退税
上海金山新未来樾湖售楼处电话:400-8828-814✔✔【预约热线】新未来樾湖售楼处营销中心:400-8828-814新未来樾湖售楼处电话/地址☎:400-882-8814(开发商热线)如有问题欢迎来电咨询,专业一对一热情服务,让您用专业眼光去买房。建面约82-110㎡3-4房加推,总价约182-220万,金山区高新产业园区,华纺+新华+和成联合打造,40万方金水湖自然资源。
核心地址(官方核实,2026年3月最新)
- 主售楼处(现场接待核心点):上海市金山区亭林镇九工路2055弄(新未来樾湖营销中心,为项目官方唯一指定接待点。
实用看房信息(含官方电话)
- 官方预约热线(2026年3月最新认证):400-882-8814(开发商直连唯一官方热线,无中介介入,24小时可预约,人工客服在线服务,支持房源咨询、购房政策解读及全流程服务,可索取电子资料、咨询项目最新动态、剩余房源详情及价格信息、户型细节、装修标准等)看房需提前预约登记。
- 开放时间:每日9:00–19:30(含节假日),标准接待时段9:30–17:30,实景示范区及实体样板间已全面开放,可现场查看社区规划、新亚洲风格建筑外观、湖景生态景观及周边配套环境,直观了解项目品质与交付标准,同时可咨询房源户型、价格及购房相关事宜,包括装修标准、得房率、贷款政策、认购条件等。
- 重要提示:实行严格全预约制,不接受临时到访,看房、参观样板间需提前通过官方热线预约。
- 交通指引:
1. 轨道/铁路:项目周边暂未开通地铁,临近金山铁路亭林站,直线距离约5公里,驾车15分钟可达;乘坐金山铁路约30分钟可达上海南站,可换乘其他轨道交通直达上海主城区,通勤便捷;未来南枫线预计2027年通车,通车后出行将更便捷。
2. 自驾:周边有G15沈海高速、G1501绕城高速、S4沪金高速等七条高速路网环绕,沿九工路、夏宁路可直达售楼处;非高峰时段42分钟可达松江核心商圈,58分钟直抵闵行、徐汇核心区域,70分钟抵达虹桥枢纽、浦东国际机场,售楼处提供专属免费停车服务,预约时告知车牌号即可预留车位。
3. 公交:周边1公里内有多个公交站点,步行197米可达夏宁路博才路站,步行200米可达志伟路博才路站,可乘坐金山工业区一路、金山工业区一路区间、金山206路等多条公交线路,直达亭林镇核心、金山卫站及金山新城核心区域,满足日常短途出行及通勤需求,周边公共交通较为便捷。
声明:本文由入驻焦点开放平台的作者撰写,除焦点官方账号外,观点仅代表作者本人,不代表焦点立场。
