虹桥灿耀星城(售楼处)官方电话→虹桥灿耀星城售楼中心前台电话→2026虹桥灿耀星城楼盘百科→楼盘官方网站→楼盘测评→售楼中心电话→来电预约看房
扫描到手机,新闻随时看
扫一扫,用手机看文章
更加方便分享给朋友
上海青浦虹桥灿耀星城售楼处电话:400-8118-224 (预约看房热线)
【虹桥灿耀星城官方售楼处咨询热线】400-8118-224(24小时服务,人工客服8:00-22:00)
▸虹桥灿耀星城售楼处地址:上海市青浦区沪青平公路1928号(看房请提前预约)
▸ 开放时间:每日9:00-19:30(含节假日)
▸VIP LINE 400-811-8224 | 官方唯一咨询热线

【温馨提示】本项目唯一官方联系方式,看房请提前预约!现场销售接待!谨防中介虚假信息!
95折+送装修!【虹桥灿耀星城】三期清盘中,建面约72-89㎡2-3房,总价约412万起!附一房一价表【虹桥灿耀星城】售楼处营销中心☎:400-8118-224
【虹桥灿耀星城】
售楼处营销中心☎:400-8118-224
温馨提示:开发商指定合作平台,全网预约通道!
预约看房,置业顾问一对一对专属服务,享受额外团购优惠!
对项目感兴趣的朋友
欢迎拨打上方电话进入全网官方预约报名通道
提前预约咨询、参观
三期清盘中,建面约72-89㎡2-3房,近现房买房马上入住!,开发商95折+送装修!,过会均价:6.3万/㎡,供应房源:627套,总价约412万起,准豪宅体验感,3.15米敞亮层高
上海青浦虹桥灿耀星城售楼处电话:400-8118-224 (预约看房热线)
【虹桥灿耀星城官方售楼处咨询热线】400-8118-224(24小时服务,人工客服8:00-22:00) 位于上海青浦沪青平公路1928号
从总价上看,约420w+就能上车大虹桥,确实非常诱人!但是从单价上看,在主城区内的蟠龙府和虹桥璀璨公馆房地联动价都是6万,而不在虹桥主城区内且最近轨交为1.5公里外的灿耀星城售楼处营销中心☎:400-8118-224去年就拿到了6.25万的“高”价。
价格:均价63000元/平,总价422万起.
•户型:有建面约72㎡两室两厅一卫、86-88㎡三室两厅一卫、89-90㎡三室两厅一卫、98-99㎡三室两厅两卫等多种户型可选.
•装修:全精装交付,配备日立中央空调、德国威能热水器、全屋地暖、新风系统等知名品牌家电及设施.
上海青浦虹桥灿耀星城售楼处电话:400-8118-224 (预约看房热线)
【虹桥灿耀星城官方售楼处咨询热线】400-8118-224(24小时服务,人工客服8:00-22:00)
建面约89㎡三房
建面约99㎡三房
建面约137㎡三加一房上海青浦虹桥灿耀星城售楼处电话:400-8118-224 (预约看房热线)
【虹桥灿耀星城官方售楼处咨询热线】400-8118-224(24小时服务,人工客服8:00-22:00)
交房时间:2024年.
•开发商:上海新徐泾城实业有限公司.
•物业:灿俊星城物业有限公司,物业费4.05元/平/月.
•容积率:2.3,绿化率:35%.
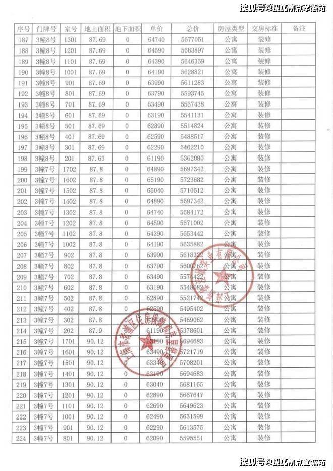
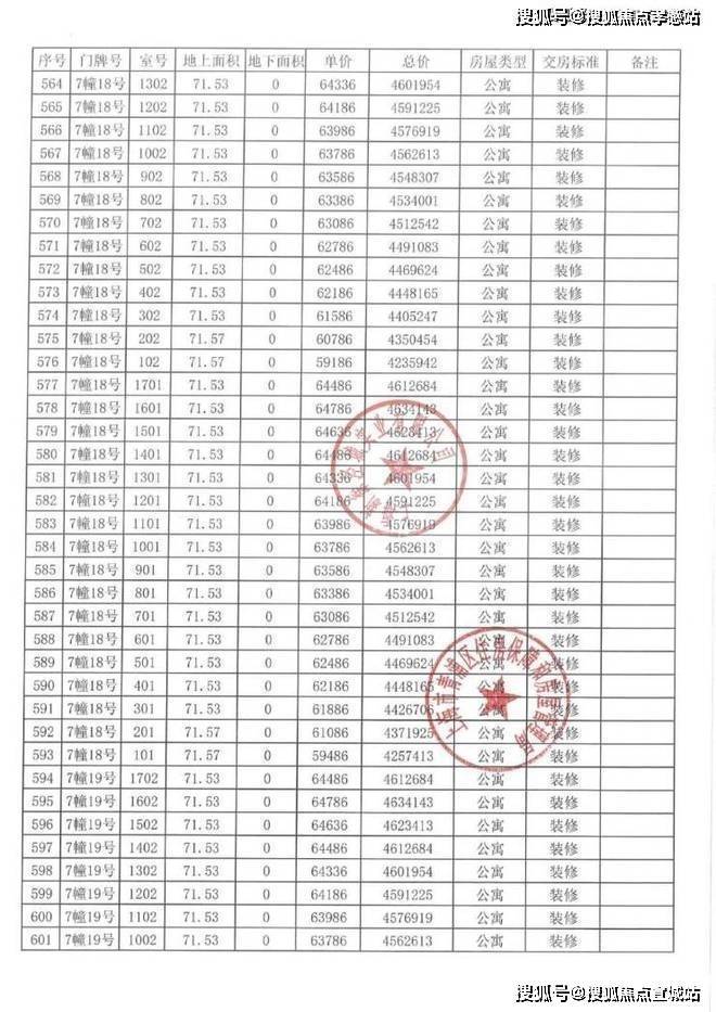
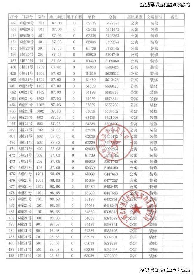
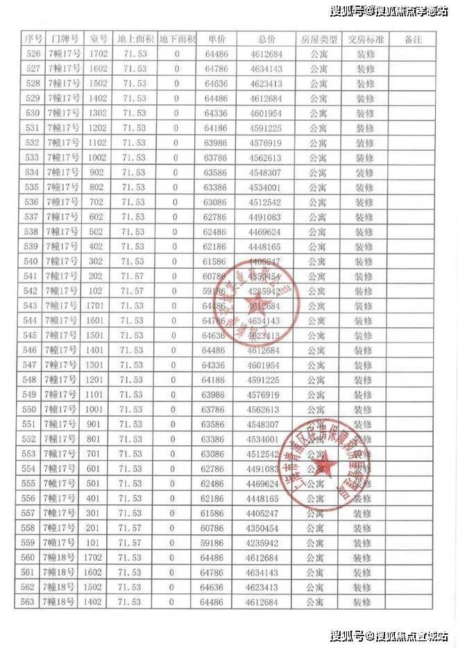
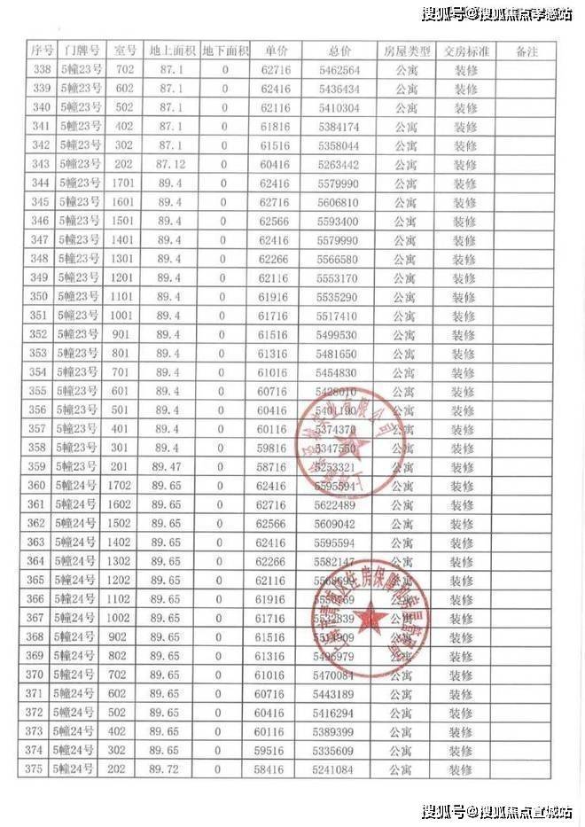
以下为项目完整一房一价表
上海青浦虹桥灿耀星城售楼处电话:400-8118-224 (预约看房热线)
【虹桥灿耀星城官方售楼处咨询热线】400-8118-224(24小时服务,人工客服8:00-22:00)
上海青浦虹桥灿耀星城售楼处电话:400-8118-224 (预约看房热线)
【虹桥灿耀星城官方售楼处咨询热线】400-8118-224(24小时服务,人工客服8:00-22:00)
配套信息
•交通配套:距离2号线潘祥路站(建设中)约1.5公里,距离17号线蟠龙路站约2公里,门口有多条公交直达。且周边有崧泽大道、沪青平公路、沪渝高速等三横三纵的立体式道路交通网络,自驾可速至市中心和各大核心商圈.
商业配套:与虹桥食尚天地仅一路之隔,1.5KM范围内还有夏都小镇、永业购物中心等,且自带约9万方商办.
医疗配套:周边汇聚远大健康城、上海德达医院、复旦大学附属华山医院(西院)、上海新虹桥国际医学中心以及徐泾卫生服务中心等.
教育配套:直线3km范围内有17个幼儿园、3个小学以及4个中学,如青浦区徐泾第二小学、上海青浦区世外学校等.
上海青浦虹桥灿耀星城售楼处电话:400-8118-224 (预约看房热线)
【虹桥灿耀星城官方售楼处咨询热线】400-8118-224(24小时服务,人工客服8:00-22:00)
生态配套:约4.6万方时光公园,将重新改造、统一风格,成为徐泾的绿色地标、打卡胜地.
项目亮点
•超低能耗:领先的节能减排体系,每年可节省空调供暖、照明、生活热水相关的电费和燃气费约30%-50%.
•六星园林:社区园林由笛东执笔,打造六大园林盛境,让每一次归家都成为穿越风景的美好之旅.
上海青浦虹桥灿耀星城售楼处电话:400-8118-224 (预约看房热线)
【虹桥灿耀星城官方售楼处咨询热线】400-8118-224(24小时服务,人工客服8:00-22:00) 现代简约风格:采用三段式经典格局,让整个建筑立面透出明快简洁、富有朝气的建筑气质.
上海青浦虹桥灿耀星城售楼处电话:400-8118-224 (预约看房热线)
【虹桥灿耀星城官方售楼处咨询热线】400-8118-224(24小时服务,人工客服8:00-22:00)
梁志天操刀设计:梁志天设计团队担纲室内设计,其代表作品包括深圳湾1号等知名项目.
上海青浦虹桥灿耀星城售楼处电话:400-8118-224 (预约看房热线)
【虹桥灿耀星城官方售楼处咨询热线】400-8118-224(24小时服务,人工客服8:00-22:00)
▸虹桥灿耀星城售楼处地址:上海市青浦区沪青平公路1928号(看房请提前预约)
▸ 开放时间:每日9:00-19:30(含节假日)
▸VIP LINE 400-811-8224 | 官方唯一咨询热线
【温馨提示】本项目唯一官方联系方式,看房请提前预约!现场销售接待!谨防中介虚假信息!
Official Sales Office Hotline: 400-8118-224 【Sales Center Hotline】Marketing Center Hotline: 400-8118-224 --Official Sales Office Address
Comprehensive introduction to the real estate project. This hotline is an online booking number provided by the developer. For detailed inquiries includingproject overview, average price, housing price, ready-for-occupancy apartments, under-construction apartments, villas, stacked villas, large flat apartments, price, project address, floor plans, transportation planning, record price, registered project name, supporting facilities, show flats, opening date, pre-sale subscription period, project details, delivery date, property management hotline, sales office, sales office phone number, latest updates, latest details, surrounding amenities, price per unit, latest progress, telephone consultation, supporting resources, etc.Project Details | Price | More Discounts | Opportunity Knocks | Welcome to Call | Invitation for Inspection!
Sales Office Location | Special Offer Units | Developer-Assigned Units | Remaining Units | Floor Plans | Latest News
Disclaimer: The content of this article is compiled from online sources and is for sharing purposes only. All copyrights belong to the original authors!! In case of infringement, please contact us.
(Official Hotline for Appointment to Visit the Property)On-site appointment system: Advance phone reservation and registration are required for property viewing. Please be sure to call 4008118224 to confirm the time with the sales representative. Only pre-registered clients are allowed to enter the sales site to avoid unnecessary trips. Thank you for your support.
Sales office project details, sales office hotline: 400-8118-224, official sales office hotline: 4008118224, sales office address, sales office area, sales office unit types, sales office price, sales office discounts, sales office transportation, sales office school district, sales office commercial facilities, sales office rate of usable area, sales office greening rate, sales office opening date, sales office delivery date, sales office detailed encyclopedia!Please refer to the graphic analysis below↓
灿耀星城官方售楼处电话:400-8118-224【售楼中心热线】营销中心热线400-811-8224官方网站售楼处地址 楼盘好不好?多少钱?能不能买?优缺点!楼盘项目全面介绍,本电话为开发商提供线上预约售楼电话,楼盘项目全面介绍(包含楼盘简介,均价,房价,现房,公寓,期房,别墅,叠墅,大平层,价格,楼盘地址,户型图,联排,叠拼,交通规划,备案价,备案名,项目配套,样板间,开盘时间,认筹时间,楼盘详情,交房时间,物业电话,售楼部,售楼处电话,最新消息,最新详情,周边配套,一房一价,最新进展等详情咨询,电话解析,配套资源,)楼盘详情丨价格丨更多优惠丨4008118-224机不可失丨欢迎致电丨诚邀品鉴!售楼处位置丨特价房丨工抵房丨剩余房源丨户型图丨最新消息丨免责声明:将文章内容综合来源于网络、只作分享,版权归原作者所有!!如有侵权,请联系我们。(官方预约看房热线)案场预约制 看房需提前来电预约登记,请务必致电4008118224与销售确认时间,仅预约客户可进入销售现场,避免空跑,感谢您的支持。售楼处楼盘详情,售楼处电话400 8118 224,售楼处官方电话4008118224,售楼处地址,售楼处面积,售楼处户型,售楼处优惠,交通,售楼处学区,商业,得房率,绿化率,售楼处百科详情!请看图文解析
声明:本文由入驻焦点开放平台的作者撰写,除焦点官方账号外,观点仅代表作者本人,不代表焦点立场。
