五个院子售楼处电话|2024嘉定五个院子的别墅最新详情丨指定网站丨售楼处地址
扫描到手机,新闻随时看
扫一扫,用手机看文章
更加方便分享给朋友

嘉定五个院子的别墅售楼处电话:400-877-8334项目位于嘉定北生态涵养区,具体位置在协和高尔夫旁华亭。交通方面,该项目拥有“四纵四横”的交通路网,包括嘉行公路、城北路、沪崇高速、沪太公路等,同时还有公共交通和未来开通的社区巴士,出行较为便捷。
The sales office phone number of Jiading Five Yard Villas is: 400-877-8334. The project is located in Jiading North Ecological Conservation Zone, and its specific location is Huating next to Xiehe Golf.In terms of transportation, the project has a "four vertical and four horizontal" transportation network, including Jiaxing Highway, Chengbei Road, Shanghai-Shanghai Expressway, Hutai Highway, etc. It also has public transportation and community buses that will be opened in the future, making travel more convenient.
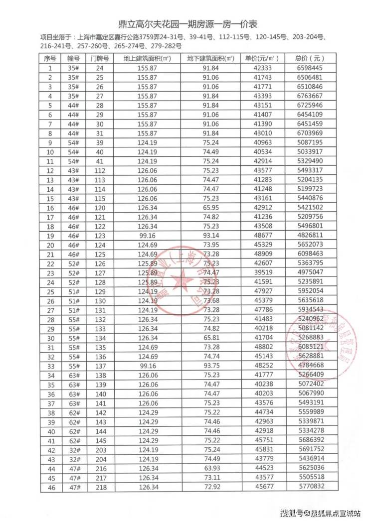
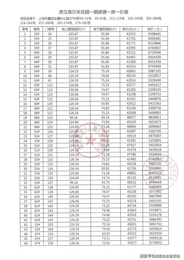
房价方面,该项目于2023年11月12日盛大开盘,首推98-172㎡合院别墅,均价43680元/㎡,一房一价,具体价格可咨询售楼处:400-877-8334
In terms of housing prices, the project will have a grand opening on November 12, 2023. The first launch is courtyard villas of 98-172㎡, with an average price of 43,680 yuan/㎡, one room for one price. For specific prices, please consult the sales office: 400-877-8334
医疗学区方面,项目周边有嘉定中心医院、瑞金医院等医疗资源,同时还有多所学校,教育资源较为丰富。
In terms of the medical school district, the project is surrounded by medical resources such as Jiading Central Hospital and Ruijin Hospital, as well as many schools, with rich educational resources.
小区环境方面,五个院子的别墅售楼处电话:400-877-8334该项目周边微度假配套齐全,包括全进马场、浏岛野生动物重要栖息地、浏河少儿营地等。此外,项目红线外有“耕·食·趣·养·学”五大院落主题配套,内部绿化率达到50%,环境优美。In terms of community environment, the phone number of the sales office of the five-yard villa is: 400-877-8334. The project is surrounded by complete micro-resort facilities, including Quanjin Horse Farm, Liudao Wildlife Important Habitat, Liuhe Children’s Camp, etc.In addition, outside the red line of the project, there are five courtyard theme facilities of "farming, food, fun, nourishment, and learning". The internal greening rate reaches 50%, and the environment is beautiful.
物以稀为贵,限墅令之后,再难见此别墅,当容积率仅为0.41的纯别墅项目——“五个院子的别墅”亮相时,着实给上海的楼市带来了一记“王炸”,完美诠释了什么是出道即巅峰。
Things are rare and valuable. After the villa restriction order, it is difficult to see this villa again. When the pure villa project with a floor area ratio of only 0.41 - "Villa with Five Yards" was unveiled, it really brought a "note" to Shanghai's real estate market. "Wang Zha" perfectly explains what it is to debut and reach your peak.

项目鸟瞰效果图
Part.1
都市、田园不必做选择
“向往的生活”就在嘉定北
You don’t have to choose between city and countryside. “The life you long for” is in Jiading North
“五个院子的别墅售楼处电话:400-877-8334”项目位处嘉定北生态涵养区,扼守上海西北门户之地,板块辐射长三角核心区域,服务嘉昆太地区约500万城镇群人口,是政府着力打造的生态品牌。
"Five Yards Villa Sales Office Telephone: 400-877-8334" The project is located in Jiading North Ecological Conservation Zone, guarding the northwest gateway of Shanghai. The plate radiates to the core area of the Yangtze River Delta and serves about 5 million urban groups in the Jiading, Kuntai, and Taiyuan regions. Population is an ecological brand that the government strives to build.
随着嘉定鲜花文旅项目的推进建设,鲜花、文旅、康养等产业陆续进驻,发展后劲十足,市场前景也将愈加广阔。
With the advancement of Jiading's flower cultural tourism project, flowers, cultural tourism, health care and other industries have successively entered the area. The development potential is strong and the market prospects will become increasingly broad.

项目区域交通图
五个院子的别墅售楼处电话:400-877-8334交通方面,拥有嘉行公路、城北路、沪崇高速、沪太公路;霜竹路、宝钱公路、胜竹路、绕城高速“四纵四横”路网,再加上公共交通和未来开通的社区巴士,往来出行十分的便捷。
The sales office phone number of the five-yard villa is: 400-877-8334. In terms of transportation, it has Jiaxing Highway, Chengbei Road, Shanghai-Shanghai Expressway, Hutai Highway; Shuangzhu Road, Baoqian Highway, Shengzhu Road, and the Ring Expressway. The "four vertical and four horizontal" road network, coupled with public transportation and community buses that will be opened in the future, will make travel very convenient.
五个院子的别墅售楼处电话:400-877-8334项目南侧邻近嘉北、主城多个商圈,上海协和高尔夫球场、全进马场、浏岛生态科普馆、浏河少儿营地、愚农庄园以及建设中的农居花巷等一系列微度假、轻户外配套尽在周边。
The sales office phone number of the five-yard villa is: 400-877-8334. The south side of the project is close to multiple business districts in Jiabei and the main city, Shanghai Xiehe Golf Course, Quanjin Racecourse, Liudao Ecological Science Museum, Liuhe Children’s Camp, Yu A series of micro vacation and light outdoor facilities, such as farm manor and farmhouse flower lane under construction, are all in the surrounding area.


项目效果图
五个院子的别墅售楼处电话:400-877-8334空间广阔、配套丰富的都市田园,配上低容积率、私密的别墅产品,在人潮拥挤的城市中,这样的生活理想,谁看了不心动?
The five-yard villa sales office phone number: 400-877-8334 An urban pastoral with vast space and rich supporting facilities, coupled with a low floor area ratio and private villa product, in a crowded city, who has seen such an ideal life? Not moved?
为了让热爱生活的人先一步感受都市田园的尽兴生活方式,项目于近日发起了“原地之旅——园住民招募计划”。
In order to allow people who love life to experience the enjoyable lifestyle of the urban pastoral first, the project recently launched the "Journey to the Original Place - Garden Resident Recruitment Plan".
五个院子的别墅售楼处电话:400-877-8334一改地下室潮湿、阴暗的印象,这里的地下空间也有阳光的浸沐,用以收藏主人的志趣爱好,作为影音室或者健身房,延伸生活的N种可能。
The five-yard villa sales office phone number: 400-877-8334 has changed the impression of a damp and dark basement. The underground space here is also bathed in sunlight and can be used to store the owner’s interests and hobbies. It can be used as a video room or gym to extend life. N possibilities.




五个院子的别墅售楼处电话:400-877-8334(营销中心预约热线)
The sales office phone number of the villas in Wuyuan: 400-877-8334 (sales center reservation hotline)
(已认证)欢迎致电咨询预约看房优惠信息,郑重承诺:开发商旗下销售团队全程营销策划,房源信息真实有效!
(Certified) Welcome to call to inquire about the discount information for making an appointment to view the house. We solemnly promise: the developer's sales team will conduct full marketing planning and the house information will be true and effective!
@本电话为开发商提供线上售楼电话,楼盘项目全面介绍(包含楼盘简介,房价,价格,楼盘地址,户型图,交通规划,备案价,项目配套,楼盘详情,售楼处电话,最新消息,最新详情,周边配套,最新进展等详情咨询)
@This phone number provides the developer with an online sales phone number and a comprehensive introduction to the real estate project (including the real estate introduction, housing prices, prices, real estate address, floor plan, transportation plan, registration price, project supporting facilities, real estate details, sales office phone number, the latest News, latest details, surrounding facilities, latest progress, etc. (Please consult for details)
资料来源:该项目资料为开发商营销部、销售人士创作。如有抄袭夸大,必追究法律责任!!!
Source of information: This project information is created by the developer's marketing department and sales personnel.If there is any plagiarism or exaggeration, legal responsibility will be pursued!!!
免责声明:本宣传资料包括尺寸、图片、插图、文字描述、周边配套、建筑、市政设施或其他资料等,仅供形象宣传和参考之用。本项目所涉数据及区域资源的相关信息,仅供参考,以政府最终呈现为准。本广告所涉及内容仅作为要约邀请,不作为开发企业的承诺,相关内容以政府最终批准文件和双方签署的合同为准。最终解释权归开发商所有。
Disclaimer: This promotional material includes dimensions, pictures, illustrations, text descriptions, surrounding facilities, buildings, municipal facilities or other information, etc., and is for image promotion and reference purposes only.The data involved in this project and the relevant information on regional resources are for reference only and are subject to the final presentation by the government.The content involved in this advertisement is only an invitation to offer and does not serve as a commitment by the development company. The relevant content is subject to the final government approval document and the contract signed by both parties.The final right of interpretation belongs to the developer.
声明:本文由入驻焦点开放平台的作者撰写,除焦点官方账号外,观点仅代表作者本人,不代表焦点立场。
