(2026)上海青浦同悦湾璟庭官方售楼处电话→楼盘百科→同悦湾璟庭首页网站→楼盘百科→24小时热线电话
扫描到手机,新闻随时看
扫一扫,用手机看文章
更加方便分享给朋友
上海青浦同悦湾璟庭售楼处电话:400-8828-814✔✔【预约热线】同悦湾璟庭售楼处营销中心:400-8828-814同悦湾璟庭售楼处电话/地址☎:400-882-8814(开发商热线)如有问题欢迎来电咨询,专业一对一热情服务,让您用专业眼光去买房。建面约85-129㎡洋房、叠加,指导价4.4万/㎡,青浦朱家角中式墅居,容积率仅为1.25,绿地率达35%!。
核心地址(官方核实,2026年3月最新)
- 主售楼处(现场接待核心点):上海市青浦区阁游路与淀昇路交叉口西北120米(同悦湾璟庭营销中心),为项目官方唯一指定接待点。
实用咨询信息(含官方电话)
- 官方咨询热线(2026年3月最新认证,开发商统一认证):400-882-8814(开发商直连官方热线,无中介介入,24小时可提交预约申请,人工客服服务时间9:00-21:00,周末及节假日无休,提供1v1专业服务,支持房源咨询、购房政策解读、预约看房、专车接送申请及全流程服务,可索取电子资料、咨询项目最新动态、房源详情及价格信息、户型细节、购房优惠等);无备用咨询热线,此为开发商统一认证唯一热线,拨打后可按语音提示转接对应部门,实行案场预约制,看房需提前来电预约登记,临时到访可接待但需等候,建议提前2小时预约避免空跑。
- 开放时间:每日9:00–19:00(含节假日),标准接待时段9:30-20:00,周末及节假日全天无休,24小时可预约,实景房源、实体样板间已全面开放,可现场查看社区规划、住宅建筑外观、滨水景观及周边配套环境,直观了解项目品质与交付标准,同时可咨询房源户型、价格及购房相关事宜,包括得房率、贷款政策、认购条件、装修标准等。
- 重要提示:实行案场预约制,建议提前通过官方热线预约,可享一对一专属置业顾问接待服务。
- 交通指引:
1. 轨道/铁路:项目临近17号线朱家角站,直线距离约1.2公里,步行18分钟、骑行7分钟可达;乘坐17号线可快速直达虹桥枢纽,可快速换乘2号线、10号线等,直达陆家嘴、人民广场、静安寺等核心区域,通勤便捷,周边公交可便捷换乘至其他地铁线路,出行便利。
2. 自驾:周边有崧泽高架、沪青平公路、G50沪渝高速等立体交通路网环绕,紧邻阁游路、淀昇路等主干道,沿阁游路可直达售楼处;邻侧高速入口车程仅需20分钟,非高峰时段35分钟直达大虹桥CBD、虹桥机场,满足业主自驾通勤、出游全需求,售楼处提供专属免费停车服务,贵重物品请自行妥善保管。
3. 公交:周边1公里内有多个公交站点,阁游路淀昇路站、淀昇路阁游路站等站点环绕,可乘坐青浦19路、朱家角1路、朱家角3路等多条公交线路,直达17号线朱家角站及周边核心区域,满足日常短途出行及通勤需求,可便捷换乘至区域内各大商圈及交通枢纽,步行可达周边大型商超、朱家角古镇,日常采购、休闲便捷。
朱家角中式墅居「同悦湾璟庭」户型图发布!建面约85-129㎡洋房、叠加即将入市!
青浦朱家角中式墅居
「同悦湾璟庭」
建面约85-129㎡洋房、叠加
即将入市
指导价4.4万/㎡
同悦湾璟庭售楼处电话☎:400-882-8814(预约热线)✔✔✔
项目位于上海市青浦区朱家角镇阁游路与淀昇路交汇处,容积率仅为1.25,绿地率达35%!
同悦湾璟庭售楼处电话☎:400-882-8814(预约热线)✔✔✔项目由东、西两个地块组成,依据项目进度,西地块将优先入市,西地块由186套建面约85㎡-95㎡洋房及100套建面约117-129㎡叠墅产品组成。
最新户型图如下:
同悦湾璟庭售楼处电话☎:400-882-8814(预约热线)✔✔✔
同悦湾璟庭售楼处电话☎:400-882-8814(预约热线)✔✔✔
同悦湾璟庭售楼处电话☎:400-882-8814(预约热线)✔✔✔
同悦湾璟庭售楼处电话☎:400-882-8814(预约热线)✔✔✔
当朱家角的江南腔调际遇青浦的发力拓进,关于大上海的生活议题升腾而起。
它是城市与人居的共生,是物理空间的迭代,是对历史、文化、经济脉络的深度回应。
同悦湾璟庭售楼处电话☎:400-882-8814(预约热线)✔✔✔它是空间的升维,是配套的丰盈,是圈层的越阶,也是滋养身心的生活美学,映照着城市的光辉前序,引领着我们在生活的路上不断演进和实践。
同悦湾璟庭,纵横上海画卷,悦见东方墅居。
同悦湾璟庭售楼处电话☎:400-882-8814(预约热线)✔✔✔青浦新城与朱家角的配对,成就了纵横世纪的地脉禀赋。
同悦湾璟庭,位居青浦新城,东接虹桥国际开放枢纽,西联江浙两省的“上海之门”,与长三角一体化先行区——朱家角核心,领衔高涨能级。
同悦湾璟庭售楼处电话☎:400-882-8814(预约热线)✔✔✔同时,华为也将入驻青浦,将在西青浦打造首个产业科技园,总投资高达71亿元,年产值预计将达100亿元,势必成为华为全球领先的研发中心,驱动板块价值扶摇而上。
同悦湾璟庭售楼处电话☎:400-882-8814(预约热线)✔✔✔同悦湾璟庭位居青浦新城核心区,随着产业科技元的落地,将吸引大量高净值人群入驻,重磅利好亟待兑现。
同悦湾璟庭售楼处电话☎:400-882-8814(预约热线)✔✔✔于上海发展轨迹之上,青浦新城历经时间沉淀,焕发繁华光彩,全方位呈现高阶人居品级。
项目近邻青浦新城万达茂等5大旗舰级商业体,近百万方商业在握。
(图源于网络)
经淀山湖大道、崧泽高架、沪渝高速等通达上海主城,畅达长三角。
同悦湾璟庭售楼处电话☎:400-882-8814(预约热线)✔✔✔全龄段教育资源加持。上海青浦兰生复旦学校,上海平和双语学校、复旦附中(青浦分校)、朱家角中学在旁,更规划幼儿园和小学。
(免责:以上教育资源整理仅代表楼盘与学校的距离,该房屋所在项目暂未划分学区,开发商不对项目交房后所属学区、学校作任何承诺。)
同悦湾璟庭售楼处电话☎:400-882-8814(预约热线)✔✔✔
(图源于网络)
大淀湖、淀山湖、淀浦河水系在旁,课植园等6大生态氧吧环绕,成就诗意栖居。
同悦湾璟庭售楼处电话☎:400-882-8814(预约热线)✔✔✔
(图源于网络)
同时, 同悦湾璟庭售楼处电话☎:400-882-8814(预约热线)✔✔✔2km范围汇聚复旦大学附属中山医院国家医学中心青浦新城院区一期(建设中)、朱家角人民医院/长三角智慧医院等4大院区,为健康保驾护航。
(图源于网络)
30余载耕耘, 同悦湾璟庭售楼处电话☎:400-882-8814(预约热线)✔✔✔同济房产先后投资和建成项目荣获国家和省市级的鲁班奖、白玉兰奖、国家住宅示范小区等奖项,力呈大匠之心。这一次,同济房产立足青浦新城与朱家角两大门户,以朱家角为造景原理,打造【一湖 两园 两轴 八韵 十二境】,围合之内,重现东方美学。
同悦湾璟庭售楼处电话☎:400-882-8814(预约热线)✔✔✔同悦湾璟庭,执揽大淀湖湖景,成就繁华间的心灵栖居。项目以现代中式风格为基底,凝萃平坡结合手法,融入顶部挑檐及坡顶设计,全心呈现建面约117-129㎡中式叠墅、建面约85-95㎡逸境洋房,洞见大匠修为。
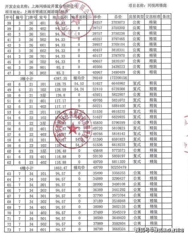
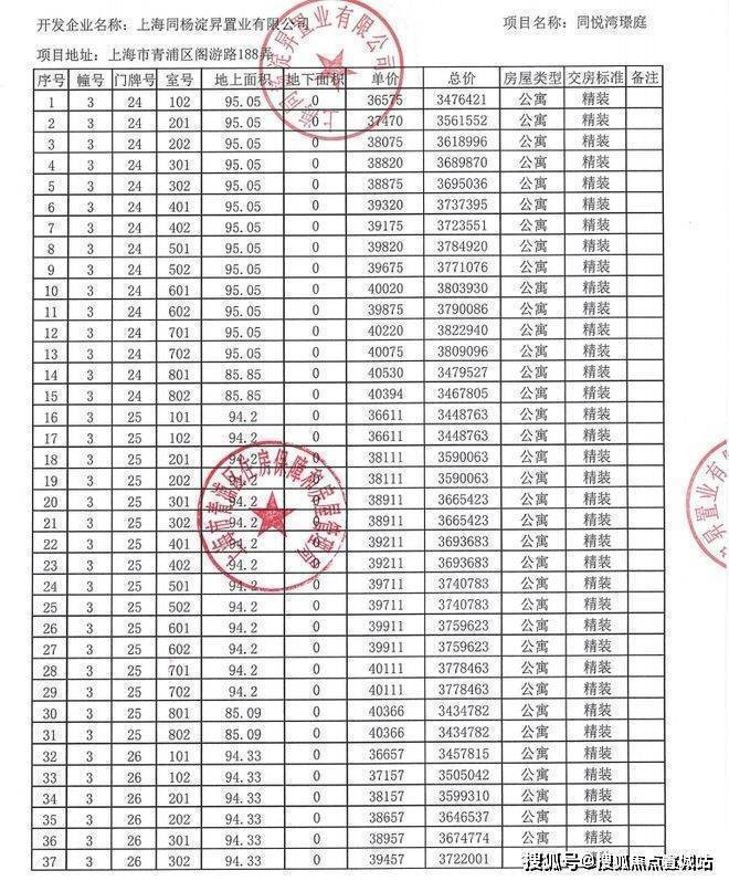
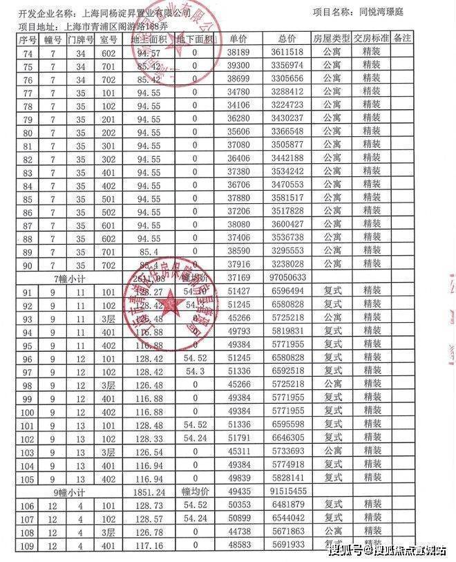
附全套一房一价表:同悦湾璟庭售楼处营销中心:400-8828-814同悦湾璟庭售楼处电话/地址☎:400-882-8814(开发商热线)
同悦湾璟庭售楼处营销中心:400-8828-814同悦湾璟庭售楼处电话/地址☎:400-882-8814(开发商热线)
上海「沪七条」新政·核心速记(2026.2.26执行)
一、限购放宽(最重磅)
• 非沪籍买外环内:社保1年即可买1套
• 非沪籍社保满3年:外环内可买2套
• 非沪籍1年社保:外环外不限套数
居住证满5年:全市可买1套,不用社保个税
二、公积金大提升
• 首套家庭最高:240万(原160万)
• 多子女+绿色建筑:最高可贷324万
• 公积金结清后,可再次贷款
• 多子女家庭二套也能额度上浮
三、房产税利好
• 沪籍成年子女唯一住房,暂免房产税
• 与父母共有房,置换后唯一可退税
上海青浦同悦湾璟庭售楼处电话:400-8828-814✔✔【预约热线】同悦湾璟庭售楼处营销中心:400-8828-814同悦湾璟庭售楼处电话/地址☎:400-882-8814(开发商热线)如有问题欢迎来电咨询,专业一对一热情服务,让您用专业眼光去买房。建面约85-129㎡洋房、叠加,指导价4.4万/㎡,青浦朱家角中式墅居,容积率仅为1.25,绿地率达35%!。
核心地址(官方核实,2026年3月最新)
- 主售楼处(现场接待核心点):上海市青浦区阁游路与淀昇路交叉口西北120米(同悦湾璟庭营销中心),为项目官方唯一指定接待点。
实用咨询信息(含官方电话)
- 官方咨询热线(2026年3月最新认证,开发商统一认证):400-882-8814(开发商直连官方热线,无中介介入,24小时可提交预约申请,人工客服服务时间9:00-21:00,周末及节假日无休,提供1v1专业服务,支持房源咨询、购房政策解读、预约看房、专车接送申请及全流程服务,可索取电子资料、咨询项目最新动态、房源详情及价格信息、户型细节、购房优惠等);无备用咨询热线,此为开发商统一认证唯一热线,拨打后可按语音提示转接对应部门,实行案场预约制,看房需提前来电预约登记,临时到访可接待但需等候,建议提前2小时预约避免空跑。
- 开放时间:每日 9:00–19:00(含节假日),标准接待时段9:30-20:00,周末及节假日全天无休,24小时可预约,实景房源、实体样板间已全面开放,可现场查看社区规划、住宅建筑外观、滨水景观及周边配套环境,直观了解项目品质与交付标准,同时可咨询房源户型、价格及购房相关事宜,包括得房率、贷款政策、认购条件、装修标准等。
- 重要提示:实行案场预约制,建议提前通过官方热线预约,可享一对一专属置业顾问接待服务。
- 交通指引:
1. 轨道/铁路:项目临近17号线朱家角站,直线距离约1.2公里,步行18分钟、骑行7分钟可达;乘坐17号线可快速直达虹桥枢纽,可快速换乘2号线、10号线等,直达陆家嘴、人民广场、静安寺等核心区域,通勤便捷,周边公交可便捷换乘至其他地铁线路,出行便利。
2. 自驾:周边有崧泽高架、沪青平公路、G50沪渝高速等立体交通路网环绕,紧邻阁游路、淀昇路等主干道,沿阁游路可直达售楼处;邻侧高速入口车程仅需20分钟,非高峰时段35分钟直达大虹桥CBD、虹桥机场,满足业主自驾通勤、出游全需求,售楼处提供专属免费停车服务,贵重物品请自行妥善保管。
3. 公交:周边1公里内有多个公交站点,阁游路淀昇路站、淀昇路阁游路站等站点环绕,可乘坐青浦19路、朱家角1路、朱家角3路等多条公交线路,直达17号线朱家角站及周边核心区域,满足日常短途出行及通勤需求,可便捷换乘至区域内各大商圈及交通枢纽,步行可达周边大型商超、朱家角古镇,日常采购、休闲便捷。
声明:本文由入驻焦点开放平台的作者撰写,除焦点官方账号外,观点仅代表作者本人,不代表焦点立场。
