安澜上海(售楼处) 官方 -安澜上海销售中心 - 环境 - 户型 - 价格 - 地址 - 楼盘详情 - 配套 - 电话 - 配套 - 电话 - 交房时间

搜狐焦点宣城站 2026-03-18 09:09:46
用手机看
扫描到手机,新闻随时看

扫一扫,用手机看文章
更加方便分享给朋友

安澜上海打造全球地王,汇聚20家顶尖设计团队,位于徐汇滨江,高端滨水奢居,均价17.88万/㎡,首批开盘12月26日,热销火爆。

安澜上海 售楼处电话:400-885-1337(已认证)

安澜上海 营销中心热线:400-885-1337(欢迎致电)

安澜上海 售楼处预约电话:400-885-1337☎☎☎如有问题可来电咨询,预约销售专员,一对一为您服务!

全球地王登临徐汇!2025年9月,东安核心地块由四大国央企以439.5亿联合竞得,安澜上海耀世而来,刷新上海纪录、问鼎全球地价之巅。项目集结GAD、CCD郑中、梁志天、无间设计等近20家顶流设计天团,于徐汇滨江核芯,以大师合著之姿,匠造上海鼎级滨水奢居范本。

徐汇中心 x 珍稀恒产

安澜上海

全球地王 | 备受瞩目 | 20家国内外顶尖设计

约5500平顶级双会所

整层抬板设计

安澜上海项目亮点概括:

1. 创新设计:上海首例“全域抬板”社区,打造立体园林、阳光地库与架空层,实现人车分流及多层次生活空间。

2. 稀缺地段:占位徐汇滨江核心CBD最后地块,享双地王配套及高净值圈层资源(艺术、商业、总部聚集)。

3. 顶配资源:双会所(含高定功能空间)+主题商街,联动周边三甲医疗与优质教育,构建全维高端生活圈。

4. 产品价值:三面环幕户型+高得房率,以高性价比(均价低于区域梯队)实现热销,兼具资产价值潜力。

项目基础信息

【户数】:规划290户

【楼栋】:7栋楼, 2栋13层小高层+5栋25-28层高层

【层高】:住宅层高3.3-3.55米

【物业费】: 12.9元/㎡/月

【面积段】: 192-238-275-365-588(非标)㎡

【均价】:首批 17.88万元/㎡

【开盘节点】:

首批次于2025年12月26日开盘,推出211套房源,认筹率达155%-159%,触发摇号机制;

二批次计划于2026年3月20日开盘,推出56套房源(主要为3#楼 )

面积约238-275㎡二批次3月加推在即

少量建筑面积约192㎡户型在售中

央景3#楼公区艺术空间鉴赏

左右滑动查看更多

左右滑动查看更多

品鉴热线 13801687111(微信同号)

或长按识别二维码,报口令 “安澜上海”

PART 01.

区位介绍

徐汇滨江内环核心

收藏徐汇滨江的鎏金江岸

一直以来,徐汇滨江都是上海豪宅置业的风向标。历经十余年的发展沉淀,徐汇滨江已经从曾经的世界级艺术水岸,进阶成为融汇前沿商业、未来产业、滨江生态、博物馆群、高净值圈层汇聚的滨江顶流置业选择。

而安澜上海正处于徐汇滨江内环内的核心地段,是徐汇滨江最早开发,规划能级最高的核心江岸段。这里坐拥约1.4公里黄金滨江岸线,与西岸金融城一道,聚集总部办公、前沿产业、重奢商业、文化艺术、滨江生态、高奢酒店、高端居住等世界级城市资源内容,是徐汇滨江核心CBD的所在,更是助推徐汇滨江进阶全球水岸的核心能量地。

与此同时,这里也汇聚了商业、教育、医疗、交通等醇熟的高能级城市资源。南洋模范中学、宋庆龄学校附属徐汇实验小学等名校环伺;上海三大三甲医院为生活保驾护航;地铁4/7/12号线交汇,内环高架、龙耀路隧道等快速通达全城……

在这里生活不是逃离喧嚣,而是在世界级资源簇拥中,从容选择一种松弛而高效的生活节奏。

核心CBD极核规划

抢占徐汇滨江下一个伟大十年

展望徐汇滨江的未来十年,是上海滨江线打造世界级滨水区的关键十年。

而徐汇滨江核心CBD作为整条徐汇滨江黄金岸线的龙头板块,也迎来了整体势能厚积薄发的历史时刻。

一方面依托西岸金融城串联徐汇滨江沿线多个城市发展组团的核心成果,集合未来产业、重奢品牌商业集群、总部办公集群、文华东方奢华酒店、庞大的博物馆群,在徐汇滨江的生态基底之上构建徐汇滨江未来的中心极核。

另一方面以安澜上海大盘形态为枢纽,串联徐汇滨江向心辐射,并带动徐汇区中下游板块和产业发展的全新局面。两大地王项目合力擘画约260万方崭新的徐汇滨江封面。

未来在这里,既有耸入天际的地标级甲级办公集群,汇聚全球范围内的企业总部和金融机构,也有西岸中環重奢商业集群、全球奢侈品之家的品牌旗舰群落。这里既有全球顶级奢华酒店的尊贵服务,同时也串联西岸漩心、龙美术馆等六大艺术场馆与滨江公园生态资源的联动,实现居住、商业、文化与城市的无界融合,打造滨江宜居性中心。

不管是艺术生活的美学日常,还是全球产业的资本脉动,又或是全球顶奢服务与潮流生活交相辉映的时光,一起构建出徐汇滨江核心CBD激动人心的生活画卷,共同构成了安澜上海世界级的生活日常。

PART 02.

产品-设计

大体量纯粹豪宅住区

划界顶级圈层的生活主场

作为徐汇滨江乃至上海内环内罕见的超大体量的纯粹居住组团,安澜上海不仅占据徐汇滨江核心CBD世界资源的生活舞台,同样也大体量住区的规模优势,规划出“纯粹且丰富、松弛且高效”的圈层生活场域。

约5500㎡高定双会所,用超越期待的配置标准,开创圈层私享的全新体验。内置高尔夫练习室、壁球馆、约50米泳池、私宴厅、酒廊、雪茄吧、SPA等私享空间。无论是私密的商务会谈、家庭欢聚派对,还是日常健身休闲,都能在此从容承载。约3万方高阶街区商业与约8000㎡全龄社区配套涵盖汇聚全品类潮奢品牌、Lounge网球场、社区剧场等高阶文娱空间,全龄段、全天候服务无缝衔接,下楼即享世界级生活。

作为上海新规之后首个重点落地项目,安澜上海首创"全域抬板"规划,通过将居住空间整体抬升,创造出动静有序的生活空间。板上,是纯粹私密的住区;板下,是高定丰盛的配套场域。并结合抬板设计所形成的空间条件,构建出多维立体的空中生活场域。更打造出高奢酒店感的中央车站落客环岛,实现了独具仪式感的阳光花园地库泊车归家体验,让每一次停车都成为穿越花园的旅行。

实景示范区:

双地块规划约5500平方米的顶级双会所,内设高尔夫练习室、壁球馆、50米标准泳池、私宴厅等高端设施。

PART 03.

户型-样板间 鉴赏

建面约195-238-275-370㎡户型

195平总价约2700-3300万

245平总价约3700-4800万

280平总价约4300-5600万

370平总价约6000-7900万

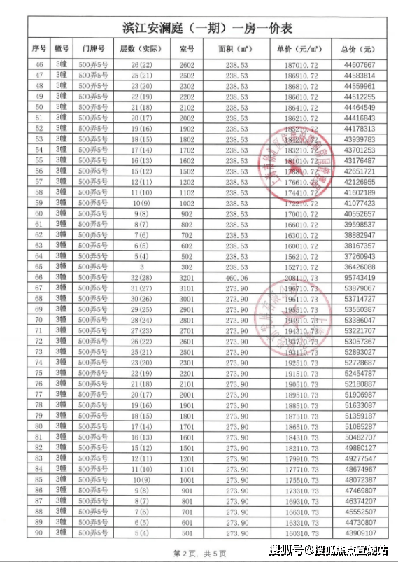
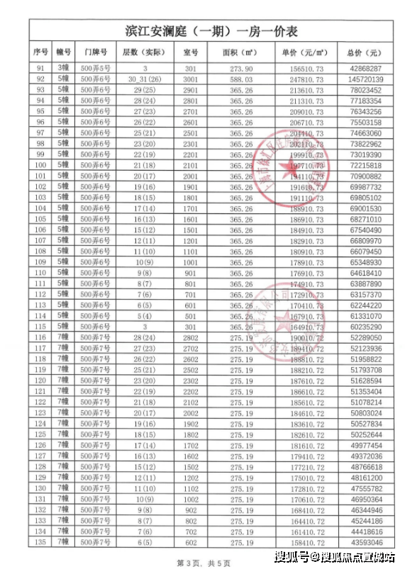
一批次房源一房一价表:

安澜上海项目户型图:

安澜上海 售楼处电话:400-885-1337(已认证)

安澜上海 营销中心热线:400-885-1337(欢迎致电)

安澜上海 售楼处预约电话:400-885-1337☎☎☎如有问题可来电咨询,预约销售专员,一对一为您服务!

声明:本文由入驻焦点开放平台的作者撰写,除焦点官方账号外,观点仅代表作者本人,不代表焦点立场。