中海云邸玖章(售楼处地址) 官方 2026- 中海云邸玖章销售中心 - 环境 - 户型 - 价格 - 地址 - 楼盘详情 - 配套 - 电话 - 交房时间 - 配套 - 电话
扫描到手机,新闻随时看
扫一扫,用手机看文章
更加方便分享给朋友
最新消息,杨浦滨江中海·云邸玖章仅52套104-148㎡3-4房!一房一价表首发!
杨浦滨江新一代豪宅封面之作
中海·云邸玖章
加推南区146套建面约104/148㎡户型
均价11.66万/㎡
千万级收藏“上海一江一河”核心区
历史机遇机遇,错过再无
中海云邸玖章示范区已开放:
1.推广名为“云邸玖章”,备案名为“浩阳云筑”,杨浦房管(2025)预字0000376号。
1.推广名为“云邸玖章”,备案名为“浩阳云筑”,杨浦房管(2025)预字0000308号。
2.本宣传资料为邀请,不作为法定实际要约。
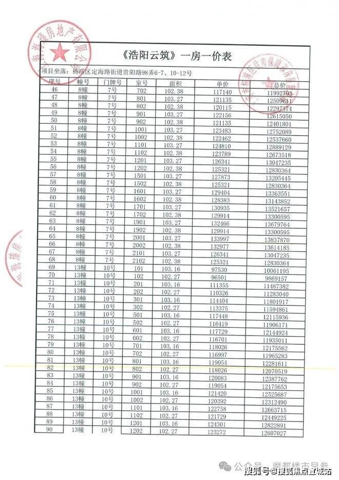
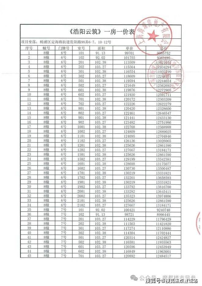
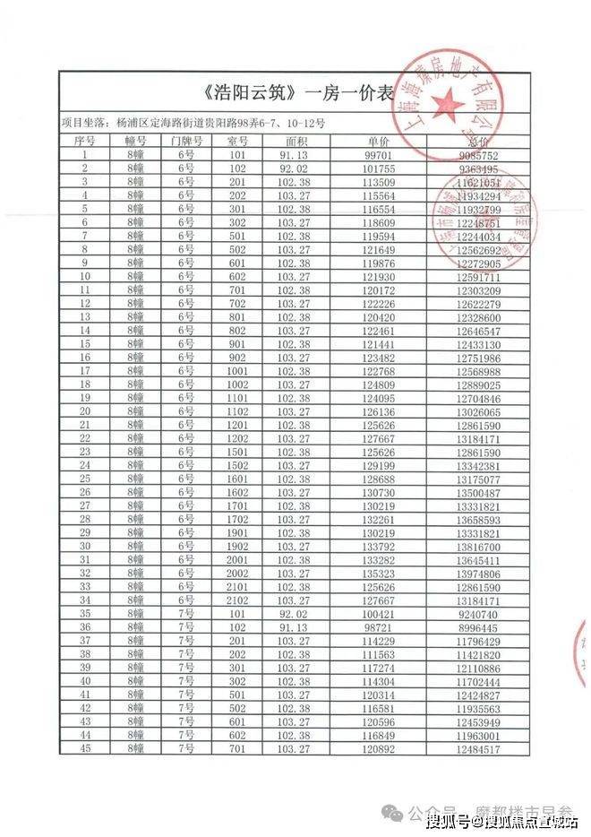
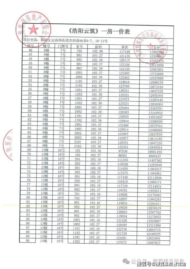
前期一房一价表:
01.基本信息
中海·云邸玖章作为上海滨江豪宅首个“好房子”社区,虽然价格大概率低于顺昌玖里和中海领邸,但仍然直接上了TOP级别的“玖”系产品系。
效果图,仅供参考
项目公区几乎全部对标徐汇滨江的领邸玖章,部分细节甚至还有所提升。
比如南区社区的入口设计。
不仅与领邸玖章保持一致,还升级了环岛式落客区,并且臻选名贵树种,形成独属于云邸玖章的归家仪式感。
效果图,仅供参考
效果图,仅供参考
比如已曝光的社区会所。
更是与徐汇滨江领邸玖章会所一脉相承,聘请领邸玖章原班设计师团队打造。
延续玖章产品定位的同时,调性也直接匹配四五千万的顶豪项目!
效果图,仅供参考
效果图,仅供参考
另外,中海·云邸玖章业在建筑立面、社区大堂、会所、单元大堂、宅间景观等不同维度进行精研。
通过考究的用材用料、松弛的场景感,为生活情境适度的留白,打造恒贵的产品质感。
效果图,仅供参考
效果图,仅供参考
项目南北区各有3幢楼预留架空层设计,,规划各具特色的功能,让业主“0”距离享受丰富多彩的“泛会所”体验。
项目架空层效果图也已曝光,参考中海的兑现力,着实让人充满期待!
02.
推售信息
没抢到中海·云邸玖章首开南区房源的朋友别遗憾。据最新消息,项目3批次房源6月加推南区52套建面约104/148㎡户型,均价11.66万/㎡
加推的10号楼仅13层低密度设计,楼间距达31米+,通透舒适。
10号楼位于小区中央位置,远离缦云高楼以及烟囱,南面视野开阔,内江路更加静谧。
同时毗邻中央花园及西侧阳光大草坪,推窗即景。
而且在更高楼栋7号楼的前方,无遮挡采光优越。
10号楼是北侧入户,步行经过会所与中心庭院,环境优美,且远离车辆出入口,底层无灯光噪音干扰,优雅归家,妥妥的楼王配置!
104㎡户型:26套,经过市场验证的网红户型,无连廊飞机3房户型
148㎡户型:26套,真四房+全明电梯厅+270度转角飘窗+内外双玄关-无敌地毯率王炸户型,此次也是绝版超香价格购入148㎡户型的机会!
声明:本文由入驻焦点开放平台的作者撰写,除焦点官方账号外,观点仅代表作者本人,不代表焦点立场。
