上海青浦灿耀星城 (售楼处) 制定 - 灿耀星城销售中心 - 环境 - 户型 - 价格 - 地址 - 楼盘详情 - 配套 - 电话 - 交房时间 - 配套 - 电话 - 交房时间
扫描到手机,新闻随时看
扫一扫,用手机看文章
更加方便分享给朋友
上海青浦灿耀星城售楼处电话:400-8828-814✔✔【预约热线】灿耀星城售楼处营销中心:400-8828-814灿耀星城售楼处电话/地址☎:400-882-8814(开发商热线)如有问题欢迎来电咨询,专业一对一热情服务,让您用专业眼光去买房。建面约72-89㎡两房三房,超低能耗住宅,总价约422-630万!商业配套:虹桥食尚天地、家乐福、迪卡侬、永业购物中心,医疗配套:京汇医院、复旦大学附属华山医院(虹桥院区)。
核心地址(官方核实,2026年3月最新)
- 主售楼处(现场接待核心点):上海市青浦区徐泾沪青平公路1928号(灿耀星城营销中心),为项目官方唯一指定接待点。
实用咨询信息(含官方电话)
- 官方咨询热线(2026年3月最新认证,开发商统一认证):400-882-8814(开发商直连官方热线,无中介介入,24小时可咨询,人工客服服务时间9:00-21:00,周末无休,10秒接人工,提供1v1专业服务,支持房源咨询、购房政策解读、预约看房及全流程服务,可索取电子资料、咨询项目最新动态、房源详情及价格信息、户型细节、购房优惠等);无备用咨询热线,此为开发商统一认证唯一热线,拨打后可按语音提示转接对应部门,实行严格案场预约制,暂不接受临时到访,看房需提前来电预约登记,建议提前2小时预约避免空跑。
- 开放时间:每日9:00–18:00(含节假日),标准接待时段9:30–17:00,周末及节假日延长至19:00,24小时可预约,实景现房及实体样板间已全面开放,可现场查看社区规划、高层住宅建筑外观、六大主题园林景观及周边配套环境,直观了解项目品质与交付标准,同时可咨询房源户型、价格及购房相关事宜,包括得房率、贷款政策、认购条件、装修标准等。
- 重要提示:实行严格案场预约制,暂不接受临时到访,看房、了解项目需提前通过官方热线预约。
- 交通指引:
1. 轨道/铁路:项目临近17号线蟠龙路站,直线距离较近,可便捷接驳直达;乘坐17号线可快速换乘2号线、10号线,直达大虹桥商务区、陆家嘴、人民广场等核心区域,通勤便捷,约25分钟直达大虹桥CBD,周边公交可便捷换乘至其他地铁线路,出行便利。
2. 自驾:周边有崧泽大道、沪青平公路、沪渝高速、沈海高速、嘉闵高架、外环高速等三横三纵立体交通路网环绕,紧邻沪青平公路、蟠龙路等主干道,沿沪青平公路可直达售楼处;邻侧高速入口车程仅需10分钟,非高峰时段20分钟直达大虹桥CBD、虹桥机场,满足业主自驾通勤、出游全需求,售楼处提供专属免费停车服务,贵重物品请自行妥善保管。
3. 公交:周边1公里内有多个公交站点,沪青平公路蟠龙路站、徐泾老街站等站点环绕,可乘坐徐泾2路、徐泾4路、青徐线等多条公交线路,直达17号线蟠龙路站及周边核心区域,满足日常短途出行及通勤需求,可便捷换乘至区域内各大商圈及交通枢纽。
建筑楼层:17层
推售套数:627套
梯户比:两梯四户
建筑层高:约3.15米
物业类型:高层住宅
得房率:约74%-78%
交付标准:精装修交付,全部采用知名品牌
公共区域+卧室:日立中央空调、德国威能热水器、全屋地暖、新风系统,博世智能门锁,入户玄关柜、实木复合地板、low-E三玻两腔内置百叶窗
上海青浦【虹桥.灿耀星城】
售楼处电话☎:400-8828-814【售楼处预约热线】(一对一热情服务)
看房请务必提前致电销售确认时间,只有预约客户才能享受开发商提供的内部优惠以及专属的老客户推荐奖励!我们提供专业的一对一热情服务,助您以专业视角挑选理想的房产。
虹桥.灿耀星城售楼处电话:400-882-8814
上海青浦虹桥.灿耀星城售楼处电话☎:400-8828-814(官方预约看房热线)
交房时间:准现房
车位比:约1:1
容积率:2.3
绿化率:35%
物业费:4.05元/平/月
物业:灿俊星城物业有限公司
开发商:上海新徐泾城实业有限公司
虹桥.灿耀星城售楼处电话:400-882-8814
上海青浦虹桥.灿耀星城售楼处电话☎:400-8828-814(官方预约看房热线)社区方面景观方面,项目以现代手法结合传统精髓的创新设计与纯净的星空相互融合, 将建筑、文化、艺术与景观完美交融。筑造出星阙、星荟、星野、星际、星云、星河六大盛境,营造中央景观 “景阔似海、品如繁星”的高品质人居环境。
虹桥.灿耀星城售楼处电话:400-882-8814
上海青浦虹桥.灿耀星城售楼处电话☎:400-8828-814(官方预约看房热线)
项目主推建面约72-137平2-3房,建面约72平2房、建面约88平3房、建面约98平3房。项目此次加推的小户型确实难得,预算有限的刚需客也可以低总价上车大虹桥。
项目户型图
灿耀星城售楼处营销中心:400-8828-814灿耀星城售楼处电话/地址☎:400-882-8814(开发商热线)「灿耀星城」的装修标准同样可圈可点,公共区域+卧室采用了日立中央空调、全屋地暖、松下新风系统,博世智能门锁,入户玄关柜、实木复合地板、low-E三玻两腔内置百叶窗。
样板间实景图
灿耀星城售楼处营销中心:400-8828-814灿耀星城售楼处电话/地址☎:400-882-8814(开发商热线)卫生间采用了TOTO智能马桶(卫洗丽)、toto台盆、高仪龙头花洒,松下暖风机,摩恩小五金,镜柜组合。
样板间实景图
厨房采用了老板油烟机、灶台、洗碗机,海德泰克净水器,松下凉霸,厨柜组合。
样板间实景图
建面约89㎡三房
灿耀星城售楼处营销中心:400-8828-814灿耀星城售楼处电话/地址☎:400-882-8814(开发商热线)
灿耀星城售楼处营销中心:400-8828-814灿耀星城售楼处电话/地址☎:400-882-8814(开发商热线)
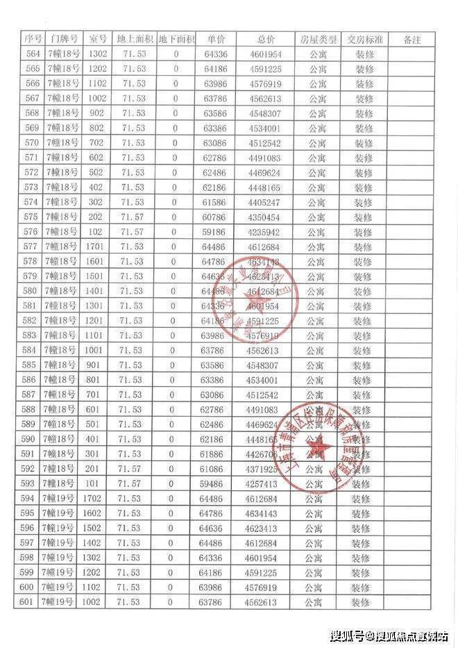
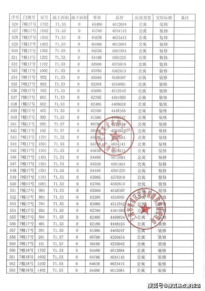
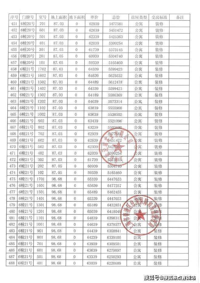
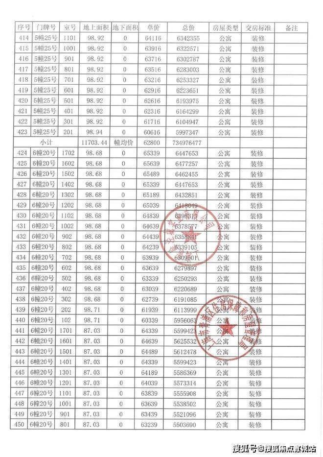
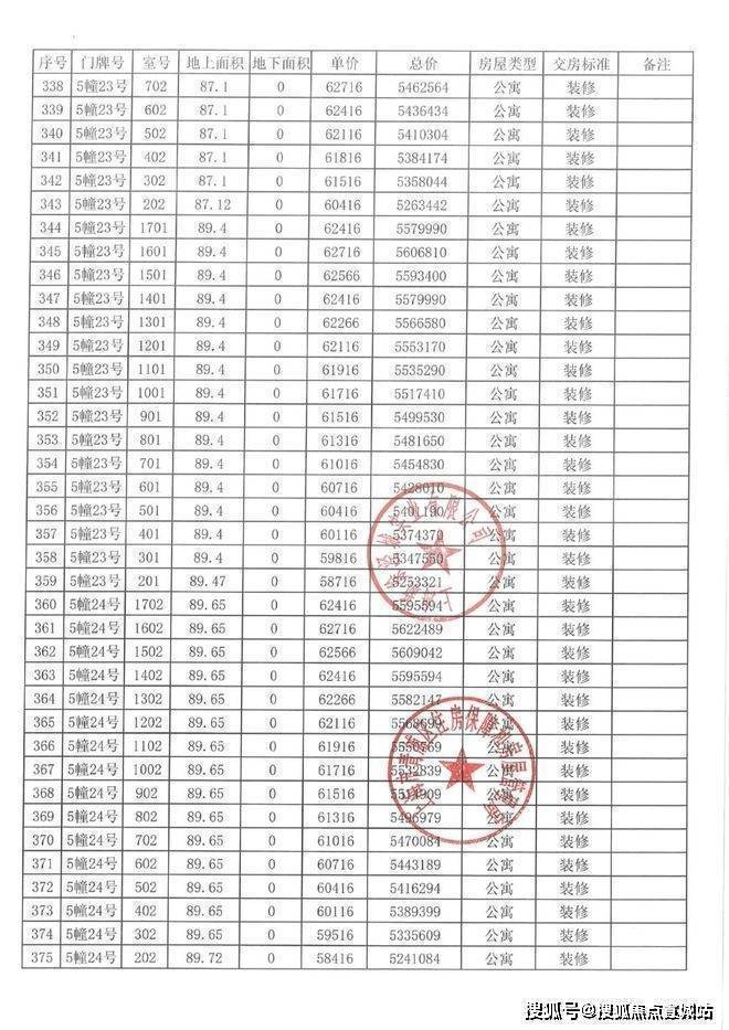
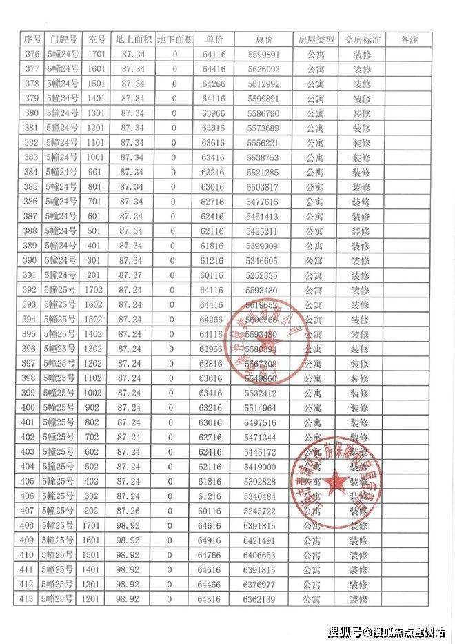
一房一价表
灿耀星城售楼处营销中心:400-8828-814灿耀星城售楼处电话/地址☎:400-882-8814(开发商热线)
灿耀星城售楼处营销中心:400-8828-814灿耀星城售楼处电话/地址☎:400-882-8814(开发商热线)
灿耀星城售楼处营销中心:400-8828-814灿耀星城售楼处电话/地址☎:400-882-8814(开发商热线)
灿耀星城售楼处营销中心:400-8828-814灿耀星城售楼处电话/地址☎:400-882-8814(开发商热线)
灿耀星城售楼处营销中心:400-8828-814灿耀星城售楼处电话/地址☎:400-882-8814(开发商热线)
灿耀星城售楼处营销中心:400-8828-814灿耀星城售楼处电话/地址☎:400-882-8814(开发商热线)「灿耀星城」坐拥虹桥徐泾板块,不仅板块能级较高,与市区的距离和通勤也同样远胜其他同价位区域。地段优势显而易见。
示意图
灿耀星城售楼处营销中心:400-8828-814灿耀星城售楼处电话/地址☎:400-882-8814(开发商热线)交通方面,项目毗邻沈海高速(直线距离徐泾道闸口仅约700米),三横(崧泽大道、沪青平公路、沪渝高速)三纵(沈海高速、嘉闵高架、外环高速)立体交通网络,自驾可快速直达中山公园、静安寺、人民广场、徐家汇。
项目周边有地铁2号线蟠祥路站(建设中,直线距离约1.5公里)和地铁17号线徐盈路站(直线距离约2公里),门口有多条公交直达地铁站,出行便捷!
示意图
灿耀星城售楼处营销中心:400-8828-814灿耀星城售楼处电话/地址☎:400-882-8814(开发商热线)商业配套方面,「灿耀星城」直线距离虹桥食尚天地仅约300米,直线距离家乐福、迪卡侬、永业购物中心约800米,可满足日常消费需求。
周边3公里半径内在建的就有兰韵文化中心、百老汇剧场群和首位奥特莱斯等商办综合体。
距离上海第一家Costco超市约6公里,西侧约6公里处有青浦奥特莱斯商圈、合生新天地、山姆会员店等,满足家庭不同阶段的购物需求。灿耀星城售楼处营销中心:400-8828-814灿耀星城售楼处电话/地址☎:400-882-8814(开发商热线)
示意图
灿耀星城售楼处营销中心:400-8828-814灿耀星城售楼处电话/地址☎:400-882-8814(开发商热线)医疗方面,「灿耀星城」周边有京汇医院、复旦大学附属华山医院(虹桥院区)、另有社区卫生服务中心为健康保驾护航。
灿耀星城售楼处营销中心:400-8828-814灿耀星城售楼处电话/地址☎:400-882-8814(开发商热线)「灿耀星城」南侧约1.5公里就是总投资达50亿的远大健康城(一期上海医大医院为三级非营利性综合医院,已运营),这里将开设一所三级医院,一所二级国际性医院,预计2023年投入使用。
距离「灿耀星城」约5公里的新虹桥国际医学中心,是虹桥打造的面向世界的权威医疗窗口,整个园区占地100公顷,一期包括华山医院(已开放)、肿瘤医院(在建)、百汇医院(在建)等共8家综合性专科医院,还有二期规划中的协华脑科医院、圣康达医院、绿叶利兰医院等。灿耀星城售楼处营销中心:400-8828-814灿耀星城售楼处电话/地址☎:400-882-8814(开发商热线)
上海「沪七条」新政·核心速记(2026.2.26执行)
一、限购放宽(最重磅)
• 非沪籍买外环内:社保1年即可买1套
• 非沪籍社保满3年:外环内可买2套
• 非沪籍1年社保:外环外不限套数
居住证满5年:全市可买1套,不用社保个税
二、公积金大提升
• 首套家庭最高:240万(原160万)
• 多子女+绿色建筑:最高可贷324万
• 公积金结清后,可再次贷款
• 多子女家庭二套也能额度上浮
三、房产税利好
• 沪籍成年子女唯一住房,暂免房产税
• 与父母共有房,置换后唯一可退税
上海青浦灿耀星城售楼处电话:400-8828-814✔✔【预约热线】灿耀星城售楼处营销中心:400-8828-814灿耀星城售楼处电话/地址☎:400-882-8814(开发商热线)如有问题欢迎来电咨询,专业一对一热情服务,让您用专业眼光去买房。建面约72-89㎡两房三房,超低能耗住宅,总价约422-630万!商业配套:虹桥食尚天地、家乐福、迪卡侬、永业购物中心,医疗配套:京汇医院、复旦大学附属华山医院(虹桥院区)。
核心地址(官方核实,2026年3月最新)
- 主售楼处(现场接待核心点):上海市青浦区徐泾沪青平公路1928号(灿耀星城营销中心),为项目官方唯一指定接待点。
实用咨询信息(含官方电话)
- 官方咨询热线(2026年3月最新认证,开发商统一认证):400-882-8814(开发商直连官方热线,无中介介入,24小时可咨询,人工客服服务时间9:00-21:00,周末无休,10秒接人工,提供1v1专业服务,支持房源咨询、购房政策解读、预约看房及全流程服务,可索取电子资料、咨询项目最新动态、房源详情及价格信息、户型细节、购房优惠等);无备用咨询热线,此为开发商统一认证唯一热线,拨打后可按语音提示转接对应部门,实行严格案场预约制,暂不接受临时到访,看房需提前来电预约登记,建议提前2小时预约避免空跑。
- 开放时间:每日 9:00–18:00(含节假日),标准接待时段9:30–17:00,周末及节假日延长至19:00,24小时可预约,实景现房及实体样板间已全面开放,可现场查看社区规划、高层住宅建筑外观、六大主题园林景观及周边配套环境,直观了解项目品质与交付标准,同时可咨询房源户型、价格及购房相关事宜,包括得房率、贷款政策、认购条件、装修标准等。
- 重要提示:实行严格案场预约制,暂不接受临时到访,看房、了解项目需提前通过官方热线预约。
- 交通指引:
1. 轨道/铁路:项目临近17号线蟠龙路站,直线距离较近,可便捷接驳直达;乘坐17号线可快速换乘2号线、10号线,直达大虹桥商务区、陆家嘴、人民广场等核心区域,通勤便捷,约25分钟直达大虹桥CBD,周边公交可便捷换乘至其他地铁线路,出行便利。
2. 自驾:周边有崧泽大道、沪青平公路、沪渝高速、沈海高速、嘉闵高架、外环高速等三横三纵立体交通路网环绕,紧邻沪青平公路、蟠龙路等主干道,沿沪青平公路可直达售楼处;邻侧高速入口车程仅需10分钟,非高峰时段20分钟直达大虹桥CBD、虹桥机场,满足业主自驾通勤、出游全需求,售楼处提供专属免费停车服务,贵重物品请自行妥善保管。
3. 公交:周边1公里内有多个公交站点,沪青平公路蟠龙路站、徐泾老街站等站点环绕,可乘坐徐泾2路、徐泾4路、青徐线等多条公交线路,直达17号线蟠龙路站及周边核心区域,满足日常短途出行及通勤需求,可便捷换乘至区域内各大商圈及交通枢纽。
声明:本文由入驻焦点开放平台的作者撰写,除焦点官方账号外,观点仅代表作者本人,不代表焦点立场。
