中企云萃森林(售楼处) 官方 -中企云萃森林销售中心 - 环境 - 户型 - 价格 - 地址 - 楼盘详情 - 配套 - 电话 - 配套 - 电话 - 交房时间

搜狐焦点宣城站 2026-03-09 11:36:03
用手机看
扫描到手机,新闻随时看

扫一扫,用手机看文章
更加方便分享给朋友

中企·云萃森林位于前滩,均价10.5万元/㎡,主打90-175㎡户型,现热销,但因开发商口碑和品质问题,客户观望。

中企云萃森林

中企云萃森林售楼处电话:400-8851-337

【售楼处预约热线】(一对一热情服务)

看房请务必致电与销售确认时间,仅预约客户可享受开发商内部优惠,专属新房预约奖!

最新消息,前滩南·三林滨江新一代国际住区「中企·云萃森林」正在热销!在售约90-175㎡2-4最新消息

前滩南·三林滨江新一代国际住区

「中企·云萃森林」正在热销

在售约90-175㎡2-4房

均价10.5万元/㎡

目前上海整体的新房市场不是太理想,但去化需要周期,中企·云萃森林地段来说没有什么问题,离前滩也非常近,房子品质也过得去,唯一的是市场行情原因,所以导致卖不动的原因。

中企·云萃森林优点: 位于三林滨江版块,离前滩一路之隔,区域地理位置优越,到黄浦江、前滩、徐汇滨江、及黄浦也非常方便。

缺点: 中企是上海中华集团旗下企业,近两年的负面新闻比较多,交房的品质不尽人意,加上装修也达不到预期的标准,所以很多客户看中地段,但不会买这个项目。

本项目推广名为“中企·云萃森林”,政府备案名为“云林名邸”;开发公司为:上海淞泽置业有限公司。本项目不动产权证号:沪(2025)浦字不动产权第043459号;沪(2025)浦字不动产权第043466号。本资料为要约邀请,不作为要约或承诺。相关宣传内容不排除因政府相关规划、规定、未能控制等原因而发生变化。出卖人可能会不定期对宣传材料进行修改。买卖双方的权利义务以双方签订的《上海市商品房出售合同》及其补充协议、附件等书面文件为准。本资料所发布的内容为2025年10月的信息,敬请留意最新资料。以上内容如有涉及第三方知识产权或其他权利,可进行删除。

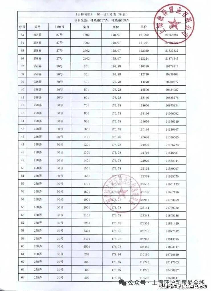
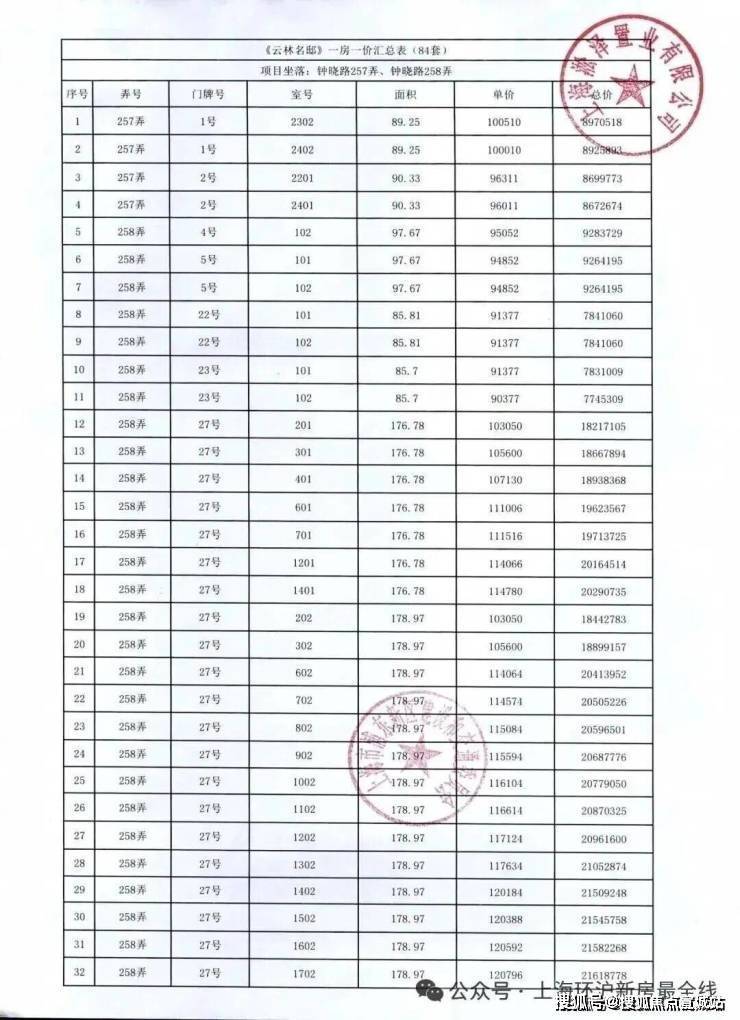
前期「一房一价表发布」

01.

基本信息

2021年10月,中华企业&世博土控联合体以121.96亿,拿下东区9个单元的其中4幅住宅用地开发权【即中企云萃森林】,总建筑面积约19.42万方。

这4副地块分别是三林楔形绿地东区(含部分配套开发用地)15号(05-11,住宅)、17号(05-14,住宅)、19号(06-07,商业)、20号(08-02,住宅)。

东区:

东区的多块空地为动迁房,主要集中在南北两侧,地块容积率最低也有1.8,甚至能看到不少容积率在2.5左右的宅地。因此,未来东区住宅大概率以高层为主要住宅形式。

东区和西区最大的不同在于教育和公建设施配套,东区人口更密集,有5幅教育用地,从幼儿园至初中;而西区仅有1幅教育用地,作为幼儿园。

建成效果图如下:

05-11丶05-14这两块地的规划设计已经公示:2个都是高层住宅社区,开发商为中华企业。

建设单位:上海淞泽置业有限公司

项目名称:三林楔形绿地(含部分配套开发用地)15号(05-11)地块项目

容积率:2.3

绿地率:35%

控制高度:45m,局部80m

建设内容:该地块拟建8-25层中高层住宅,以及配套公建用房

用地面积:27717.6㎡

总建筑面积:约92121.1㎡

其中地上建筑面积:66945.4㎡、地下建筑面积:约25175.7㎡

建设单位:上海淞泽置业有限公司

项目名称:三林楔形绿地(含部分配套开发用地)17号(05-14)地块项目

容积率:2.5

绿地率:35%

控制高度:60m,局部80m

建设内容:该地块拟建7-24层中高层住宅,以及配套公建用房

用地面积:25753.9㎡

总建筑面积:约102148㎡

其中地上建筑面积:67572㎡、地下建筑面积:约34576㎡

02.

推售信息

据悉楼盘销售总监描述, 中企·云萃森林 目前在售建面 约90㎡、98㎡、123㎡、175㎡2-4房 ,均价10.5万/㎡,少量房源,臻稀递减中。

在售户型如下:

A户型建面约98㎡3房

B户型建面约125㎡4房

D户型建面约90㎡2房

三期G/H户型建面约175㎡4房

J/K户型建面约90㎡2房

项目在售户型图发布:

识别二维码

进入“ 中企·云萃森林 官方 ” 看房通道

案场销售会第一时间与您联系

预约后请耐心等待案场销售联系

目前 预约看房 客户 确保底价购房 额外有团购大礼

附项目最新高清效果过程稿:

03.

周边配套

继前滩之后,黄浦江边又将诞生一个新版块!

三林前滩南滨江,它值得全上海关注。

有人说,这是黄浦江核心段最后的“成片开发”;有人说,这是中心城区最生态的板块;有人说,这是离前滩最近、关联最紧密的板块;也有人说,这里会是上海真正的新一代国际社区。这些说法是否准确暂且不论;但足以见得这个板块的关注度和巨大潜力。

它位于上海黄浦江核心段一线:北至前滩,南至筠溪小镇,西至黄浦江,东至南北高架-济阳路。

这里又称“真·前滩南”。之所以加个“真”,是因为前两年很多媒体给浦江镇、甚至奉贤区的新盘打广告时都自称为“前滩南”,企图蹭前滩的热度。

而前滩南滨江是紧贴着前滩的南面,二者的分界线就是中环路的道路中心线,是真正的“0”距离。

前滩南区位示意图

前滩是上海炙手可热的中央商务区,拥有超过350万方的建筑量,汇集众多外资企业。

而前滩南滨江,与前滩的规划定位、功能、风格、开发主体都截然不同。

一个是中央商务区,一个是楔形绿地;

一个是金融办公功能,一个是生态宜居功能;

一个是车水马龙,一个是宁静致远;

一个是浦东主导开发(陆家嘴集团),一个是市里主导开发(上海地产集团)……

当年前滩南滨江编制规划时提出的规划设计理念是:“进一步都市繁华,退一步田园悠然。”

前滩南滨江规划示意图

最近几年,因为前滩板块的热度,逐渐让它成为了上海楼市的“暴风中心”,但是却逐渐被购房者忽视了它隶属于三林板块。

而三林板块属于浦东区的3大单元中的陆家嘴-世博单元。(浦东新区的中心城区被规划分为三个单元:陆家嘴-世博单元规划、张江单元规划、金桥-外高桥单元规划。)

陆家嘴-世博单元包括陆家嘴和世博-前滩,这两块属于上海的中央活动区,还包括花木-龙阳路城市副中心,以及洋泾、北蔡、三林等热点地区。

【陆家嘴-世博单元范围】

随着前滩板块的日益满负荷和板块成熟,三林承接了部分住房需求的外溢。

三林板块原本就是因为价格的亲民,而被很多刚需客、新上海人上车的优选地,三林板块也连续多年成为上海各大板块中二手房成交大区。

一般在浦东世博板块或人民广场附近上班的人为了通勤方便会把家安在这里。

因为三林是浦东区距离市中心最近的区域。不仅轨交发达,自驾也非常便捷。

整个区域内有8/11/6号线横穿而过,在板块内部设置了凌兆新村站、三林站、三林东站和浦三路站,但是6号线灵岩路南站、上南路站、华夏西路站基本上也会利好到一部分三林板块的居民。

轨交示意图

项目位置就在浦东新区前滩南的钟晓路近润林路,距离在建的19号线凌兆新村站直线仅约150米左右:

中企云萃森林所处的三林滨江东区,将建设成为三林地区的地区级公共中心,海派现代的综合宜居社区,不仅满足当地居民的动迁安置和配套需求,还能为整个三林地区提供公共服务。

交通配套方面 ,三林滨江本身就具有优越的大交通区位,整个板块紧邻中环连接陆家嘴、世博、前滩的滨江主干路从片区中部穿过,大幅增强了三林滨江与黄浦江东岸主要功能区的连通性。

图源网络

8号线已经通车并运营多年,于三林滨江设有凌兆新村站,未来在这里还将能与在建中的19号线进行换乘!而该站点便在中企·云萃森林小区门口,妥妥的正三轨交盘。

板块内还有机场联络线在建和26号线规划中以及BRT中运量的公共交通线路。

区位示意图

区域内的商业配套本就十分丰富。

项目北侧便是前滩,对于中企·云萃森林的业主来说:太古里、晶耀前滩、太古汇(在建中),信德文化中心(在建中)香格里拉、四方城(在建中)等,今后都在业主的生活圈内。同时项目本身也是一个集商业、时尚休闲、文娱生活、生态人居为一体的大型TOD综合体,下楼即享繁华配套。

图源网络

教育资源方面 ,东区已经确定有5幅教育用地规划,涵盖幼儿园至初中!

不论是地段还是配套能级,中企·云萃森林所在的三林滨江毫不逊色!

最新消息

前滩南·三林滨江新一代国际住区

「中企·云萃森林」正在热销

在售约90-175㎡2-4房

均价10.5万元/㎡

中企云萃森林

声明:本文由入驻焦点开放平台的作者撰写,除焦点官方账号外,观点仅代表作者本人,不代表焦点立场。