灿耀星城 (官方售楼处) 上海青浦灿耀星城官网 - 灿耀星城销售中心 - 环境 - 户型 - 价格 - 地址 - 配套 - 电话 - 交房时间 - 配套 - 电话 - 交房时间
扫描到手机,新闻随时看
扫一扫,用手机看文章
更加方便分享给朋友
上海青浦灿耀星城售楼处电话:400-8828-814✔✔【预约热线】灿耀星城售楼处营销中心:400-8828-814灿耀星城售楼处电话/地址☎:400-882-8814(开发商热线)如有问题欢迎来电咨询,专业一对一热情服务,让您用专业眼光去买房。建面约72-89㎡两房三房,超低能耗住宅,总价约422-630万!商业配套:虹桥食尚天地、家乐福、迪卡侬、永业购物中心,医疗配套:京汇医院、复旦大学附属华山医院(虹桥院区)。
专业一对一顾问:解答房价特价、优惠政策、在售房源等疑问,用专业眼光帮你选房
预约福利:提前预约可享售楼处专车接送、优先选房权、专属购房优惠
资料获取:来电即送楼盘图、沙盘图、位置图、配套图全套资料,助你全面了解项目
☎☎房价特价信息丨优惠政策丨详细解答丨在售房源丨在售户型图丨项目介绍
周边配套丨VR看房丨楼盘图丨沙盘图丨位置图丨配套图丨售楼处地址丨足不出户
建筑楼层:17层
推售套数:627套
梯户比:两梯四户
建筑层高:约3.15米
物业类型:高层住宅
得房率:约74%-78%
交付标准:精装修交付,全部采用知名品牌
公共区域+卧室:日立中央空调、德国威能热水器、全屋地暖、新风系统,博世智能门锁,入户玄关柜、实木复合地板、low-E三玻两腔内置百叶窗
上海青浦【虹桥.灿耀星城】
售楼处电话☎:400-8828-814【售楼处预约热线】(一对一热情服务)
看房请务必提前致电销售确认时间,只有预约客户才能享受开发商提供的内部优惠以及专属的老客户推荐奖励!我们提供专业的一对一热情服务,助您以专业视角挑选理想的房产。
虹桥.灿耀星城售楼处电话:400-882-8814
上海青浦虹桥.灿耀星城售楼处电话☎:400-8828-814(官方预约看房热线)
交房时间:准现房
车位比:约1:1
容积率:2.3
绿化率:35%
物业费:4.05元/平/月
物业:灿俊星城物业有限公司
开发商:上海新徐泾城实业有限公司
虹桥.灿耀星城售楼处电话:400-882-8814
上海青浦虹桥.灿耀星城售楼处电话☎:400-8828-814(官方预约看房热线)社区方面景观方面,项目以现代手法结合传统精髓的创新设计与纯净的星空相互融合, 将建筑、文化、艺术与景观完美交融。筑造出星阙、星荟、星野、星际、星云、星河六大盛境,营造中央景观 “景阔似海、品如繁星”的高品质人居环境。
虹桥.灿耀星城售楼处电话:400-882-8814
上海青浦虹桥.灿耀星城售楼处电话☎:400-8828-814(官方预约看房热线)
项目主推建面约72-137平2-3房,建面约72平2房、建面约88平3房、建面约98平3房。项目此次加推的小户型确实难得,预算有限的刚需客也可以低总价上车大虹桥。
项目户型图
灿耀星城售楼处营销中心:400-8828-814灿耀星城售楼处电话/地址☎:400-882-8814(开发商热线)「灿耀星城」的装修标准同样可圈可点,公共区域+卧室采用了日立中央空调、全屋地暖、松下新风系统,博世智能门锁,入户玄关柜、实木复合地板、low-E三玻两腔内置百叶窗。
样板间实景图
灿耀星城售楼处营销中心:400-8828-814灿耀星城售楼处电话/地址☎:400-882-8814(开发商热线)卫生间采用了TOTO智能马桶(卫洗丽)、toto台盆、高仪龙头花洒,松下暖风机,摩恩小五金,镜柜组合。
样板间实景图
厨房采用了老板油烟机、灶台、洗碗机,海德泰克净水器,松下凉霸,厨柜组合。
样板间实景图
建面约89㎡三房
灿耀星城售楼处营销中心:400-8828-814灿耀星城售楼处电话/地址☎:400-882-8814(开发商热线)
灿耀星城售楼处营销中心:400-8828-814灿耀星城售楼处电话/地址☎:400-882-8814(开发商热线)
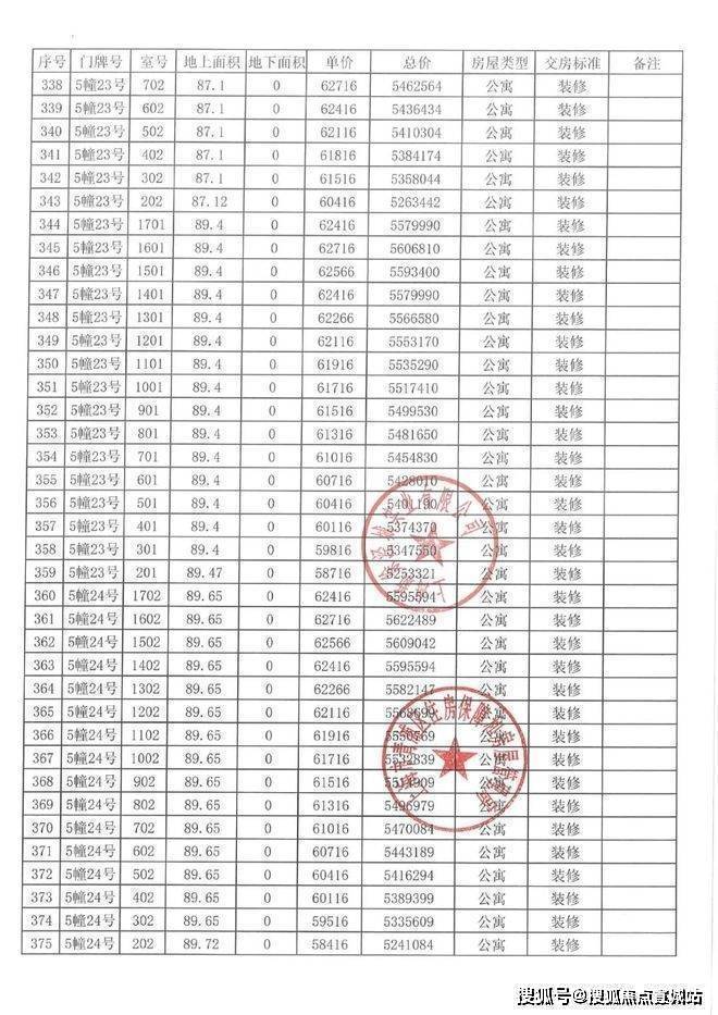
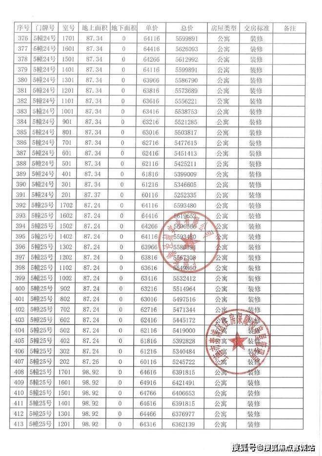
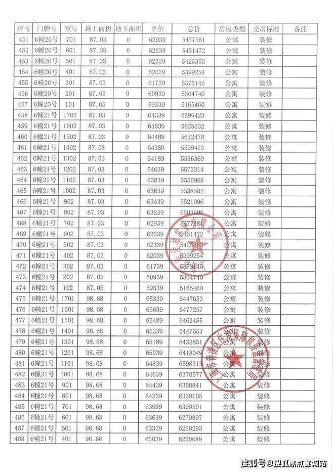
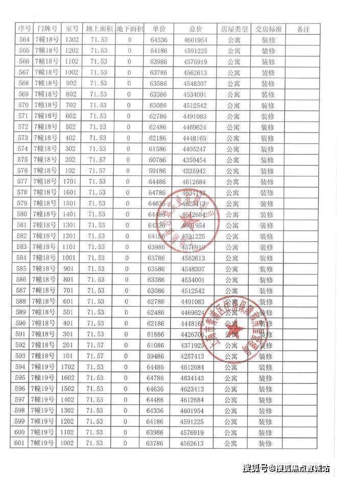
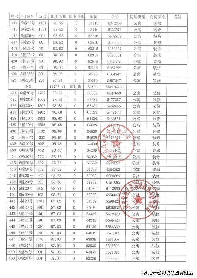
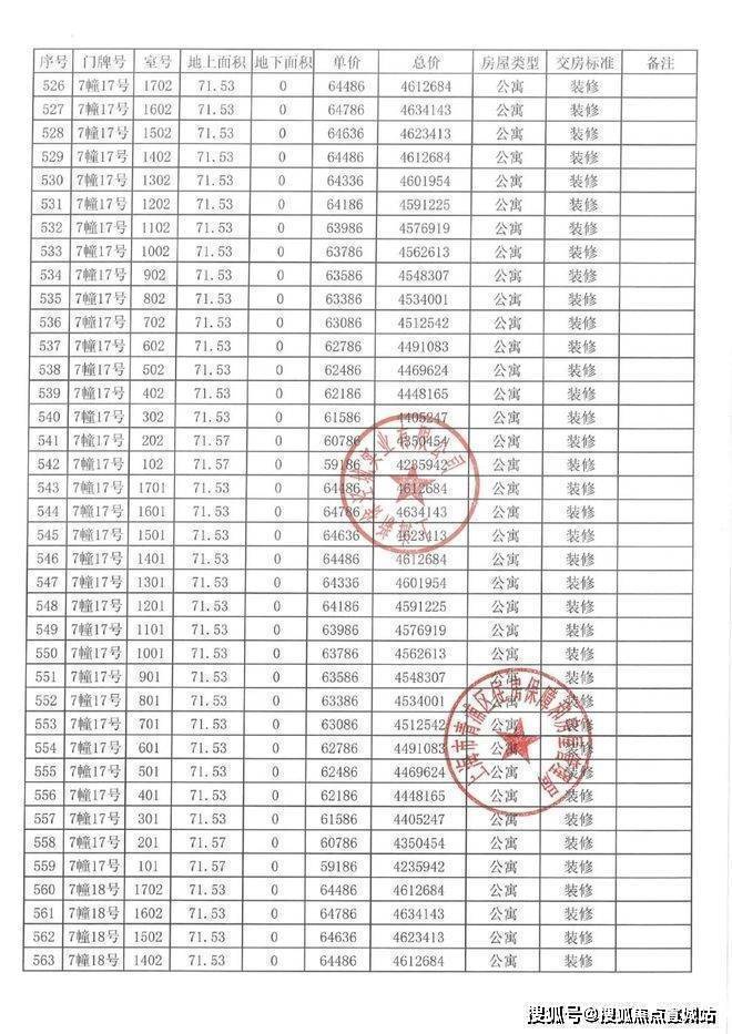
一房一价表
灿耀星城售楼处营销中心:400-8828-814灿耀星城售楼处电话/地址☎:400-882-8814(开发商热线)
灿耀星城售楼处营销中心:400-8828-814灿耀星城售楼处电话/地址☎:400-882-8814(开发商热线)
灿耀星城售楼处营销中心:400-8828-814灿耀星城售楼处电话/地址☎:400-882-8814(开发商热线)
灿耀星城售楼处营销中心:400-8828-814灿耀星城售楼处电话/地址☎:400-882-8814(开发商热线)
灿耀星城售楼处营销中心:400-8828-814灿耀星城售楼处电话/地址☎:400-882-8814(开发商热线)
灿耀星城售楼处营销中心:400-8828-814灿耀星城售楼处电话/地址☎:400-882-8814(开发商热线)「灿耀星城」坐拥虹桥徐泾板块,不仅板块能级较高,与市区的距离和通勤也同样远胜其他同价位区域。地段优势显而易见。
示意图
灿耀星城售楼处营销中心:400-8828-814灿耀星城售楼处电话/地址☎:400-882-8814(开发商热线)交通方面,项目毗邻沈海高速(直线距离徐泾道闸口仅约700米),三横(崧泽大道、沪青平公路、沪渝高速)三纵(沈海高速、嘉闵高架、外环高速)立体交通网络,自驾可快速直达中山公园、静安寺、人民广场、徐家汇。
项目周边有地铁2号线蟠祥路站(建设中,直线距离约1.5公里)和地铁17号线徐盈路站(直线距离约2公里),门口有多条公交直达地铁站,出行便捷!
示意图
灿耀星城售楼处营销中心:400-8828-814灿耀星城售楼处电话/地址☎:400-882-8814(开发商热线)商业配套方面,「灿耀星城」直线距离虹桥食尚天地仅约300米,直线距离家乐福、迪卡侬、永业购物中心约800米,可满足日常消费需求。
周边3公里半径内在建的就有兰韵文化中心、百老汇剧场群和首位奥特莱斯等商办综合体。
距离上海第一家Costco超市约6公里,西侧约6公里处有青浦奥特莱斯商圈、合生新天地、山姆会员店等,满足家庭不同阶段的购物需求。灿耀星城售楼处营销中心:400-8828-814灿耀星城售楼处电话/地址☎:400-882-8814(开发商热线)
示意图
灿耀星城售楼处营销中心:400-8828-814灿耀星城售楼处电话/地址☎:400-882-8814(开发商热线)医疗方面,「灿耀星城」周边有京汇医院、复旦大学附属华山医院(虹桥院区)、另有社区卫生服务中心为健康保驾护航。
灿耀星城售楼处营销中心:400-8828-814灿耀星城售楼处电话/地址☎:400-882-8814(开发商热线)「灿耀星城」南侧约1.5公里就是总投资达50亿的远大健康城(一期上海医大医院为三级非营利性综合医院,已运营),这里将开设一所三级医院,一所二级国际性医院,预计2023年投入使用。
距离「灿耀星城」约5公里的新虹桥国际医学中心,是虹桥打造的面向世界的权威医疗窗口,整个园区占地100公顷,一期包括华山医院(已开放)、肿瘤医院(在建)、百汇医院(在建)等共8家综合性专科医院,还有二期规划中的协华脑科医院、圣康达医院、绿叶利兰医院等。灿耀星城售楼处营销中心:400-8828-814灿耀星城售楼处电话/地址☎:400-882-8814(开发商热线)
上海「沪七条」新政·核心速记(2026.2.26执行)
一、限购放宽(最重磅)
• 非沪籍买外环内:社保1年即可买1套
• 非沪籍社保满3年:外环内可买2套
• 非沪籍1年社保:外环外不限套数
居住证满5年:全市可买1套,不用社保个税
二、公积金大提升
• 首套家庭最高:240万(原160万)
• 多子女+绿色建筑:最高可贷324万
• 公积金结清后,可再次贷款
• 多子女家庭二套也能额度上浮
三、房产税利好
• 沪籍成年子女唯一住房,暂免房产税
• 与父母共有房,置换后唯一可退税
上海青浦灿耀星城售楼处电话:400-8828-814✔✔【预约热线】灿耀星城售楼处营销中心:400-8828-814灿耀星城售楼处电话/地址☎:400-882-8814(开发商热线)如有问题欢迎来电咨询,专业一对一热情服务,让您用专业眼光去买房。建面约72-89㎡两房三房,超低能耗住宅,总价约422-630万!商业配套:虹桥食尚天地、家乐福、迪卡侬、永业购物中心,医疗配套:京汇医院、复旦大学附属华山医院(虹桥院区)。
专业一对一顾问:解答房价特价、优惠政策、在售房源等疑问,用专业眼光帮你选房
预约福利:提前预约可享售楼处专车接送、优先选房权、专属购房优惠
资料获取:来电即送楼盘图、沙盘图、位置图、配套图全套资料,助你全面了解项目
☎☎房价特价信息丨优惠政策丨详细解答丨在售房源丨在售户型图丨项目介绍
周边配套丨VR看房丨楼盘图丨沙盘图丨位置图丨配套图丨售楼处地址丨足不出户
声明:本文由入驻焦点开放平台的作者撰写,除焦点官方账号外,观点仅代表作者本人,不代表焦点立场。
