上海信达信安里售楼处电话→信达信安里售楼中心电话→2026信达信安里楼盘百科→信达信安里官网首页→楼盘百科→官方网站→信达信安里售楼处24小时热线电话
扫描到手机,新闻随时看
扫一扫,用手机看文章
更加方便分享给朋友
杭州【信达•信安里】
售楼处电话:400-9696-224(官方认证)
欢迎致电售楼处电话,专业一对一热情服务,让您用专业眼光去买房。
报名等销售电话确认后,请再前往现场
楼盘项目全面介绍,本电话为开发商提供线上售楼电话,楼盘项目全面介绍(包含楼盘简介,房价,价格,楼盘地址,户型图,交通规划,备案价,项目配套,楼盘详情,售楼处电话,最新消息,最新详情,周边配套,最新进展等详情咨询)
老静安内环内 风貌别墅
『信达•信安里』
CAZ中央活动区
建面275㎡-360㎡-541㎡
均价19.98万/㎡
总价5686万-1.06亿
老静安唯一在售 风貌别墅
直接认购!
仅27席 错过不再有!


项目基本信息:
项目名信达•信安里开发商上海信瓴置业有限公司(信达地产)板块老静安曹家渡板块在售面积
别墅(双拼):275-287平:5686-5920(3套)4房4厅7卫
360-384平:6900-7747万(18套)5房5厅8卫
460-541平:8923-9847万(4套)5房5厅8卫别墅(类独栋):463平-1.06亿(1套)5房5厅10卫均价
别 墅:19.98万总价
别 墅:5686万-10600万总体量 别 墅:27套总层数
别 墅:地上3层+地下2层层高 别 墅:2.2-3.6m交房时间2026年12月交付标准
别 墅:毛坯交付物业公司信达自持物业(委托绿城物业管理)物业费 别 墅:20元/平/月总用地面积约10348.10㎡总建筑面积约27054.13㎡容积率2.5车位配比1:1.17
实景图展示!

实景样板间展示:




杭州【信达•信安里】
售楼处电话:400-9696-224(官方认证)
欢迎致电售楼处电话,专业一对一热情服务,让您用专业眼光去买房。
报名等销售电话确认后,请再前往现场
楼盘项目全面介绍,本电话为开发商提供线上售楼电话,楼盘项目全面介绍(包含楼盘简介,房价,价格,楼盘地址,户型图,交通规划,备案价,项目配套,楼盘详情,售楼处电话,最新消息,最新详情,周边配套,最新进展等详情咨询)







杭州【信达•信安里】
售楼处电话:400-9696-224(官方认证)
欢迎致电售楼处电话,专业一对一热情服务,让您用专业眼光去买房。
报名等销售电话确认后,请再前往现场
楼盘项目全面介绍,本电话为开发商提供线上售楼电话,楼盘项目全面介绍(包含楼盘简介,房价,价格,楼盘地址,户型图,交通规划,备案价,项目配套,楼盘详情,售楼处电话,最新消息,最新详情,周边配套,最新进展等详情咨询)


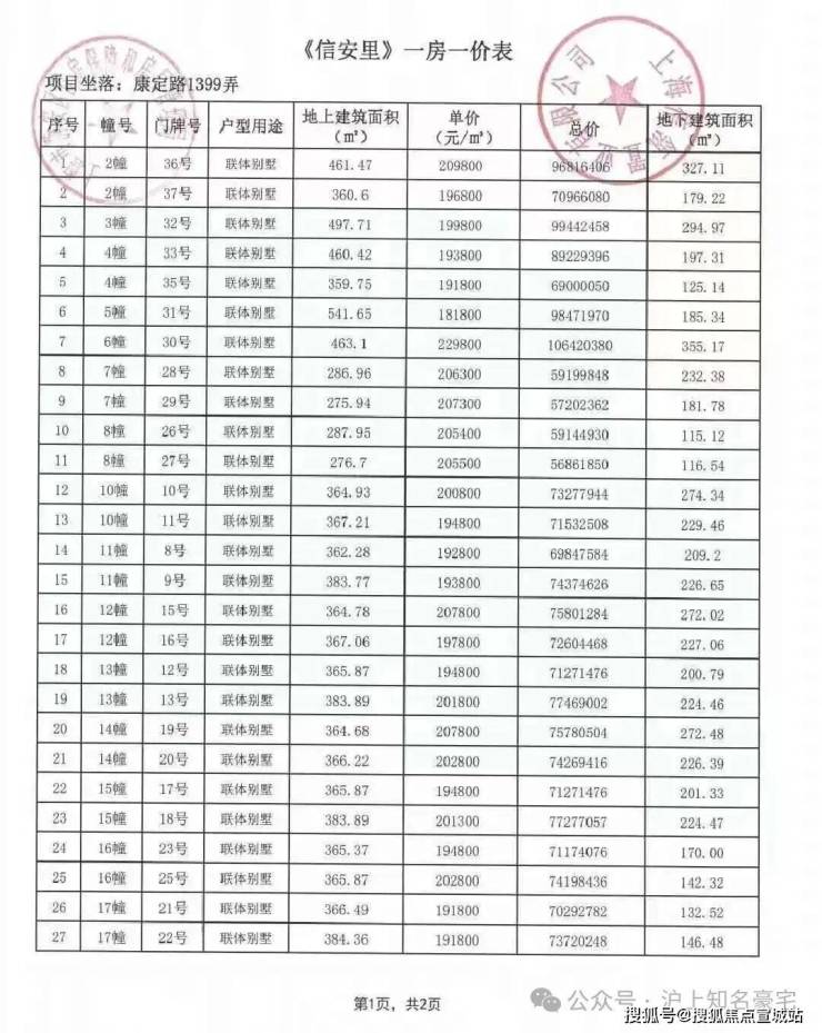
风貌别墅 一房一价表:

杭州【信达•信安里】
售楼处电话:400-9696-224(官方认证)
欢迎致电售楼处电话,专业一对一热情服务,让您用专业眼光去买房。
报名等销售电话确认后,请再前往现场
楼盘项目全面介绍,本电话为开发商提供线上售楼电话,楼盘项目全面介绍(包含楼盘简介,房价,价格,楼盘地址,户型图,交通规划,备案价,项目配套,楼盘详情,售楼处电话,最新消息,最新详情,周边配套,最新进展等详情咨询)
散落浓荫的高贵门庭
动辄亿元 风貌老洋房 于此溯源
一座静安寺,三片风貌区。南京西路历史风貌区——凤阳路、陕西北路,衡复历史风貌区——华山路、湖南路,愚园路历史风貌区——愚园路、常德路,动辄亿元的浓荫区老洋房,历史从这里溯源!
致敬百年旧里 再开艺术新里
信达地产里弄风貌更新作品,从历史建筑风貌保护出发,融入当代新式里弄创新手法!
建筑面积约275㎡-541㎡风貌艺墅,里献世界的名宅隐贵之所!
风貌灵魂保留
从巴黎孟莎顶的法式⻛情
到上海人文屋脊的海派风华!
双折式屋顶—孟莎式屋顶,源自法国古典主义建筑师弗朗西斯科·孟莎!17世纪晚期,成为法国古典主义建筑的流行形式!
今天,人们依旧能在巴黎、法国北部看到成片的孟莎式屋顶,其中包括著名巴黎老佛爷百货公司!
信达信安里
遵循“修旧如旧 以存其真”修缮更新理念!
还原清水红砖山墙、孟莎式折坡屋顶、石材石库门门头,保留红色机平瓦屋面、老虎窗、转角石构件,改善石库门格栅内院采光,将石库门建筑的风貌灵魂保留!
建面约275㎡-541㎡风貌艺墅
惟此27席!
从藏身到藏心
藏物到藏己的生活进阶!
地下1F志趣空间,约7.2m层高,私人菁英社交圈层!首层花园入户,大横厅会晤场域,与时代精神际会!
二三层静谧于心,起居室多套房设计,梧桐下的栖心之所!屋顶露台、花园庭院,超大附赠面积,藏身心于天地恢弘!
类独栋别墅·翠竹雅苑 印象公馆、琉璃光廊、雅集花园、人文巷道、私家庭院
百乐门印象·休闲社交 架空层泛会所,酒店式大堂、阅读区、健身区、多功能区
别墅巷道·艺文烟火 公共巷道、主题纵巷、端头水景、宅间花园,四级里弄巷道
【围合墅藏】
私家花园庭院,独门独院、围合天地、连院宽厅,世界尽藏一隅!
【志趣墅藏】
最高约7.2m地下一层层高,可改造地下挑高夹层,延伸无尽生活志趣!
【奢享墅藏】
高附赠率别墅空间,无柱、无廊、大落地窗设计,人生得意须尽宽!
【静谧墅藏】
独创双层分户墙隔音技术,外墙&楼板约200mm厚度,首层北侧和山墙面开窗外置百叶!
风貌别墅-户型图:
杭州【信达•信安里】
售楼处电话:400-9696-224(官方认证)
欢迎致电售楼处电话,专业一对一热情服务,让您用专业眼光去买房。
报名等销售电话确认后,请再前往现场
楼盘项目全面介绍,本电话为开发商提供线上售楼电话,楼盘项目全面介绍(包含楼盘简介,房价,价格,楼盘地址,户型图,交通规划,备案价,项目配套,楼盘详情,售楼处电话,最新消息,最新详情,周边配套,最新进展等详情咨询)
爱俪里 | 建面约366m²
摩登复古的艺术之家效果图:
得发里 | 建面约463m²
独揽世界的海派墅邸效果图:
杭州【信达•信安里】
售楼处电话:400-9696-224(官方认证)
欢迎致电售楼处电话,专业一对一热情服务,让您用专业眼光去买房。
报名等销售电话确认后,请再前往现场
楼盘项目全面介绍,本电话为开发商提供线上售楼电话,楼盘项目全面介绍(包含楼盘简介,房价,价格,楼盘地址,户型图,交通规划,备案价,项目配套,楼盘详情,售楼处电话,最新消息,最新详情,周边配套,最新进展等详情咨询)
交通配套:
项目位于静安历史风貌区,2/7/11/13/14号地铁交汇,分布武宁路、昌平路、隆德路、静安寺等市中心地铁站!

商业资源:
嘉里中心、恒隆广场、兴业太古汇、静安ONE、芮欧百货、张园、环球世界大厦、889广场等奢华地标林立!
教育资源:
周边有市西中学、一师附小、万航渡路小学、西南幼儿园(市示范园)、包玉刚实验小学(私立)、华东政法大学(原圣约翰大学)等!
医疗资源:周边有华山医院、上海市儿童医院、第一妇幼保健院、华东医院!
休闲资源:周边有曹家渡口袋花园、静安公园、美琪大剧院、上海展览中心等!
老静安内环内 风貌别墅
『信达•信安里』
CAZ中央活动区
建面275㎡-360㎡-541㎡
均价19.98万/㎡
总价5686万-1.06亿
老静安唯一在售 风貌别墅
直接认购!
杭州【信达•信安里】
售楼处电话:400-9696-224(官方认证)
欢迎致电售楼处电话,专业一对一热情服务,让您用专业眼光去买房。
报名等销售电话确认后,请再前往现场
楼盘项目全面介绍,本电话为开发商提供线上售楼电话,楼盘项目全面介绍(包含楼盘简介,房价,价格,楼盘地址,户型图,交通规划,备案价,项目配套,楼盘详情,售楼处电话,最新消息,最新详情,周边配套,最新进展等详情咨询)
声明:本文由入驻焦点开放平台的作者撰写,除焦点官方账号外,观点仅代表作者本人,不代表焦点立场。
