佳运名邸(售楼处)首页网站-佳运名邸销售中心(营销中心)-小区环境-户型-价格-地址-楼盘详情-周边配套-售楼处电话

搜狐焦点宣城站 2025-09-01 12:30:07
用手机看
扫描到手机,新闻随时看

扫一扫,用手机看文章
更加方便分享给朋友

佳运名邸售楼处提供预约热线400-8618-004,主打低密纯洋房,园林景观优美,均价39837元/㎡,总价约313万起,约81%得房率。

佳运名邸售楼处电话:400-8618-004【预约热线】

上海宝山佳运名邸营销中心热线:400-8618-004

如有问题欢迎来电咨询,专业一对一热情服务,让您用专业眼光去买房。想了解佳运名邸更多信息?拨打售楼处营销中心热线:400-8618-004(中介勿扰)【24小时热线】

「佳运名邸」

北上海稀缺低密纯洋房

建面约90-129㎡精装3-4房

均价39837元/㎡总价约313万起

首推315套房源正在认购

售楼处线上火热预约

佳运名邸售楼处电话:400-8618-004

佳运名邸营销中心热线400-8618-004(预约看房热线)

实景图

西班牙进口橄榄树、日本进口造型罗汉松

台湾云波冬青等名贵绿植

都能在这座“高档植物园”里见到

磅礴的中轴景观佳运名邸售楼处营销中心:400-8618-004佳运名邸售楼处电话/地址☎:400-8618-004(开发商热线)

还有四季分时绽放的花卉点缀

佳运名邸售楼处电话:400-8618-004

佳运名邸营销中心热线400-8618-004(预约看房热线)

实景图佳运名邸售楼处营销中心:400-8618-004佳运名邸售楼处电话/地址☎:400-8618-004(开发商热线)

约81%-83%高得房率、3米建筑层高

约30米楼栋距……

每一个亮点的背后

都是佳运置业满满的匠心

佳运名邸售楼处电话:400-8618-004

佳运名邸营销中心热线400-8618-004(预约看房热线)

实景图

总价仅约306万起(房源号:2幢1号101室)

建面约87-133㎡8层花园洋房

刚需价买改善级品质!

佳运名邸售楼处营销中心:400-8618-004佳运名邸售楼处电话/地址☎:400-8618-004(开发商热线)

01

园林住区实景呈现

感受家楼下的“植物园”

在上海,能被称为“家楼下的植物园”的园林住区,少之又少,出现在刚需板块,更是难能可贵。一期已实景呈现的佳运名邸售楼处营销中心:400-8618-004佳运名邸售楼处电话/地址☎:400-8618-004(开发商热线),却是一个例外。

佳运名邸售楼处营销中心:400-8618-004佳运名邸售楼处电话/地址☎:400-8618-004(开发商热线)

这,是一棵屹立在门头处的橄榄树,它从西班牙远渡重洋而来,树龄约有数百年,造价不菲。即使路途再遥远、成本再高,它依旧以如此挺拔的姿态,惊艳众人。两边配置蓬径3米的茶梅球、红枫、造型茶梅、金玉满堂·鸿运果等高档精品树木。

佳运名邸售楼处电话:400-8618-004

佳运名邸营销中心热线400-8618-004(预约看房热线)

走进社区内部,可见一棵进口日本的造型罗汉松,如今正绽放着新的生机,其两侧种植了高杆香橼,展现一副气势磅礴的世家名邸画卷。

实景图佳运名邸售楼处营销中心:400-8618-004佳运名邸售楼处电话/地址☎:400-8618-004(开发商热线)

从入口开始,左右中轴对称,每条横向纵向道路都设置了精致景观组团,多采用台湾云波冬青、金玉满堂·鸿运果、造型果石榴、金钱榆、大胡柚、红果冬青、造型金桔、赤楠桩、大红枫、鸡爪楔、羽毛枫、大紫薇(桩)、造型茶梅、造型柿子树、乌桕、红豆杉、红美人、樱花、海棠、桂花等名贵精品树种,打造归家仪式感,移步异景。

佳运名邸售楼处电话:400-8618-004

佳运名邸营销中心热线400-8618-004(预约看房热线)

实景图

深入社区,一道喷泉水景引人注目,背景墙浮雕,水韵与光影交织,更添几分雅韵。

实景图佳运名邸售楼处营销中心:400-8618-004佳运名邸售楼处电话/地址☎:400-8618-004(开发商热线)

在这座社区内选用的名贵树种,不仅穿越了空间,更是跨越了时间的长河。一棵棵绿植,是散落在社区里一个个点,但当点连成线,园林级的舒适社区就不再是想象了。

佳运名邸售楼处营销中心:400-8618-004佳运名邸售楼处电话/地址☎:400-8618-004(开发商热线)

佳运名邸售楼处营销中心:400-8618-004佳运名邸售楼处电话/地址☎:400-8618-004(开发商热线)

佳运名邸售楼处营销中心:400-8618-004佳运名邸售楼处电话/地址☎:400-8618-004(开发商热线)实景图

除了丰富的绿植之外,社区还打造了四季花园景观,保证小区一年四季都有景,季季景不同,真正实现户户推窗即景的花园洋房生活。

实景图

除此之外,佳运名邸售楼处营销中心:400-8618-004佳运名邸售楼处电话/地址☎:400-8618-004(开发商热线)还善用石材的铺设,将这座“植物园”做得更加精致而高雅。

俯视实景图佳运名邸售楼处营销中心:400-8618-004佳运名邸售楼处电话/地址☎:400-8618-004(开发商热线)

不同光影下,社区时刻演绎出如画卷般的格调,而这些都成为了你归家时的风景。

佳运名邸售楼处营销中心:400-8618-004佳运名邸售楼处电话/地址☎:400-8618-004(开发商热线)

实景图

布局上佳运置业也为绿化区域考虑了非常多,比如造8层的房子,和8-11层的小高层同样30米左右的栋距,项目8层花园洋房就不用做消防登高面,等于减少了6米宽的水泥硬质道路,使绿化面积更大、环境更好。

非一期实景绿化景观也用相同的高标准打造,做到全社区交付实景,能做到让居者真正居住在园林级社区里!

02佳运名邸售楼处营销中心:400-8618-004佳运名邸售楼处电话/地址☎:400-8618-004(开发商热线)

花园洋房三大神户型

将舒适感融入日常生活

以上的一切,都是居住在佳运名邸售楼处营销中心:400-8618-004佳运名邸售楼处电话/地址☎:400-8618-004(开发商热线)能享受到的社区景观,我们再来看看产品,你会发现,项目真的将生活的舒适感融入到了日常生活里!

社区容积率仅约1.4,全部为8楼的纯洋房,居住体验相较于小高层或者高低配更好,楼栋之间均拥有约30米奢阔栋距,比建筑本身还要高,让每户人家平等享受阳光。

实景图佳运名邸售楼处营销中心:400-8618-004佳运名邸售楼处电话/地址☎:400-8618-004(开发商热线)

户型方面,项目推出建面约90-129㎡3-4房,得房率非常高,所有户型都是东西拉宽、南北短进深,且南北通透,通风、采光俱佳,使用功能合理,每个房间的大小都恰到好处。

佳运名邸售楼处营销中心:400-8618-004佳运名邸售楼处电话/地址☎:400-8618-004(开发商热线)

建面约87-92㎡三房,做到了双卫布局,实现市面上“百平3房”的布局,紧凑户型+超强功能性,让买房人的钱都用在刀刃上!

佳运名邸售楼处营销中心:400-8618-004佳运名邸售楼处电话/地址☎:400-8618-004(开发商热线)

动区的客餐厨阳台呈一体化设计,无多余过道浪费,还有独立玄关入口,保证收纳空间。

佳运名邸售楼处营销中心:400-8618-004佳运名邸售楼处电话/地址☎:400-8618-004(开发商热线)

样板间实景图佳运名邸售楼处营销中心:400-8618-004佳运名邸售楼处电话/地址☎:400-8618-004(开发商热线)

主卧套房设计,自带独立卫生间,既保证了私密性,又让生活更有档次。

样板间实景图佳运名邸售楼处营销中心:400-8618-004佳运名邸售楼处电话/地址☎:400-8618-004(开发商热线)

建面约129㎡四房,则是改善置业的优选。

佳运名邸售楼处营销中心:400-8618-004佳运名邸售楼处电话/地址☎:400-8618-004(开发商热线)

它不仅做到了四房设计,更是做到了6.2米的宽厅,尺度媲美大平层,北向房间还能够放置1.5米的床。

佳运名邸售楼处营销中心:400-8618-004佳运名邸售楼处电话/地址☎:400-8618-004(开发商热线)

样板间实景图

此外,项目还有建面约106-110㎡三房可供选择,户型图如下↓

相较于刚需市场上2.8-2.9米的层高,佳运名邸售楼处营销中心:400-8618-004佳运名邸售楼处电话/地址☎:400-8618-004(开发商热线)约3米的建筑层高更加舒适,室内即使装上中央空调和全屋地暖,居住空间也是绰绰有余。

样板间实景图佳运名邸售楼处营销中心:400-8618-004佳运名邸售楼处电话/地址☎:400-8618-004(开发商热线)

相比市场同价位装修标准项目,未来佳运名邸售楼处营销中心:400-8618-004佳运名邸售楼处电话/地址☎:400-8618-004(开发商热线)配置更丰富、品牌也更为有档次。配置中央空调和地暖,并甄选科勒、摩恩、开能、欧派、奥普等知名品牌,而且玄关柜、两玻一腔内置百叶、风暖、可视对讲等配置均为交付标准。

佳运名邸售楼处营销中心:400-8618-004佳运名邸售楼处电话/地址☎:400-8618-004(开发商热线)

佳运名邸售楼处营销中心:400-8618-004佳运名邸售楼处电话/地址☎:400-8618-004(开发商热线)

佳运名邸售楼处营销中心:400-8618-004佳运名邸售楼处电话/地址☎:400-8618-004(开发商热线)

样板间实景图

03

佳运置业匠心帷幄佳运名邸售楼处营销中心:400-8618-004佳运名邸售楼处电话/地址☎:400-8618-004(开发商热线)

在当下市场,能舍得花钱、提高层高,精致的园林造景和舒适感颇具的产品难能可贵,其背后更是佳运置业坚守的初心与精益求精。

佳运名邸售楼处营销中心:400-8618-004佳运名邸售楼处电话/地址☎:400-8618-004(开发商热线)

砥砺24载,佳运置业以上海为起点,始终坚持务真求实、稳步发展。从“楼坚强”佳运公寓,到“花园洋房”仁和都市花园,佳运置业先后开发多个楼盘,一经上市,便是区域的品质代表。像仁和都市花园的二手房市场,展现出了强大的韧性。佳运名邸售楼处营销中心:400-8618-004佳运名邸售楼处电话/地址☎:400-8618-004(开发商热线)

佳运名邸售楼处营销中心:400-8618-004佳运名邸售楼处电话/地址☎:400-8618-004(开发商热线)

仁和都市花园实景图

在2022年,佳运置业持续开疆拓土,以40多亿自有资金获得上海3宗地,带来一个个不断迭代突破的新盘。你会发现,佳运置业向来都是自有资金拿地发展,不盲目追求规模和速度,追求以质换量,从而保证发展稳健,是一家小而精、小而美的公司。

佳运名邸售楼处营销中心:400-8618-004佳运名邸售楼处电话/地址☎:400-8618-004(开发商热线)

佳运置业出身于建筑行业,因此将工匠精神融入建筑点滴,一砖一瓦匠心雕刻。项目均由董事长亲自操盘,从产品前期的规划设计到工程质量的监督把控,以及后期园林景观的打造,都亲力亲为。于是,我们才能看到像佳运名邸售楼处营销中心:400-8618-004佳运名邸售楼处电话/地址☎:400-8618-004(开发商热线)这样的低密封面。

佳运名邸售楼处营销中心:400-8618-004佳运名邸售楼处电话/地址☎:400-8618-004(开发商热线)实景图

公司注重产品质量,讲究工匠精神,且出身于建筑行业,对建筑中的通病有独特的处理及施工方法,对建筑施工工艺、质量要求做到精益求精,获得了质监站的好评,并获得了工程质量奖。质检站在检查工程时都说:“没想到现在这种时代,还有你们这么注重工程质量的良心开发商”。佳运在上海的代表作仁和都市花园,一经上市,便成为整个区域的标杆项目。目前二手房售价,比周边地铁学区房万科海上传奇,高出2万/㎡左右。

佳运名邸售楼处营销中心:400-8618-004佳运名邸售楼处电话/地址☎:400-8618-004(开发商热线)于2023年10月9日荣获区优质结构工程奖,这是佳运置业对于自身的高标准要求,也是为业主提供美好生活的承诺。

项目预计到2024年年底前就能交房,交付有保障。选择佳运名邸售楼处营销中心:400-8618-004佳运名邸售楼处电话/地址☎:400-8618-004(开发商热线),就是选择一种追求品质、享受舒适生活的态度。买得安心,住得更安心。

04

地处宝山罗店生活氛围醇熟

佳运名邸售楼处营销中心:400-8618-004佳运名邸售楼处电话/地址☎:400-8618-004(开发商热线)地处罗店板块,周边生活氛围醇熟。

交通方面,项目周边地铁7号线,S7高速、沪太路、陆翔路、潘泾路、石太路、月罗公路、绕城高速共同组成“四横三纵”路网格局,通达全城。

佳运名邸售楼处营销中心:400-8618-004佳运名邸售楼处电话/地址☎:400-8618-004(开发商热线)

社区自带约6000㎡幼儿园,目前已进入装修及总体工程阶段,项目东侧200米有罗店中心校和罗店中学,南侧有罗阳小学和陈伯吹中学,北面是四方幼儿园,上海外国语双语学校和金瑞学校,朗朗读书声渲染书香氛围。

商业方面,项目往南500米上坤上街,往北500米(五万方商业招商中)小区门口对面,就有2家生鲜超市,可满足客户日常购物所需。佳运名邸售楼处营销中心:400-8618-004佳运名邸售楼处电话/地址☎:400-8618-004(开发商热线)

平时开车出行,3公里范围内有宝龙生活广场,大润发超市,旭辉U天地等商业体。售楼处所在地为9000㎡市政绿地规划,项目北侧约10000㎡无动力乐园已正式开园,让孩子在寓教于乐中健康成长。佳运名邸售楼处营销中心:400-8618-004佳运名邸售楼处电话/地址☎:400-8618-004(开发商热线)

罗店作为未来几年政府重点发展的区域,于北郊未来产业园、北上海生物医药产业园、锦邑产城融合区三个核心产业园辐射区域,未来前景可期!

区位图

佳运名邸售楼处营销中心:400-8618-004佳运名邸售楼处电话/地址☎:400-8618-004(开发商热线),建面约90-129㎡8层花园洋房逐席递减,刚需价置业改善级别的实景社区,诚邀您携家人亲临品鉴!

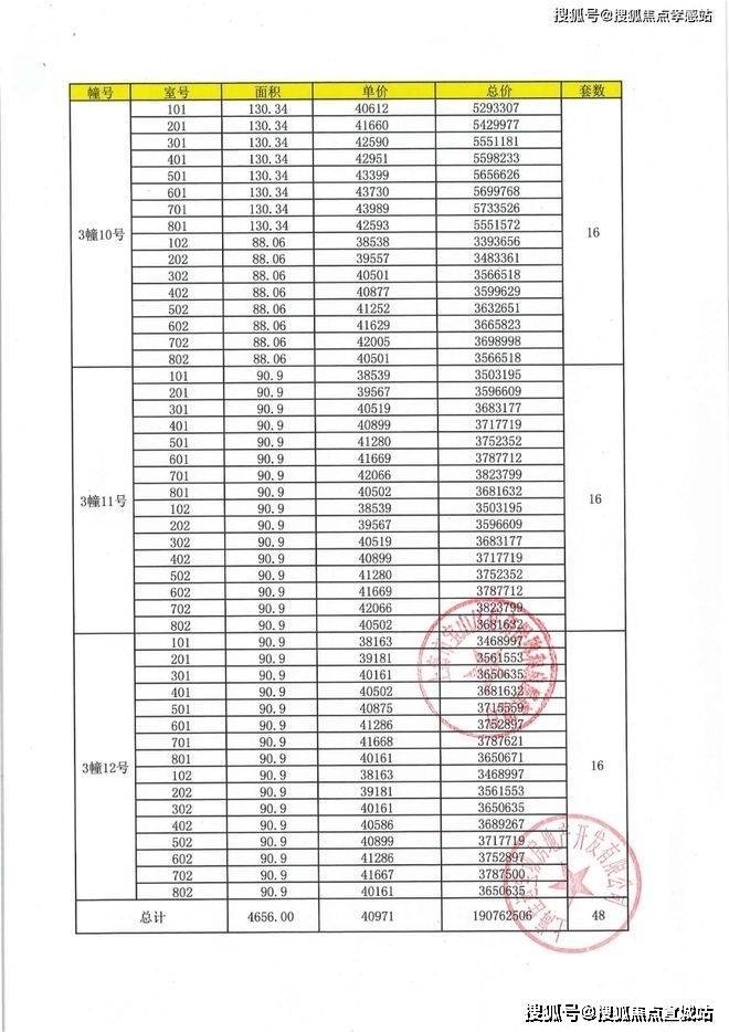
一房一价表:

佳运名邸售楼处营销中心:400-8618-004佳运名邸售楼处电话/地址☎:400-8618-004(开发商热线)

佳运名邸售楼处营销中心:400-8618-004佳运名邸售楼处电话/地址☎:400-8618-004(开发商热线)

佳运名邸售楼处营销中心:400-8618-004佳运名邸售楼处电话/地址☎:400-8618-004(开发商热线)佳运名邸售楼处营销中心:400-8618-004佳运名邸售楼处电话/地址☎:400-8618-004(开发商热线)

佳运名邸售楼处营销中心:400-8618-004佳运名邸售楼处电话/地址☎:400-8618-004(开发商热线)

佳运名邸售楼处营销中心:400-8618-004佳运名邸售楼处电话/地址☎:400-8618-004(开发商热线)

佳运名邸售楼处营销中心:400-8618-004佳运名邸售楼处电话/地址☎:400-8618-004(开发商热线)

佳运名邸售楼处营销中心:400-8618-004佳运名邸售楼处电话/地址☎:400-8618-004(开发商热线)

佳运名邸售楼处营销中心:400-8618-004佳运名邸售楼处电话/地址☎:400-8618-004(开发商热线)

上海宝山佳运名邸售楼处电话:400-8618-004【预约热线】佳运名邸售楼处营销中心:400-8618-004佳运名邸售楼处电话/地址☎:400-8618-004(开发商热线)如有问题欢迎来电咨询,专业一对一热情服务,让您用专业眼光去买房。

上海最新放开限购政策

一、调减住房限购政策

为更好满足居民改善性需求,促进宜居安居、职住平衡,《通知》明确进一步调减住房限购政策。一是符合条件居民家庭在外环外购房不限套数。对符合本市住房购买条件的居民家庭,包括本市户籍居民家庭、在本市连续缴纳社会保险或个人所得税满1年及以上的非本市户籍居民家庭,在外环外购买住房不限套数,包括新建商品住房和二手住房。二是成年单身人士按照居民家庭执行住房限购政策。

按照上述规定,沪籍居民家庭和沪籍成年单身人士,在外环外购买住房不限套数;在外环内限购2套住房。非沪籍居民家庭和非沪籍成年单身人士,自购房之日前在本市连续缴纳社会保险或个人所得税满1年及以上的,在外环外购买住房不限套数;自购房之日前在本市连续缴纳社会保险或个人所得税满3年及以上的,在外环内限购1套住房。

关于住房限购政策相关业务,可拨打房地产交易行业服务热线“962269”具体咨询。

二、优化住房公积金政策

为加大公积金支持住房消费力度,《通知》规定优化住房公积金政策。一是提高个人住房公积金贷款额度。对缴存人购买二星级及以上新建绿色建筑住房的,住房公积金(含补充公积金)最高贷款额度上浮15%。首套最高贷款额度从160万元提高至184万元,多子女家庭首套上浮比例可叠加计算,从192万元提高至216万元;二套最高贷款额度从130万元提高至149.5万元。二是支持提取住房公积金支付购房首付款。对缴存人购买我市新建预售商品住房的,可以按规定申请提取本人及配偶的住房公积金支付购房首付款。三是支持住房公积金“又提又贷”。对缴存人提取住房公积金支付购房首付款的,不影响其住房公积金贷款额度计算。

关于住房公积金贷款和提取业务的具体办理方式及材料,可查询上海住房公积金官网或拨打住房公积金热线“12329”具体咨询。

三、优化调整商业性个人住房贷款利率定价机制

为减轻居民购房利息负担,《通知》明确优化个人住房信贷政策。银行业金融机构根据上海市市场利率定价自律机制要求和本机构经营状况、客户风险状况等因素,在利率定价机制安排方面不再区分首套住房和二套住房,合理确定每笔商业性个人住房贷款的具体利率水平。

关于住房贷款相关业务,可向经办银行具体咨询。

四、完善个人住房房产税政策

为衔接优化住房限购政策,《通知》规定对符合条件的非本市户籍居民家庭购买的第一套住房暂免征收房产税;购买的第二套及以上住房在合并计算家庭全部住房面积后,给予人均60平方米的免税面积扣除。由于个人住房房产税按年征收,因此2025年1月1日起符合条件的购房者可享受本条政策。

声明:本文由入驻焦点开放平台的作者撰写,除焦点官方账号外,观点仅代表作者本人,不代表焦点立场。