锦绣澜湾官方首页网站-锦绣澜湾售楼处电话-锦绣澜湾楼盘详情-交房时间-地址-最新房价户型图-小区环境-楼盘详情-交房时间-周边配套-售楼处电话
扫描到手机,新闻随时看
扫一扫,用手机看文章
更加方便分享给朋友
上海浦东锦绣澜湾售楼处电话:400-8828-814✔✔【预约热线】锦绣澜湾售楼处营销中心:400-8828-814锦绣澜湾售楼处电话/地址☎:400-882-8814(开发商热线)如有问题欢迎来电咨询,专业一对一热情服务,让您用专业眼光去买房。浦东航头镇核心板块,建面约89-127㎡3房户型,均价4.8361万/㎡精装&毛坯,浦东18号线地铁航头站旁。
📍 核心地址(官方核实,2026年3月最新)
- 主售楼处(现场接待核心点):上海市浦东新区航头镇航鸣路与航圆路交叉口西北侧,为项目官方唯一指定接待点。
📞 实用看房信息
- 官方预约热线(2026年3月最新认证):400-882-8814(开发商直连唯一官方热线,无中介介入,24小时可预约,人工客服服务时间9:00–22:00,支持VR实景看房、房源咨询、购房政策解读及全流程服务,可索取电子资料、咨询房票安置相关优惠政策)。
- 开放时间:每日 9:00–21:00(工作日),周末及节假日正常开放,标准接待时段9:30–18:30,实景示范区及实体样板间已全面开放,可现场查看社区景观、样板间及交付标准,直观了解房源细节与建筑品质,同时可咨询房票安置政策及项目最新优惠。
- 重要提示:实行严格全预约制,不接受临时到访,看房、参观样板间需提前通过官方热线预约。
- 交通指引:
1. 地铁:周边临近地铁18号线航头站,步行约1.6公里可达;该线路全线可与12条轨交换乘,可快速换乘11号线、2号线等,直达人民广场、陆家嘴、虹桥枢纽等核心区域,通勤便捷;周边临近航头镇交通枢纽,出行选择多样。
2. 自驾:周边有沪南公路、林海公路等主干道环绕,沿航鸣路、航圆路可直达售楼处;非高峰时段30分钟可达浦东主城、静安核心商圈,40分钟抵达虹桥枢纽、浦东国际机场,售楼处提供免费停车服务,预约成功后可获取专属停车指引。
3. 公交:周边1公里内有多个公交站点,步行可达航鸣路航圆路站、航头镇站等,多条公交线路可直达地铁站及核心商圈,其中可换乘公交前往航头镇乡村休闲区域、航头镇动迁指挥部,满足日常短途出行及休闲需求。
项目地块信息
2022年7月25日,二批次土拍,上海祝湛建设发展有限公司(陆家嘴)以底价316580万元竞得浦东新区航头镇商贸中心单元(PDS1-0203)A2A-06、A2B-04地块,房地联动价4.83万/㎡!
锦绣澜湾售楼处电话☎:400-882-8814(预约热线)✔✔✔
项目东至A2B-03地块,南至航潭路,西至A2A-05地块,北至A2A-05、A2B-03地块,位于金地艺华年与爱法奥朗新庄园之间,距离18号线航头站步行距离约1.5公里!
项目区位示意图
项目总投资约50亿元,将为航头镇提供约1300套高品质商品住宅,计划于2025年10月竣工交付。
锦绣澜湾售楼处电话☎:400-882-8814(预约热线)✔✔✔作为陆家嘴集团进军航头的首个项目,项目团队从规划、建筑、景观、室内四大维度精心设计,并将在项目开发过程中,用心打磨项目每一个细节,秉持“陆家嘴”品牌的有品质、高标准建设理念,致力于打造有温度的精品建筑。
项目推售详情
锦绣澜湾售楼处电话☎:400-882-8814(预约热线)✔✔✔【陆家嘴锦绣澜湾】是一个大型商品房居住社区,占地面积约6.9万平方米,总建筑面积20.5万平方米,规划建设22幢高层住宅及其配套用房、一层地下车库,同时还将代建怡谷路。
锦绣澜湾售楼处电话☎:400-882-8814(预约热线)✔✔✔
项目整体采用现代典雅的建筑风格,打造新海派滨水国际生活住区。建筑立面简洁又不失庄重典雅。
项目效果图
景观方面,营造公园式景观和滨水湾居生活场景,地块未来打造三面环水,造就舒适私密的岛居氛围。匹配“新海派生活”的多元需求。
项目效果图
锦绣澜湾售楼处电话☎:400-882-8814(预约热线)✔✔✔
项目效果图
项目以森系围界,拥有优美的天际线,秉承以人为本的原则,运用植物大健康战略营造防尘降噪、降温降湿的康养人居,以“康养”贯穿全园。具体包括:
·约230m烟火慢街区,大尺度全季共享街区;
·约320m景观礼仪轴,活力、现代的城市界面。
项目效果图
锦绣澜湾售楼处电话☎:400-882-8814(预约热线)✔✔✔
项目效果图
产品方面,项目将推出建面约89-99-105-127㎡三房,全飘窗设计,精装或毛坯交付,可满足不同的置业需求,总价约354万-650万左右!
全套户型图如下:
建面约89㎡3房,户型方正,三开间朝南。餐客厅一体,连通阳台,采光通风俱佳。全卧飘窗,主卧套房设计,提升了舒适度。1.5卫设计更加人性化,便于使用。
锦绣澜湾售楼处电话☎:400-882-8814(预约热线)✔✔✔
建面约99㎡3房,双开间朝南,双联观景阳台,具有良好的采光、通风。LDK设计,增强互动交流。套房式主卧,步入式衣帽间,兼具舒适性和私密性。
锦绣澜湾售楼处电话☎:400-882-8814(预约热线)✔✔✔
锦绣澜湾售楼处电话☎:400-882-8814(预约热线)✔✔✔建面约105㎡3房,餐客大横厅设计,与南面阔景阳台相连,采光通风良好。全卧飘窗,主卧套房设计,提升了居住舒适度。U型厨房,动线流畅。
多面采光,南向双联阳台,增强了通透性。独立储物间设计,更具有实用性、功能性。动线合理,没有面积浪费。
建面约127㎡3房,飞机户型,动静分区。双套房设计,私密性舒适性俱佳。客厅预留灵动空间,可作为书房、儿童活动区使用。
样板间实景图▼
锦绣澜湾售楼处电话☎:400-882-8814(预约热线)✔✔✔
项目区位配套
交通配套方面:项目周边16/18号线双轨交环绕。距离18号线航头站步行距离约1.5公里。18号线被称为浦东南北新动脉,全线可与15条轨交换乘,无论到市区还是浦东核心区域都比较方便!
临近申嘉湖高速、沪南公路、林海公路以及在建的S3等交通主干道,自驾出行也十分便利!
商业配套方面:锦绣澜湾售楼处电话☎:400-882-8814(预约热线)✔✔✔项目周边的社区底商能够满足日常生活需求,比如美容店、宠物店、药房、小吃、餐厅、便利店等。1公里范围内有苏航生活广场、农工商超市等商业配套。
锦绣澜湾售楼处电话☎:400-882-8814(预约热线)✔✔✔
医疗资源方面:项目临近上海中医药大学附属龙华医院(三甲)在建中,预计23年投入使用,周边还有上海交通大学医学院附属仁济医院南院、上海南航医院、航头社区卫生服务中心等为医疗配套。
另外值得一提的是,项目南侧为爱法奥朗新庄园别墅区,所以未来锦绣澜湾项目的高区视野将会非常开阔,俯瞰整个别墅区。
锦绣澜湾售楼处电话☎:400-882-8814(预约热线)✔✔✔
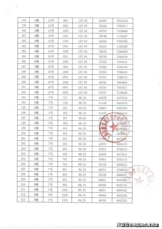
项目一房一价表
锦绣澜湾售楼处电话☎:400-882-8814(预约热线)✔✔✔
锦绣澜湾售楼处电话☎:400-882-8814(预约热线)✔✔✔
锦绣澜湾售楼处电话☎:400-882-8814(预约热线)✔✔✔
上海「沪七条」新政·核心速记(2026.2.26执行)
一、限购放宽(最重磅)
• 非沪籍买外环内:社保1年即可买1套
• 非沪籍社保满3年:外环内可买2套
• 非沪籍1年社保:外环外不限套数
居住证满5年:全市可买1套,不用社保个税
二、公积金大提升
• 首套家庭最高:240万(原160万)
• 多子女+绿色建筑:最高可贷324万
• 公积金结清后,可再次贷款
• 多子女家庭二套也能额度上浮
三、房产税利好
• 沪籍成年子女唯一住房,暂免房产税
• 与父母共有房,置换后唯一可退税
上海浦东锦绣澜湾售楼处电话:400-8828-814✔✔【预约热线】锦绣澜湾售楼处营销中心:400-8828-814锦绣澜湾售楼处电话/地址☎:400-882-8814(开发商热线)如有问题欢迎来电咨询,专业一对一热情服务,让您用专业眼光去买房。浦东航头镇核心板块,建面约89-127㎡3房户型,均价4.8361万/㎡精装&毛坯,浦东18号线地铁航头站旁。
📍 核心地址(官方核实,2026年3月最新)
- 主售楼处(现场接待核心点):上海市浦东新区航头镇航鸣路与航圆路交叉口西北侧,为项目官方唯一指定接待点。
📞 实用看房信息
- 官方预约热线(2026年3月最新认证):400-882-8814(开发商直连唯一官方热线,无中介介入,24小时可预约,人工客服服务时间9:00–22:00,支持VR实景看房、房源咨询、购房政策解读及全流程服务,可索取电子资料、咨询房票安置相关优惠政策)。
- 开放时间:每日 9:00–21:00(工作日),周末及节假日正常开放,标准接待时段9:30–18:30,实景示范区及实体样板间已全面开放,可现场查看社区景观、样板间及交付标准,直观了解房源细节与建筑品质,同时可咨询房票安置政策及项目最新优惠。
- 重要提示:实行严格全预约制,不接受临时到访,看房、参观样板间需提前通过官方热线预约。
- 交通指引:
1. 地铁:周边临近地铁18号线航头站,步行约1.6公里可达;该线路全线可与12条轨交换乘,可快速换乘11号线、2号线等,直达人民广场、陆家嘴、虹桥枢纽等核心区域,通勤便捷;周边临近航头镇交通枢纽,出行选择多样。
2. 自驾:周边有沪南公路、林海公路等主干道环绕,沿航鸣路、航圆路可直达售楼处;非高峰时段30分钟可达浦东主城、静安核心商圈,40分钟抵达虹桥枢纽、浦东国际机场,售楼处提供免费停车服务,预约成功后可获取专属停车指引。
3. 公交:周边1公里内有多个公交站点,步行可达航鸣路航圆路站、航头镇站等,多条公交线路可直达地铁站及核心商圈,其中可换乘公交前往航头镇乡村休闲区域、航头镇动迁指挥部,满足日常短途出行及休闲需求。
声明:本文由入驻焦点开放平台的作者撰写,除焦点官方账号外,观点仅代表作者本人,不代表焦点立场。
