万科中兴 (售楼处) 官网首页- 2026万科中兴销售中心 - 环境 - 户型 - 价格 - 地址 - 楼盘详情 - 配套 - 电话 - 交房时间 - 配套 - 电话 - 交房时间
扫描到手机,新闻随时看
扫一扫,用手机看文章
更加方便分享给朋友
万科中兴傲舍售楼处电话☎:400-882-8814(预约热线)✔✔✔
如有问题欢迎来电咨询,专业一对一热情服务,让您用专业眼光去买房。
上海静安【万科中兴傲舍】官方电话☎:400-882-8814【售楼热线】✔✔✔
万科中兴傲舍官网电话☎400-882-8814售楼处地址✔✔✔
如有问题可来电咨询,线上售楼中心,预约销售专员,一对一为您服务!
万科中兴傲舍售楼处地址☎400-882-8814看房停车预约✔✔✔,预约来电尊享内部优惠,专业一眼光对一热情,让您用专业眼光去买房
本电话为开发商提供线上预约售楼电话,楼盘项目全面介绍(交房时间丨楼盘详情丨房价优惠折扣丨营销中心电话丨最新消息丨最新详情丨周边配套丨学区医院丨一房一价表丨高层户型丨样板间丨地铁口距离丨区域板块丨楼盘百科丨新房特价丨认筹状况丨房型多样丨平面图丨高层洋房合院别墅丨户型图丨在售折扣丨认筹时间丨商圈规划丨清盘特价丨剩余房源详情丨别墅户型丨交付标准丨精装修丨最新进展详情!
【万科·中興傲舍】
国际艺术先锋2.0作品
静安区·内环内·百万中兴城
一通道+双高架+四轨环绕
立体城市公园+3W社交商业
房源:180/276/321㎡
总价:2100-4500W
在售户型:
276平(5房),总价3700-4000万
321平(4房),总价3900-4400万
个别180平3房可售,总价2250-2600万!
万科中兴傲舍售楼处电话☎:400-882-8814(预约热线)✔✔✔
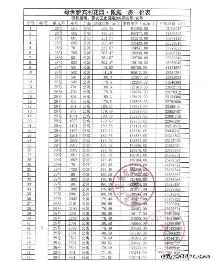
二期一房一价表
一期于9月17日-21日认购,首开4#、5#,共186套,开盘售罄
万科中兴傲舍售楼处电话☎:400-882-8814(预约热线)✔✔✔二期新品加推中,主力面积约180-279㎡,二期3#楼是整盘央景王座,拥有近70米超大栋距,直面约4500㎡商业森感中央公园,还有一部分是洋房,房源景观视野很棒
万科中兴傲舍售楼处电话☎:400-882-8814(预约热线)✔✔✔
万科中兴傲舍售楼处电话☎:400-882-8814(预约热线)✔✔✔

样板间效果图如下:
建筑面积约180㎡样板间效果图,仅供参考,以实际交付为准
万科中兴傲舍售楼处电话☎:400-882-8814(预约热线)✔✔✔
单元大堂👇
度假“植物园泳池”👇
光之厅艺术大堂👇
美术馆级艺术大堂👇
艺术流光幻彩铝板立面(会所)👇
艺术长廊👇
连廊👇
万科中兴傲舍售楼处电话☎:400-882-8814(预约热线)✔✔✔
项目将会采用地面抬高3层的设计,其中3层以下为商业底盘。

外立面方面,项目整体将打造为新海派建筑地标,设计有弧线阳台、45度玻璃、双层塔冠等,设计灵感来源于蔓楼兰;
立面色调方面,将采用珐琅彩色调,具体或为珍珠蓝铝板+红色纹理+金色线条,具体材料及配色还在讨论确认中。
万科中兴傲舍售楼处电话☎:400-882-8814(预约热线)✔✔✔小区归家动线方面,星级酒店入口对标半岛酒店,穿过12米挑高的入户大堂,将可进入小区会所,会所带植物园式泳池、女性友好健身房(会有更适合女性的运动器材、心理咨询、营养建议)等等。

1
项目效果图
万科中兴傲舍售楼处电话☎:400-882-8814(预约热线)✔✔✔万科雅宾利四期,以“都市山林”为项目概念设计,延续公园禀赋,以开放式街区串联项目整体,垂直立体复合,打造混合开放的多维共享空间。
将打造新静安地标级垂直复合社区,营造一个立体垂直、互联共享的无界生活剧场。

万科中兴傲舍售楼处电话☎:400-882-8814(预约热线)✔✔✔
包含塔楼办公、街区办公、社区大堂、社区会所、空中社区平台、住宅及城市设施,以立体复合的空间混合模式,立体多元的生态场景体系,营造多元丰富场景体验。

基于多维立体空间体系,打造复合创新型商业、办公、住宅空间,分为垂直复合的公园商业,地标级的公园办公,漂浮公园社区。

万科中兴傲舍售楼处电话☎:400-882-8814(预约热线)✔✔✔商业方面将打造活力永续的开放街区、串联街区的二层动线、活力空间单元,打造了开放共享的广场、层叠交织的街区活力景观退台。


万科中兴傲舍售楼处电话☎:400-882-8814(预约热线)✔✔✔
办公方面,营造了多维立体的塔楼空中花园体系,提升品质的办公私享平台,作为雅宾利四期总体规划的地标建筑,办公塔楼在纵向分割出多个垂直堆叠的总部单元,有别于传统的超高层塔楼产品,在这里项目不仅打造出兼具创意灵感与舒适生态的内部办公空间,同时还将商业,办公与城市公共设施联合在了一起,在垂直维度上打造了连续共享生态的跨界空间与公共体系,提升了整体产品吸引力和竞争力。


万科中兴傲舍售楼处电话☎:400-882-8814(预约热线)✔✔✔多维轴线共建漂浮景观社区,立体私享归家体验,住户可从置于地面层的两个社区大堂,直接上至10米或15米标高的空中社区平台,再通过风雨连廊进入位于各栋住宅塔楼架空层的入户大堂,打造立体多维度的归家体验。



2
项目前情回顾
2023年7月7日,静安区举行第三季度重大项目集中开工仪式,全面启动下半年重大项目建设推进工作。
本次集中开工的4个区重大项目分别是:
静安区工人文化宫(北宫)
天目社区C070102单元07-03地块住宅项目
曹家渡社区C050301单元4-3b地块项目
中兴社区C070202单元304-03地块商住办及配套设施项目
其中,静安区中兴社区C070202单元304-03地块就是去年9月27日被上海北万置业有限公司以1205984万元拿下、被暂命名为「万科翡翠雅宾利」四期的地块。
万科发布公告有称,公示11月份销售简报,其中新增开发项目中,涉及上海的增量土储:静安【万科翡翠雅宾利四期】项目赫然在列!

去年9月,北万置业以1205984万元竞得静安区中兴社区C070202单元304-03地块,成交楼板价47840元/㎡,溢价率0%,房地联动价13.3万/㎡,即当前的万科翡翠雅宾利四期。

万科中兴傲舍售楼处电话☎:400-882-8814(预约热线)✔✔✔
随后上海北万置业有限公司将70%股权在联交所上市,交易给了万科。
从目前北万的股权结构来看,万科(上海万科企业有限公司40%+南通万语企业管理咨询有限公司30%)占股70%!
所以,万科曲线拿地已实锤,而且还是在自己的老阵地!此前万科就在304-03地块东侧打造了万科翡翠雅宾利三期。这次万科翡翠雅宾利四期就要来了!这一次还是个超级综合体!


翡翠雅宾利四期土地合同核芯指标:
计容面积:25.2万㎡
其中住宅计容面积:12万㎡
容积率:5.75
限高:170米(商办部分)
房地联动价:133000元/㎡
套数:下限660套
套均面积:上限182㎡
据悉,万科翡翠雅宾利四期将推出建筑面积约100-250㎡3-5房。
4
周边综合配套
【万科翡翠雅宾利 】万科中兴傲舍售楼处电话☎:400-882-8814(预约热线)✔✔✔位处静安区中兴路699号近西藏北路,为内环内北区经典品牌豪宅。项目周边环伺南京路商圈、陆家嘴商圈、静安寺商圈、苏河湾商圈、四川北路商圈、大宁商圈等多个市级商圈,居住氛围成熟。

万科中兴傲舍售楼处电话☎:400-882-8814(预约热线)✔✔✔就在雅宾利所在的中兴路对面,就是万科的另一项目,高层公寓产品【中兴路一号】也是沪上妥妥的热门网红盘!
交通方面:项目属地铁8号线中兴路站上盖物业,两站路即人民广场站;4号线宝山路站,3号线东宝兴路站。三线环绕,地铁更方便出行。
自驾:项目毗邻南北高架、内环高架,距离南北高架,到达多个市级商圈出行便利。
商业方面:由于项目地处市中芯,商业、教育及医疗等各方面配套较为完善。项目一公里范围内就有虹口龙之梦及大悦城两大购物中芯,且尤其是在大悦城二期开业的情况下,整体生活氛围充分提升,市芯的便捷生活触手可及。

医疗方面:万科中兴傲舍售楼处电话☎:400-882-8814(预约热线)✔✔✔有静安中芯医院(长征医院分院)、毗邻第壹人民医院、长征医院、闸北中芯医院、中医医院、上海市第十人民医院等优质医疗机构,为健康保驾护航。
教育方面:万科中兴傲舍售楼处电话☎:400-882-8814(预约热线)✔✔✔项目周边有市北高级中学、青云中学、朝阳中学、民办扬波中学、闸北区第三中心小学、上外附属苏河湾实验学校、芷江中路幼儿园、永兴路幼儿园等丰富的教育资源。

生态休闲:万科中兴傲舍售楼处电话☎:400-882-8814(预约热线)✔✔✔项目对面是占地4万㎡中兴绿地、闸北公园,周边还有大宁绿地、浙北绿地、四川北路绿地、延中绿地、海伦公园、鲁迅公园等生态景观。
万科中兴傲舍售楼处电话☎:400-882-8814(预约热线)✔✔✔
如有问题欢迎来电咨询,专业一对一热情服务,让您用专业眼光去买房。
上海静安【万科中兴傲舍】官方电话☎:400-882-8814【售楼热线】✔✔✔
万科中兴傲舍官网电话☎400-882-8814售楼处地址✔✔✔
如有问题可来电咨询,线上售楼中心,预约销售专员,一对一为您服务!
万科中兴傲舍售楼处地址☎400-882-8814看房停车预约✔✔✔,预约来电尊享内部优惠,专业一眼光对一热情,让您用专业眼光去买房
本电话为开发商提供线上预约售楼电话,楼盘项目全面介绍(交房时间丨楼盘详情丨房价优惠折扣丨营销中心电话丨最新消息丨最新详情丨周边配套丨学区医院丨一房一价表丨高层户型丨样板间丨地铁口距离丨区域板块丨楼盘百科丨新房特价丨认筹状况丨房型多样丨平面图丨高层洋房合院别墅丨户型图丨在售折扣丨认筹时间丨商圈规划丨清盘特价丨剩余房源详情丨别墅户型丨交付标准丨精装修丨最新进展详情!
声明:本文由入驻焦点开放平台的作者撰写,除焦点官方账号外,观点仅代表作者本人,不代表焦点立场。
声明:本文由入驻焦点开放平台的作者撰写,除焦点官方账号外,观点仅代表作者本人,不代表焦点立场。
