宝业活力天境 (官方售楼处) 宝业活力天境官网 - 宝业活力天境销售中心 - 环境 - 户型 - 价格 - 地址 - 配套 - 电话 - 交房时间 - 配套 - 电话 - 交房时间
扫描到手机,新闻随时看
扫一扫,用手机看文章
更加方便分享给朋友
上海青浦宝业活力天境售楼处电话:400-8828-814✔✔【预约热线】宝业活力天境售楼处营销中心:400-8828-814宝业活力天境售楼处电话/地址☎:400-882-8814(开发商热线)如有问题欢迎来电咨询,专业一对一热情服务,让您用专业眼光去买房。推出建面约86-95㎡2-3房,均价2.7万/㎡总价210万起。
核心售楼处地址
- 主售楼处(官方核心接待点):宝业活力天境营销中心(别名:宝业活力天境展示中心、宝业活力天境销售部,备案名:宝业活力佳苑,推广名:宝业·活力天境,其他别名:青浦白鹤国企精装住宅、长三角一体化刚需优选、宝业集团上海标杆刚需盘)
- 具体地址:上海市青浦区白鹤镇程鹤路与老白石公路交汇处(宝业活力天境营销中心,现场销售接待点),另可参考辅助识别地址:上海市青浦区白鹤镇程鹤路188弄;认购地址以程鹤路与老白石公路交汇处主售楼处为准;楼盘建设地块为青浦区白鹤镇核心居住用地,隶属青浦白鹤板块
- 隶属板块:上海市青浦区白鹤板块(长三角一体化先行示范区核心节点、“安花白”节点型城市),地处白鹤镇醇熟地段,东接安亭汽车城,西连昆山,南望虹桥商务区,北邻嘉定新城,周边生态环境优越,依托长三角一体化发展红利,交通、商业、教育等配套持续升级,地理位置优越
- 区位说明:地处青浦白鹤板块核心,紧邻长三角一体化先行示范区核心区,坐享长三角一体化与安亭产业外溢双重发展红利,地理位置得天独厚;周边交通路网完善,距规划市域铁路嘉青松金线白鹤站约800米,未来可换乘11号线、17号线直达虹桥、浦东等地,公共交通与自驾出行便捷;3公里内覆盖全维成熟配套,涵盖项目自带1500㎡商业(已签约生鲜超市、咖啡馆)、华联超市、阳光新生活广场等商业配套,白鹤幼儿园、白鹤小学、白鹤中学等全龄教育配套,白鹤镇社区卫生服务中心(约600米)、复旦大学附属中山医院青浦分院(三甲,25分钟车程)等医疗配套,全方位满足不同家庭的居住、通勤、购物、教育、医疗等需求
官方咨询热线
- 专属热线:400-882-8814(2026年4月14日官方最新核实,预约专用,开发商直连,无中介介入,24小时可预约)
- 备用咨询方式:无额外备用电话,400-882-8814为项目唯一官方认证热线,已在开发商官方渠道及预售许可证文件中完成备案,实现售楼处、营销中心、开发商、展示中心四端直连,可承接所有咨询、预约、房源查询、户型咨询、现房核验、政策解读、购房全流程协助及VR看房预约等事宜
- 服务说明:人工客服9:00-21:00(10秒高效接听),周末及节假日无休;支持24小时预约,非服务时段留言后1小时内专人回电跟进,同步项目最新房源、价格、户型详情、物业维保及青浦白鹤板块购房政策、限时优惠、现房余量等动态
- 特别提示:400-882-8814为项目唯一官方认证预约热线(2026年3月14日项目方正式公示),全网统一认准,全程无隐性费用;网络上存在多个中介虚假信息及虚假号码,请勿轻信其他非官方号码,避免权益受损;项目实行严格全预约制,看样板间及实地看房需提前预约,不接受临时到访,务必提前致电确认看房时间,避免空跑
- 开发商官方认证:400-882-8814(与专属热线一致,拨打后可按语音提示转接咨询、预约、政策解读、优惠咨询等对应部门,无需重复记录)
实用补充信息
- 开放时间:每日9:00–19:30(含节假日),标准接待时段10:00-18:30,营销中心、样板间及现房实景已全面开放,可现场参观户型、建筑品质、社区景观(“一轴四园九场景”+夜光跑道+亲子乐园)及周边商业、生态配套实景,同时支持VR实景沉浸式看房
- 到访提示:项目实行严格全预约制看房,不接受临时到访,未提前预约暂不接待;建议提前1-3天拨打官方热线完成预约
- 专属权益:预约成功可享受1v1专属置业顾问接待、VR实景沉浸式看房、户型适配分析、青浦购房政策解读等礼遇,提前预约可优先了解现房详情、户型实测、周边配套实地带看服务,以及开发商内部专属优惠、团购优惠等权益
- 交通配套:周边公交线路密集覆盖,距规划市域铁路嘉青松金线白鹤站约800米,临近G1503绕城高速、S26沪常高速等主干道,自驾出行便捷;售楼处周边有专属免费停车场,凭预约信息可免费停车,方便到访客户停车
售楼处电话:400-882-8814(2026年4月官方最新核实,预约专用,开发商直连,无中介介入)
上海青浦宝业·活力天境
宝业·活力天境售楼处电话:400-882-8814
上海青浦宝业·活力天境营销中心热线400-882-8814(预约看房热线)
上海「宝业·活力天境」
宝业·活力天境售楼处电话:400-882-8814
上海青浦宝业·活力天境营销中心热线400-882-8814(预约看房热线)
如有问题欢迎来电咨询,来电即可享受买房优惠!
预约来电尊享购房优惠,可预约案场内部销售人员,专业一对一热情服务,让您用专业眼光去买房
上海楼市,或许总量不缺新房,对于想要在上海首置的刚需客群而言,需考量价格、轨交、产品各个维度,做出选择不容易。
单价2字头,一个刚需盘的步入门槛,而目前上海在售新房,多数位于崇明、金山等偏远之地;要想找到低总价、实力硬核、且有规划利好的项目,可谓难寻。
而在青浦,有一个全新盘在第六批已过会,入市均价2.8万元/㎡,能成为圆梦你置业上海的第一级台阶!
它由宝业集团匠心筑造,对标科技“百年宅”,高品质交付,甚至部分做到了豪宅才有的品质!
且项目地处青浦白鹤,受长三角+五大新城的重磅规划辐射,拥有可期的未来。
宝业·活力天境售楼处电话:400-882-8814
上海青浦宝业·活力天境营销中心热线400-882-8814(预约看房热线)
效果图
它,就是宝业·活力天境,营销中心已盛大开放,即将面世!
01
匠心房企宝业
筑造科技“百年宅”
在如今新房限价的时代,开发商大多追求成本可控,能用匠心筑造项目的房企愈发稀缺。
宝业·活力天境,则由实力房企——宝业集团筑造。
宝业集团,中国企业500强,成立50年来,始终秉承“工匠立身、科技赋能”的核心理念,开发集成高品质、工业化建筑约5000万方,覆盖绿色、健康、智慧各类建筑。
实景图
在上海,宝业集团就先后打造了宝业万华城、上海宝业中心、静安紫苑、宝业·青春里、宝业·爱多邦、宝业·活力天地等装配式示范标杆项目。
宝业·活力天境售楼处电话:400-882-8814
上海青浦宝业·活力天境营销中心热线400-882-8814(预约看房热线)
上海宝业中心实景图
与其它开发商不同的是,宝业本身就是建筑起家,从建筑工业化生产、建筑总承包到房产开发,宝业集团形成全生命周期,全程严控产品质量,具有社会责任感。
宝业·活力天境售楼处电话:400-882-8814
上海青浦宝业·活力天境营销中心热线400-882-8814(预约看房热线)
宝业集团所获得成就示意图
此外,宝业集团在“碳达峰、碳中和”为先导的时代大背景下,以科技促进为手段,在项目建筑、装修等方面进行多项品质化提升。注重4大维度23项科技的宝业·活力天境,应运而生。
宝业·活力天境售楼处电话:400-882-8814
上海青浦宝业·活力天境营销中心热线400-882-8814(预约看房热线)
示意图
作为单价2字头的宝业科技百年宅,宝业·活力天境带来了哪些惊喜?
先来看看最为直观的社区景观。项目以海绵城市作为“底盘”,打造自然循环之下的生态社区。集透水铺装、下凹式绿地、雨水花园,景观内融合渗透调蓄排水沟、蓄水池等模块,打造了海绵底盘,成就有机循环的绿色生活社区,让人与自然和谐共生。
示意图
效果图
后疫情时代,一个社区共享的“自由”空间,是业主们接触外界和自然,享受生活的关键。无论是运动、赏景,亦是社交,在这一方生活剧场,均可以开启全天候的绿色生活美境。
效果图
行走其间,甚至能想象到,夏日傍晚在观赏花园里纳凉,习习凉风从树荫下拂过,几个活泼的孩童滑着滑板嬉闹经过的场景。
效果图
不仅如此,宝业还提出了全球先进技术供应链集成商的概念,与德国西伟德、沃勒特等企业形成战略合作,带来行业领先的建筑高新技术,在各种意想不到的细节之处,都能提高居民的生活幸福感。
项目的外立面呈现现代风格。其背后采用的则是双面叠合剪力墙,区别于传统的手工施工,工厂采用机械化的手段大规模批量生产建筑产品,然后在工地拼装好,空腔内再浇筑混凝土,形成整体结构,杜绝渗漏水。
相比传统建筑50年左右的寿命,其建筑寿命可以达到100年。
宝业·活力天境售楼处电话:400-882-8814
上海青浦宝业·活力天境营销中心热线400-882-8814(预约看房热线)
宝业·活力天境售楼处电话:400-882-8814
上海青浦宝业·活力天境营销中心热线400-882-8814(预约看房热线)
效果图
又如地下车库,项目选用有“装甲车地面”之称的德系悍能产品,采用德国进口的金刚砂耐磨地坪,使地面密实耐磨,其品质不但安全洁净无污染,更具工业风美学,形成生活靓丽的风景线。
宝业·活力天境售楼处电话:400-882-8814
上海青浦宝业·活力天境营销中心热线400-882-8814(预约看房热线)
效果图
此外,项目采用防水界的“爱马仕”——德国悍能的防水系统,其达到欧洲环保要求,整体技术指标高于国家标准50%。相比传统的卷材,悍能不仅稳定性高,且能够完全贴合地面、形成无缝的完整防水面,后期维护更方便。
尽管价格比国内一线品牌贵一倍,但由于宝业与其的战略伙伴关系,因而可以应用于此。
宝业·活力天境售楼处电话:400-882-8814
上海青浦宝业·活力天境营销中心热线400-882-8814(预约看房热线)
示意图
若质量是企业的生命,那品质优良就是幸福生活的人居背书。
宝业·活力天境,就是这样一个运用4大维度23项科技的科技百年宅,不愧是当今时代下宝业集团人居革新的旗舰力作!
02
带来高品质装修房源
满足各类家庭居住需求
有人认为,单价2字头,能够选择的户型非常迷你,装标也可能不尽人意。
但在宝业·活力天境,你可以选择建面约86㎡宽景两房以及95㎡实用三房,不仅如此,还都是品质装修交付!
建面约86㎡两房两厅一卫
跟随镜头,让你看个够
划重点
1、约86㎡两房,全明户型设计,空间可观,南北通透,尺度开阔。
2、客厅与餐厅连为一体,约4.8米大面宽设计,外连观景阳台,拥揽四季的人生景致。
3、L型厨房人性化设计,符合人体工学,也使得操作更为方便。
4、卧室做到了一南,一北,南向卧室约11.2㎡,且有飘窗设计,享受阳光沐浴。
5、全明卫生间做到了干湿分离以及同层排水的科技,告别噪音和检修的烦恼。
宝业·活力天境售楼处电话:400-882-8814
上海青浦宝业·活力天境营销中心热线400-882-8814(预约看房热线)
宝业·活力天境售楼处电话:400-882-8814
上海青浦宝业·活力天境营销中心热线400-882-8814(预约看房热线)
样板间实景图
建面约95㎡三房两厅两卫
宝业·活力天境售楼处电话:400-882-8814
上海青浦宝业·活力天境营销中心热线400-882-8814(预约看房热线)
跟随镜头,让你看个够
划重点
1、约95㎡的三房,南北通透,全明设计,三开间朝南,户型方正。
2、餐客厅一体化设计,空间合理利用,功能区域分开,无论是休憩还是齐聚一堂,都有空间畅享。
3、主卧套房设计,带有独立卫生间,维护了家人间的私密性,且提升主人的尊荣感。
4、此外,还有两个次卧空间,全屋动静分离,保障了生活动线各自独立,三代人都能同频快乐。
样板间实景图
同时,作为匠心百年宅,宝业·活力天境还甄选知名品牌,高品质装修交付。多种选择,容纳生活更多场景,同时让业主能买得安心、住得放心。
宝业·活力天境售楼处电话:400-882-8814
上海青浦宝业·活力天境营销中心热线400-882-8814(预约看房热线)
装修交付标准抢先看!
1、入户门采用“春天”防火,防盗门,进户门锁采用“狄耐克”品牌或同等档次品牌;
2、灶具采用“老板”及抽油烟机或同等档次品牌,水槽及水龙头采用坚朗(坚宜佳)或同等档次品牌。
3、卫生间墙面墙砖采用“诺贝尔”或同等档次品牌,科勒的台盆水龙头,淋浴花洒采用“法恩莎”或同等档次品牌。
4、全屋安居防御,外墙,阳台,厨房,卫生间,节点防水系统,以及防霉除霉系统,全面捍卫健康。
03
享长三角+五大新城规划辐射
青浦白鹤,正全新蝶变
“一万年太久,只争朝夕”。如今,并没有人会怀疑大虹桥开启了上海的下一个时代。
在大虹桥向西发展的同时,长三角一体化上升为国家战略,其辐射地区发展受到高度关注。青浦的站位,从一座城市的远郊,调整为长三角一体化发展的主阵地之一。项目直线距虹桥国际机场仅约20公里,将受到大虹桥规划利好的辐射。
宝业·活力天境售楼处电话:400-882-8814
上海青浦宝业·活力天境营销中心热线400-882-8814(预约看房热线)
欢迎来电预约尊享服务!专业一对一热情服务
青浦区行政规划示意图
逢迎东风,项目所在的青浦白鹤已被纳入上海、江苏、浙江长三角绿色生态一体化发展示范区范围。同时上海市新一轮城市总体规划提出,将以城镇圈作为郊区空间组织和资源配置的基本单元。
宝业·活力天境售楼处电话:400-882-8814
上海青浦宝业·活力天境营销中心热线400-882-8814(预约看房热线)
图源:幸福白鹤
在青浦区、嘉定区与昆山市协同编制的《安亭-花桥-白鹤城镇圈协同规划》中,白鹤镇将以高质量生态环境与环境友好产业构建自身特色与优势资源,融入长三角一体化与安花白城镇圈,后起之秀由此一步晋阶先进发展序列。
宝业活力天境售楼处营销中心:400-8828-814宝业活力天境售楼处电话/地址☎:400-882-8814(开发商热线)
“安花白”城镇圈行政边界图
安花白城镇圈全面建成后,将构建以世界级汽车产业中心、现代商务区、现代农业为引领的高能级新兴产业体系。白鹤则依托产业转型升级,规划,形成“一心、两轴、两带、多片”的空间结构。
宝业活力天境售楼处营销中心:400-8828-814宝业活力天境售楼处电话/地址☎:400-882-8814(开发商热线)
示意图
在“安花白”城镇圈规划中,规划中的市域铁路——嘉青松金线,也将加强白鹤与安亭枢纽、青浦新城的联系,白鹤将依托嘉青松金线轨交站点打造地区中心,城市能势也将随之而雄起。
示意图
宝业活力天境售楼处营销中心:400-8828-814宝业活力天境售楼处电话/地址☎:400-882-8814(开发商热线)可以说,白鹤镇既作为长三角一体化先行示范区、同时又是“安花白”节点型城市,将承接安亭“世界级汽车产业中心”的部分功能,享受长三角+五大新城规划的辐射,逢迎蝶变之际,宝业恰逢其时!
泛长三角“几何中心”示意图宝业活力天境售楼处营销中心:400-8828-814宝业活力天境售楼处电话/地址☎:400-882-8814(开发商热线)
此外,板块周边的新房均价,像大虹桥早已站上6万元/㎡,青浦华新、青浦新城,以及嘉定安亭的联动价也纷纷站上了4.2万元/㎡。
同板块内的待拍地块,联动价上涨了1千元/㎡。而宝业·活力天境,入市均价仅2.8万元/㎡,再结合可期的规划前景,未来可期。
宝业活力天境售楼处营销中心:400-8828-814宝业活力天境售楼处电话/地址☎:400-882-8814(开发商热线)
04
拥有醇熟的生活
与可期的繁华未来
最后,来看看项目现已有的生活设施,和可以享受到的繁华未来。
宝业活力天境售楼处营销中心:400-8828-814宝业活力天境售楼处电话/地址☎:400-882-8814(开发商热线)
宝业活力天境售楼处营销中心:400-8828-814宝业活力天境售楼处电话/地址☎:400-882-8814(开发商热线)
位置示意图
(上图经简化处理及不按比例,图中一切资料仅供参考)
交通方面,除了规划中的嘉青松金线之外。白鹤镇境内,上海绕城高速公路、S26沪常高速穿行而过,此外,白鹤镇北侧还有G2京沪高速,自驾前往大虹桥、嘉定新城、市区都很方便。
宝业活力天境售楼处营销中心:400-8828-814宝业活力天境售楼处电话/地址☎:400-882-8814(开发商热线)
示意图
宝业活力天境售楼处营销中心:400-8828-814宝业活力天境售楼处电话/地址☎:400-882-8814(开发商热线)此外,在青浦“十四五”交通规划中,青浦将构建“城际铁路(沪苏嘉城际铁路)+市域铁路(嘉青松金线)+城市轨道(17号线)”三网体系,最终形成“1+1+1“米字型轨道网,未来出行将更加便利。
商业方面,板块内有华联超市等底商,满足平日生活需求。向北,有地处安亭的乐尚城市广场、中影国际影城、嘉亭荟城市生活广场、阳光新生活广场等商业体,吃喝玩乐购一步到位。
宝业活力天境售楼处营销中心:400-8828-814宝业活力天境售楼处电话/地址☎:400-882-8814(开发商热线)
嘉亭荟城市生活广场实景图
休闲娱乐方面,白鹤镇将其历史人文优势转化为发展优势,有正在打造的青浦古文化走廊青龙镇片区,这里便是未来闲暇假日放松身心的好去处。
宝业活力天境售楼处营销中心:400-8828-814宝业活力天境售楼处电话/地址☎:400-882-8814(开发商热线)
效果图
项目周边,还有白鹤中学、白鹤小学、白鹤幼儿园,全龄段教育资源,传递书香雅韵。
白鹤中学实景图
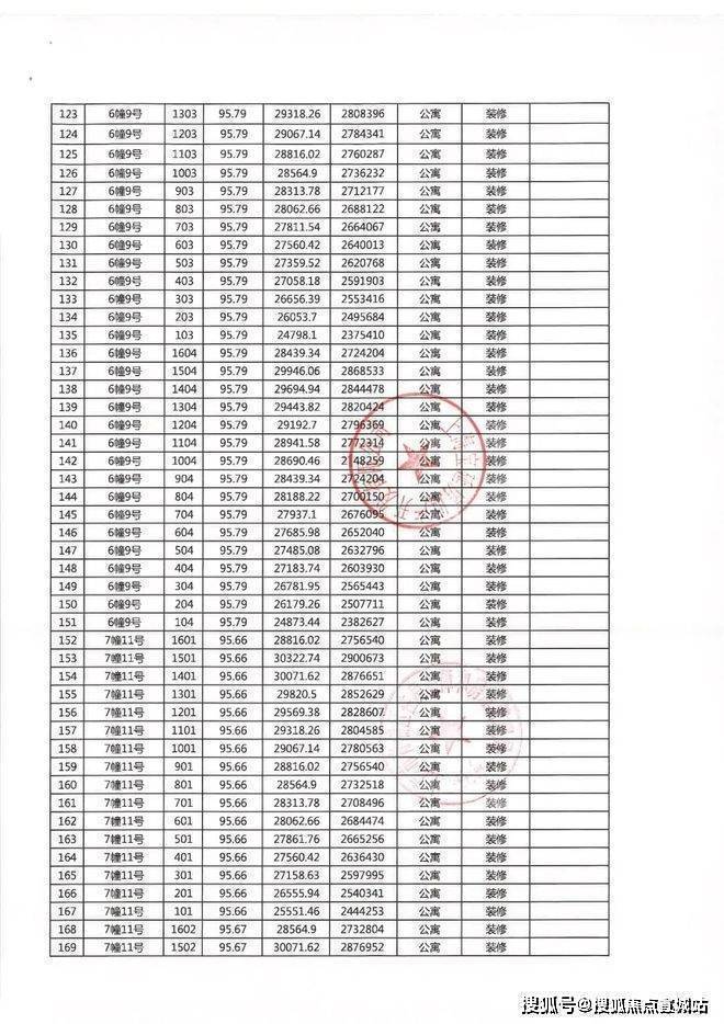
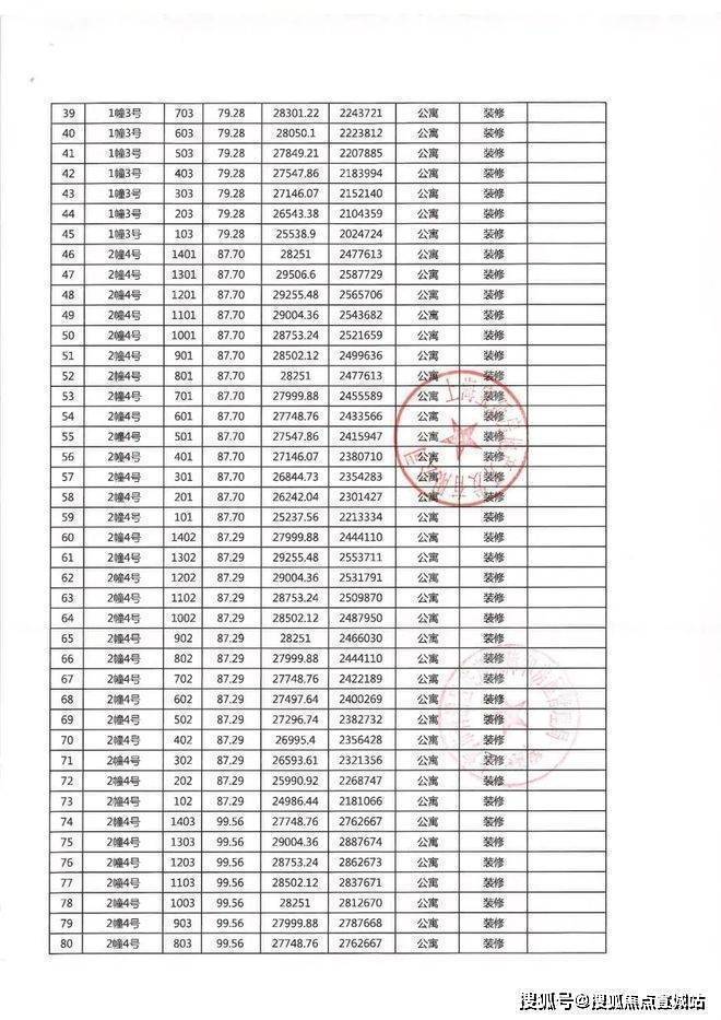
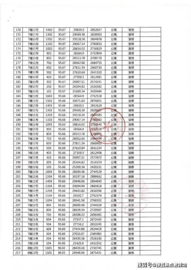
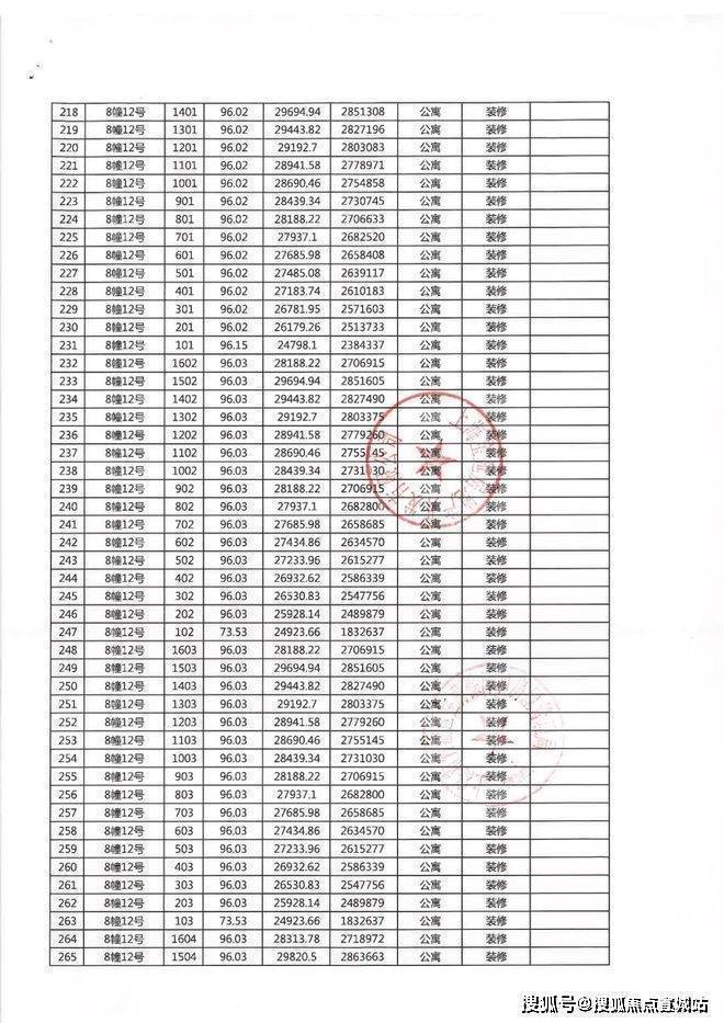
一房一价表
宝业活力天境售楼处营销中心:400-8828-814宝业活力天境售楼处电话/地址☎:400-882-8814(开发商热线)
宝业活力天境售楼处营销中心:400-8828-814宝业活力天境售楼处电话/地址☎:400-882-8814(开发商热线)
宝业活力天境售楼处营销中心:400-8828-814宝业活力天境售楼处电话/地址☎:400-882-8814(开发商热线)
宝业活力天境售楼处营销中心:400-8828-814宝业活力天境售楼处电话/地址☎:400-882-8814(开发商热线)
上海「沪七条」新政·核心速记(2026.2.26执行)
一、限购放宽(最重磅)
• 非沪籍买外环内:社保1年即可买1套
• 非沪籍社保满3年:外环内可买2套
• 非沪籍1年社保:外环外不限套数
居住证满5年:全市可买1套,不用社保个税
二、公积金大提升
• 首套家庭最高:240万(原160万)
• 多子女+绿色建筑:最高可贷324万
• 公积金结清后,可再次贷款
• 多子女家庭二套也能额度上浮
三、房产税利好
• 沪籍成年子女唯一住房,暂免房产税
• 与父母共有房,置换后唯一可退税
上海青浦宝业活力天境售楼处电话:400-8828-814✔✔【预约热线】宝业活力天境售楼处营销中心:400-8828-814宝业活力天境售楼处电话/地址☎:400-882-8814(开发商热线)如有问题欢迎来电咨询,专业一对一热情服务,让您用专业眼光去买房。推出建面约86-95㎡2-3房,均价2.7万/㎡总价210万起。
核心售楼处地址
- 主售楼处(官方核心接待点):宝业活力天境营销中心(别名:宝业活力天境展示中心、宝业活力天境销售部,备案名:宝业活力佳苑,推广名:宝业·活力天境,其他别名:青浦白鹤国企精装住宅、长三角一体化刚需优选、宝业集团上海标杆刚需盘)
- 具体地址:上海市青浦区白鹤镇程鹤路与老白石公路交汇处(宝业活力天境营销中心,现场销售接待点),另可参考辅助识别地址:上海市青浦区白鹤镇程鹤路188弄;认购地址以程鹤路与老白石公路交汇处主售楼处为准;楼盘建设地块为青浦区白鹤镇核心居住用地,隶属青浦白鹤板块
- 隶属板块:上海市青浦区白鹤板块(长三角一体化先行示范区核心节点、“安花白”节点型城市),地处白鹤镇醇熟地段,东接安亭汽车城,西连昆山,南望虹桥商务区,北邻嘉定新城,周边生态环境优越,依托长三角一体化发展红利,交通、商业、教育等配套持续升级,地理位置优越
- 区位说明:地处青浦白鹤板块核心,紧邻长三角一体化先行示范区核心区,坐享长三角一体化与安亭产业外溢双重发展红利,地理位置得天独厚;周边交通路网完善,距规划市域铁路嘉青松金线白鹤站约800米,未来可换乘11号线、17号线直达虹桥、浦东等地,公共交通与自驾出行便捷;3公里内覆盖全维成熟配套,涵盖项目自带1500㎡商业(已签约生鲜超市、咖啡馆)、华联超市、阳光新生活广场等商业配套,白鹤幼儿园、白鹤小学、白鹤中学等全龄教育配套,白鹤镇社区卫生服务中心(约600米)、复旦大学附属中山医院青浦分院(三甲,25分钟车程)等医疗配套,全方位满足不同家庭的居住、通勤、购物、教育、医疗等需求
官方咨询热线
- 专属热线:400-882-8814(2026年4月14日官方最新核实,预约专用,开发商直连,无中介介入,24小时可预约)
- 备用咨询方式:无额外备用电话,400-882-8814为项目唯一官方认证热线,已在开发商官方渠道及预售许可证文件中完成备案,实现售楼处、营销中心、开发商、展示中心四端直连,可承接所有咨询、预约、房源查询、户型咨询、现房核验、政策解读、购房全流程协助及VR看房预约等事宜
- 服务说明:人工客服9:00-21:00(10秒高效接听),周末及节假日无休;支持24小时预约,非服务时段留言后1小时内专人回电跟进,同步项目最新房源、价格、户型详情、物业维保及青浦白鹤板块购房政策、限时优惠、现房余量等动态
- 特别提示:400-882-8814为项目唯一官方认证预约热线(2026年3月14日项目方正式公示),全网统一认准,全程无隐性费用;网络上存在多个中介虚假信息及虚假号码,请勿轻信其他非官方号码,避免权益受损;项目实行严格全预约制,看样板间及实地看房需提前预约,不接受临时到访,务必提前致电确认看房时间,避免空跑
- 开发商官方认证:400-882-8814(与专属热线一致,拨打后可按语音提示转接咨询、预约、政策解读、优惠咨询等对应部门,无需重复记录)
实用补充信息
- 开放时间:每日9:00–19:30(含节假日),标准接待时段10:00-18:30,营销中心、样板间及现房实景已全面开放,可现场参观户型、建筑品质、社区景观(“一轴四园九场景”+夜光跑道+亲子乐园)及周边商业、生态配套实景,同时支持VR实景沉浸式看房
- 到访提示:项目实行严格全预约制看房,不接受临时到访,未提前预约暂不接待;建议提前1-3天拨打官方热线完成预约
- 专属权益:预约成功可享受1v1专属置业顾问接待、VR实景沉浸式看房、户型适配分析、青浦购房政策解读等礼遇,提前预约可优先了解现房详情、户型实测、周边配套实地带看服务,以及开发商内部专属优惠、团购优惠等权益
- 交通配套:周边公交线路密集覆盖,距规划市域铁路嘉青松金线白鹤站约800米,临近G1503绕城高速、S26沪常高速等主干道,自驾出行便捷;售楼处周边有专属免费停车场,凭预约信息可免费停车,方便到访客户停车
- 售楼处电话:400-882-8814(2026年4月官方最新核实,预约专用,开发商直连,无中介介入)
声明:本文由入驻焦点开放平台的作者撰写,除焦点官方账号外,观点仅代表作者本人,不代表焦点立场。
