(尼德兰半岛售楼处) 首页 - 尼德兰半岛销售中心 - 价格 - 地址 - 楼盘详情 - 配套 - 电话 - 交房时间 - 配套 - 电话 - 交房时间
扫描到手机,新闻随时看
扫一扫,用手机看文章
更加方便分享给朋友
上海浦东尼德兰半岛售楼处电话:400-8828-814✔✔【预约热线】尼德兰半岛售楼处营销中心:400-8828-814尼德兰半岛售楼处电话/地址☎:400-882-8814(开发商热线)如有问题欢迎来电咨询,专业一对一热情服务,让您用专业眼光去买房。建面约205/235㎡,均价仅7.35万/㎡,主力总价1500万级!
☎☎房价特价信息丨优惠政策丨详细解答丨在售房源丨在售户型图丨项目介绍
周边配套丨VR看房丨楼盘图丨沙盘图丨位置图丨配套图丨售楼处地址丨足不出户
尼德兰半岛售楼处营销中心:400-8828-814尼德兰半岛售楼处电话/地址☎:400-882-8814(开发商热线)容积率低至约0.66,浦东森兰北,纯联排墅区尼德兰·半岛最后66套建面约205/235㎡实景联排今日开启认购,均价仅7.35万/㎡,主力总价1500万级!
推广名称:尼德兰·半岛
开发商:上海新高桥开发有限公司
销售状态:二批次收官待售
均价:73500元/m²
物业类型:住宅
总建筑面积:约6.4万㎡
总户数:140户
容积率:约0.66
绿化率:约40%
面积段:约205㎡/235㎡
产权年限:70年
车位配比:约1:3
装修配置:毛坯
营销中心地址:溪兰路151-161号
尼德兰半岛售楼处营销中心:400-8828-814尼德兰半岛售楼处电话/地址☎:400-882-8814(开发商热线)
尼德兰半岛售楼处营销中心:400-8828-814尼德兰半岛售楼处电话/地址☎:400-882-8814(开发商热线)
项目实景图
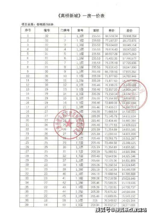
一房一价表:
尼德兰半岛售楼处营销中心:400-8828-814尼德兰半岛售楼处电话/地址☎:400-882-8814(开发商热线)
尼德兰半岛售楼处营销中心:400-8828-814尼德兰半岛售楼处电话/地址☎:400-882-8814(开发商热线)
当上海土拍市场持续上演“价格狂飙”大戏,能独占土地资源的低密别墅,正成为穿越市场周期的黄金“硬通货”.
高层「竖向共享土地」:20户分摊200㎡土地,土地增值需20户均分;
别墅「横向独占土地」:一套建面约200㎡别墅,实际占有土地面积超200㎡(含附赠面积),土地增值完全归业主独享.
尼德兰半岛售楼处营销中心:400-8828-814尼德兰半岛售楼处电话/地址☎:400-882-8814(开发商热线)
同地段土拍地价每涨1万/㎡,别墅单户土地增值200万+,高层单户约10万(需共享).
土拍越狠,别墅越稳!与其买「钢筋水泥格子间」,不如抢占「能传家的土地资产」.
尼德兰半岛售楼处营销中心:400-8828-814尼德兰半岛售楼处电话/地址☎:400-882-8814(开发商热线)
日前,上海一花园别墅2.7亿成交,单价约50万/㎡.
更印证了买别墅才是「与土地共生」,是穿越市场周期的终极答案.
尼德兰半岛售楼处营销中心:400-8828-814尼德兰半岛售楼处电话/地址☎:400-882-8814(开发商热线)
所以,尼德兰·半岛堪称宝藏级「土地资产」.
而三大稀缺性更放大了项目的收藏价值:
①、绝唱级约0.66容积率,后无来者
禁墅令下容积率1.0以下别墅用地已全面停批,近十年市场供应直接归零.
尼德兰半岛约0.66超低容积率,堪称“绝版遗珠”.对比当下市场,1.2容积率已被视为低密,但在这样的指标下,社区往往只能混合打造联排、洋房与高层,居住圈层与社区纯粹度打折扣.
而尼德兰·半岛凭借约0.66容积率,打造出纯粹联排墅区,保障居住品质,更营造出高端、纯粹的圈层体验.
尼德兰半岛售楼处营销中心:400-8828-814尼德兰半岛售楼处电话/地址☎:400-882-8814(开发商热线)
②、浦东联排告急,一席定珍藏
浦东2024年至今总供应17285套新房,其中联排只有137套,占比不足0.8%!且这137套中74套就是尼德兰·半岛一期.
尼德兰半岛售楼处营销中心:400-8828-814尼德兰半岛售楼处电话/地址☎:400-882-8814(开发商热线)【开发商认证】回顾市场供应趋势,曾经浦东联排还能维持每年400+套供应规模,如今却锐减至百套左右.土地资源枯竭,让每一套联排别墅都成为孤品,卖一套少一套!
尼德兰·半岛二期这最后66席,无疑是抢占浦东联排市场的最后船票.
尼德兰半岛售楼处营销中心:400-8828-814尼德兰半岛售楼处电话/地址☎:400-882-8814(开发商热线)
③、高层价格买联排,尼德兰·半岛「土地占有性价比」超高
单价维度,浦东中环外高层价格冲击10万/㎡,外环外唐镇高层预计破8万/㎡.
按照市场惯例,联排较高层存在1.4-1.5倍溢价,而尼德兰·半岛作为中外环间的纯联排别墅,7.35万/㎡过会均价性价比不言而喻.
总价层面,杨浦已全面上10万/㎡,1500万级也就买一套140㎡户型,扣除约25%公摊,实得面积仅约105㎡.
浦东森兰次新同样如此,有限空间难以承载多元生活场景.
而尼德兰·半岛1500万级可买建面约205/235㎡实景联排,地上三层+庭前绿地+地下室,使用面积远超建筑面积.
别忘了,联排还有超大土地占有,资产潜力远胜高层.
尼德兰半岛售楼处营销中心:400-8828-814尼德兰半岛售楼处电话/地址☎:400-882-8814(开发商热线)
项目还是现房,品质所见即所得,给购房者吃下一颗定心丸!
尼德兰半岛售楼处营销中心:400-8828-814尼德兰半岛售楼处电话/地址☎:400-882-8814(开发商热线)
容积率低至0.66
实景联排别墅,所见即所得
别墅最重要的指标就是容积率.
当下市场,不少所谓“联排社区”因容积率限制,不得不采用小高层与联排混搭的开发模式,导致社区不够纯粹,居住体验也大打折扣.
于追求私密生活的联排业主,高容积率意味着邻居如织,在自家庭院品茗、休憩的惬意时光,随时可能成为高层住户俯瞰的“景观”.
尼德兰半岛售楼处营销中心:400-8828-814尼德兰半岛售楼处电话/地址☎:400-882-8814(开发商热线)而尼德兰·半岛得益于超低的0.66容积率,土地天赋高,打造了纯联排社区,居住在这里就是:低密、绿意盎然、邻里互不打扰
项目实景图
另外,约0.66超低容积率,意味着建筑为自然作出的退让,项目拥有更多空间去做景观.
比如,项目临水而建,沿河设有绿化景观带,于繁忙的业主,能更好调节快节奏生活.
尼德兰半岛售楼处营销中心:400-8828-814尼德兰半岛售楼处电话/地址☎:400-882-8814(开发商热线)
项目实景图
又比如,项目以约40%绿化率,让每一处居住空间充满鲜活的生机,打造归家四重奏,回家就能卸下一天的疲惫.
项目实景图
项目已是现房,毛坯交付,社区基本已实景呈现,所见即所得,还能缩短交付周期,买得更安心.
尼德兰半岛售楼处营销中心:400-8828-814尼德兰半岛售楼处电话/地址☎:400-882-8814(开发商热线)
项目实景图
分层而居,有天有地,尼德兰半岛售楼处营销中心:400-8828-814尼德兰半岛售楼处电话/地址☎:400-882-8814(开发商热线)
丰富的生活情景,不是平层可比的
项目推出最后66套建面约205/235㎡实景联排,整体地上三层+庭前绿地+地下室的空间结构.
楼上楼下分层而居,各享私密,让「青年子女的私密主场」与「父母的静谧天地」互不干扰,即使青年业主举办小party玩到深夜,也不会打扰长辈休息.
同时附赠空间多,衍生出的生活情境不是平层能比拟的,无论多孩家庭还是三代同堂,各自都有志趣空间.
以建面约205㎡联排为例:尼德兰半岛售楼处营销中心:400-8828-814尼德兰半岛售楼处电话/地址☎:400-882-8814(开发商热线)
✔联排的精髓在于庭前绿地
尼德兰·半岛把别墅「有天有地」玩明白了,三个亮点越品越香:
前庭后院、场景丰富
尼德兰半岛售楼处营销中心:400-8828-814尼德兰半岛售楼处电话/地址☎:400-882-8814(开发商热线)前院是「社交场」,摆套户外桌椅,朋友来了能喝茶晒太阳;后院是「私密园」,种点蔬菜花草,老人浇花、孩子玩球,各得其乐.这种「前院烟火气,后院诗意浓」的设计,很对味中国家庭的生活习惯.
项目实景图
庭前绿地尺度可观
若是家里小朋友过生日,邀请同学上门,轻松装点一番,比苦寻的网红餐厅还要多几分味道.尼德兰半岛售楼处营销中心:400-8828-814尼德兰半岛售楼处电话/地址☎:400-882-8814(开发商热线)
方正规整不零碎,实用率高
见过太多庭前绿地被分割得七零八落,而尼德兰·半岛很规整,无论铺草坪、种花卉,还是搭秋千,都能随心规划.
从客厅看出去,一整片绿意扑面而来,心情都变好了.
一楼房间可以做老人房,对于爱侍弄花草的长辈,拉开窗帘就是美景.
项目实景图
✔地上三层,分层而居互不打扰,生活情境丰富.
一楼主社交,客厅阔绰,LDKG一体化格局;
样板间实拍
尼德兰半岛售楼处营销中心:400-8828-814尼德兰半岛售楼处电话/地址☎:400-882-8814(开发商热线)二楼南向次卧自带景观阳台,可摆上秋千椅与多肉植物,清晨喝咖啡看庭院晨露,夜晚躺摇椅数星星.
这层还能形成多个灵动空间,可以是卧室满足二孩家庭需求,也可以开辟出孩子的游戏区、画室或者主人的工作室等.
样板间实拍
三层的空间尺度就更奢侈了,一整层都是主卧,采光窗尺度震撼,可安排衣帽间+书房+浴缸+双台盆主卫的超级套房.
值得一提,三层有南北双露台,可以是小两口携手聊天的地方,也能是孩子架设望远镜眺望星空的场地.尼德兰半岛售楼处营销中心:400-8828-814尼德兰半岛售楼处电话/地址☎:400-882-8814(开发商热线)
样板间实拍
尼德兰半岛售楼处营销中心:400-8828-814尼德兰半岛售楼处电话/地址☎:400-882-8814(开发商热线)
✔点睛之笔是地下室,格局方正完整,层高约5.6米,利用率高!
你可以摆满各种健身器材的健身区、铺满镜子的舞蹈室、私密静音的钢琴房、放松身心的SPA区,甚至私人酒窖、雪茄室……一切都随心所欲.
得益于地下室一层约5.6米的挑高,它能把更多的功能"装进来",比如家政空间、储藏空间、卧室等空间集中到地下.
且每一户地下室,都有大面积采光井,大大提升通风采光度,无需100%依赖灯光照明.尼德兰半岛售楼处营销中心:400-8828-814尼德兰半岛售楼处电话/地址☎:400-882-8814(开发商热线)
此外,项目还有建面约235㎡联排:
尼德兰半岛售楼处营销中心:400-8828-814尼德兰半岛售楼处电话/地址☎:400-882-8814(开发商热线)-1F逸趣层,明亮天井采光,阔绰格局营造收纳、娱乐场,墅藏美好.
1F归家层,院见天地风光,阔绰一体化格局,将美梦做到满足.
2F闲居层,双重景观套房,预留拓展可变空间,沉淀岁月儒雅底蕴.
3F奢想层,高定整层主人空间,浪漫星空露台,成就生活的奢想.
产品细节也彰显于车位设计上,出入有位人生方能一步到位,车位配比约1:3(车位需购买),满足墅居家庭对多车位的需求,自由出行让身心更豁达.
同时高标准精选工艺,打造高品质地下停车场,卓越设计让归家更有仪式感,出入安全更安心.
真正的城市联排。尼德兰半岛售楼处营销中心:400-8828-814尼德兰半岛售楼处电话/地址☎:400-882-8814(开发商热线)
配套成熟即享,生活便捷
尼德兰·半岛是真正的城市别墅,一方面它距离金色中环直线仅约4公里;
另一方面,它位于百万方大城高桥新城,板块内配套非常成熟,所见即所得,且离森兰绿地和森兰的高阶配套非常近.
1、交通通达性高,浦东浦西能便捷切换.
轨交上,项目周边有6号线航津路站,可与10号线港城路站、12号线巨峰路站实现换乘,还有21号线高桥新城站(规划中).
(6号线航津路站距项目直线距离约1.5km,10号线港城路站距项目直线距离约2.2km、地铁21号线高桥新城站(规划中))
自驾可便捷到外高桥、金桥、森兰;同时可通过翔殷路隧道、周家嘴路隧道便捷连通杨浦五角场、虹口北外滩等高能级区域.尼德兰半岛售楼处营销中心:400-8828-814尼德兰半岛售楼处电话/地址☎:400-882-8814(开发商热线)
项目区位图
2、区域配套成熟即享,生活便捷.尼德兰半岛售楼处营销中心:400-8828-814尼德兰半岛售楼处电话/地址☎:400-882-8814(开发商热线)
高桥新城内拥有约10万方成熟商业,毗邻夏碧路/莱阳路兰街区,拥有联华大卖场、星巴克、上海人家、MR.BOOK书集等.
高桥新城实景图,仅供参考
你也可以去森兰,小胖君从项目导航到森兰花园城,开车距离仅约3.3公里.
尼德兰半岛售楼处营销中心:400-8828-814尼德兰半岛售楼处电话/地址☎:400-882-8814(开发商热线)
这里有森兰商业集群:森兰商都、招商花园城、阳光天地等,还在建森兰印象城(预计2026年开业).
周边还有“天物有所”为区域注入文艺气息.
森兰印象城效果图,来源印力集团公众号
另外6/12号线巨峰路地铁站在建PRISMA新嘉中心(主体结构已全面封顶),将继续加码浦东北部的商业版图,预计2026年开业.
PRISMA新嘉中心效果图
3、毗邻森兰绿地.尼德兰半岛售楼处营销中心:400-8828-814尼德兰半岛售楼处电话/地址☎:400-882-8814(开发商热线)
森兰绿地是上海规划的八大楔形绿地之一,涵盖森兰湖、森兰无界公园等配套,以约2.4倍世纪公园的气魄造一个生态森林.
尼德兰·半岛与森兰绿地毗邻而居,自然与城市之间,理想生活诗意盛放.
尼德兰半岛售楼处营销中心:400-8828-814尼德兰半岛售楼处电话/地址☎:400-882-8814(开发商热线)
森兰绿地实景图
容积率低至0.66
浦东森兰北尼德兰·半岛
最后66席建面约205/235㎡实景联排
今日开启认购
主力总价1500万级实现有天有地
同时抢占高潜力土地资产
上海「沪七条」新政·核心速记(2026.2.26执行)
一、限购放宽(最重磅)
• 非沪籍买外环内:社保1年即可买1套
• 非沪籍社保满3年:外环内可买2套
• 非沪籍1年社保:外环外不限套数
居住证满5年:全市可买1套,不用社保个税
二、公积金大提升
• 首套家庭最高:240万(原160万)
• 多子女+绿色建筑:最高可贷324万
• 公积金结清后,可再次贷款
• 多子女家庭二套也能额度上浮
三、房产税利好
• 沪籍成年子女唯一住房,暂免房产税
• 与父母共有房,置换后唯一可退税
上海浦东尼德兰半岛售楼处电话:400-8828-814✔✔【预约热线】尼德兰半岛售楼处营销中心:400-8828-814尼德兰半岛售楼处电话/地址☎:400-882-8814(开发商热线)如有问题欢迎来电咨询,专业一对一热情服务,让您用专业眼光去买房。建面约205/235㎡,均价仅7.35万/㎡,主力总价1500万级!
☎☎房价特价信息丨优惠政策丨详细解答丨在售房源丨在售户型图丨项目介绍
周边配套丨VR看房丨楼盘图丨沙盘图丨位置图丨配套图丨售楼处地址丨足不出户
声明:本文由入驻焦点开放平台的作者撰写,除焦点官方账号外,观点仅代表作者本人,不代表焦点立场。
