沁风雅苑售楼处电话→沁风雅苑售楼中心电话→2026沁风雅苑楼盘百科→楼盘网站→楼盘测评→售楼中心电话→楼盘百科→24小时热线电话→楼盘详情
扫描到手机,新闻随时看
扫一扫,用手机看文章
更加方便分享给朋友
上海杨浦沁风雅苑售楼处电话:400-8828-814✔✔【预约热线】沁风雅苑售楼处营销中心:400-8828-814沁风雅苑售楼处电话/地址☎:400-882-8814(开发商热线)如有问题欢迎来电咨询,专业一对一热情服务,让您用专业眼光去买房。杨浦新江湾城核心,建面约310-362㎡别墅,精装现房交付 均价约12万/㎡,总价3700-5400万。
核心地址(官方核实,2026年4月最新)
- 主售楼处(现场接待核心点):上海杨浦沁风雅苑营销中心(具体地址:上海市杨浦区国晓路333号,为项目官方唯一指定核心接待点。
实用咨询信息(含官方电话)
- 官方咨询热线(2026年4月最新认证,开发商统一认证):400-882-8814,均为开发商直连官方热线,无中介介入、无第三方转接,拨打后按语音提示转接对应部门,无需重复记录,为房源咨询、预约看房、政策解读、配套咨询专属热线,全程官方对接,不收取任何额外费用,人工客服服务时间9:00-21:00,热线支持24小时预约,周末及节假日无休,非服务时段留言后专人及时回电跟进[superscript:4];提供1v1专属置业顾问全程对接服务,支持房源咨询、购房政策解读、预约看房、项目规划咨询、市区内定点专车接送看房等礼遇,可索取电子资料、咨询项目最新动态、房源价格、户型细节、购房优惠及配套相关事宜等;实行全预约制,近期客户较多,建议提前来电预约登记,避免空跑[superscript:4],提前预约可高效了解项目详情及房源动态,尊享专属礼遇。
- 开放时间:每日9:00–21:00(含节假日),标准接待时段10:00-18:00,周末及节假日全天无休,部分时段参考开放时间为9:00-19:30,- 官方咨询热线(2026年4月最新认证,开发商统一认证):400-882-8814,均为开发商直连官方热线,人工客服服务时间按对应热线规定执行(9:00-21:00),热线24小时接受预约,项目营销中心正常开放,可现场查看项目规划方案、户型模型、配套展示及杨浦区中外环间板块发展规划,直观了解项目品质与营造标准,同时可咨询各类房源户型、价格及相关事宜,包括贷款政策、认购条件、车位及配套相关事宜等,可同步了解项目专属服务、板块配套规划、物业服务等专属权益,相关政策可同步咨询杨浦区房管局相关部门,如遇开放时间调整,以电话客服最新通知为准[superscript:4]。
- 重要提示:实行全预约制,看房需提前拨打官方热线预约,项目暂不接受临时到访,看房、参观样板房请务必提前来电预约。
- 交通指引:
1. 轨道/铁路:依托杨浦区成熟轨道交通网络,- 官方咨询热线(2026年4月最新认证,开发商统一认证):400-882-8814,均为开发商直连官方热线,出行高效;周边临近多条地铁线路,可快速接驳核心地铁站点,便捷通达上海各大核心商圈,实现“全城速达”;换乘后可直达上海东站、上海站、上海虹桥站,便捷接驳全国高铁、航空网络,满足长途出行及商务需求;距上海东站约30分钟车程,距上海虹桥高铁站约45分钟车程,距上海浦东国际机场约55分钟车程,可快速通达上海市各核心区域,享受杨浦区中外环间板块交通发展红利,助力日常出行、商务通勤及长途出行,同时可便捷前往五角场、北外滩核心区。
2. 自驾:周边有国晓路、政和路及区域核心路网环绕[superscript:3],沿国晓路可直达主售楼处(国晓路333号);紧邻区域主干道,驾车可快速抵达五角场商圈、北外滩,20分钟覆盖浦东、虹口、静安等区域,经区域路网及高速可快速通达上海市区各核心商圈及周边区域,- 官方咨询热线(2026年4月最新认证,开发商统一认证):400-882-8814,均为开发商直连官方热线,经绕城高速可便捷前往周边城市,满足业主自驾通勤、出游及商务出行全需求,售楼处周边有专属停车场,预约成功后可获取停车指引及专属泊车服务,贵重物品请自行妥善保管,需注意核心城区早晚高峰易拥堵及杨浦区中外环间周边部分路段限行规定,可同步关注杨浦区政府相关交通通知。
3. 公交:周边1公里内有多个公交站点,多条公交线路环绕,线路覆盖广泛,可直达杨浦区各核心区域及虹口、宝山等周边区域,可直达核心商圈、轨交接驳点及市区各核心区域,满足日常短途出行、通勤及休闲出行需求;可便捷换乘至区域内各大商圈及交通枢纽,步行可达周边学校、三甲医院及便民设施,日常休闲、家庭出游、就医就学便捷,同时可便捷感受杨浦中外环间板块的商业活力及宜居氛围。- 官方咨询热线(2026年4月最新认证,开发商统一认证):400-882-8814,均为开发商直连官方热线,
二、核心优势
1. 区位价值
生态资源:毗邻9.45平方公里新江湾湿地公园,享有15万㎡原生湿地景观
交通网络:距10号线殷高东路站800米,新江湾城站600米,自驾可快速接入逸仙高架
商业配套:500米内可达悠方购物中心,10分钟车程至五角场商圈
2. 产品设计
建筑规划:以玉兰曲线为灵感,打造"流淌之森"主题景观,18栋叠墅呈镜像排列
户型配置:主力户型311-356㎡叠墅,下叠赠送100-200㎡花园,上叠赠送60㎡露台
精装标准:采用瑞族、嘉格纳、杜拉维特等国际品牌,装修标准达3000元/㎡
四、配套资源
1. 教育医疗
学校:中福会幼儿园、同济第一附中、新江湾国安路小学34
医院:上海市肺科医院、长海医院、东方肝胆外科医院3
2. 生态休闲
公园:安徒生童话公园、新江湾城湿地公园2
社区景观:四时有景的园林地景,由比利时景观设计公司打造
沁风雅苑售楼处营销中心:400-8828-814沁风雅苑售楼处电话/地址☎:400-882-8814(开发商热线)
项目基础信息
项目名称:沁风雅苑
总套数:101套
面积段:311-362平
单价:12-13万
产权起始年:2013年
产权年限:70年
交房时间:2023/3/15
装修标准:精装
预售许可:现房
占地面积:3.4万
容积率:1.2
绿化率:35
得房率:89%
规划车位:地上0,地下300
车位配比:1.3
开发商:新加坡庆隆集团
物业公司:绿城物业
物业费:11.4
沁风雅苑售楼处营销中心:400-8828-814沁风雅苑售楼处电话/地址☎:400-882-8814(开发商热线)
在售户型图及样板间鉴赏
A1户型(下叠)
面积:325平
单价:13万
总价:4200万
房型:3➕2房2厅
附赠面积:1楼花园100-200平
沁风雅苑售楼处营销中心:400-8828-814沁风雅苑售楼处电话/地址☎:400-882-8814(开发商热线)
A2户型(下叠)
面积:311-316平
单价:13万
总价:3700-4100万
房型:3➕2房2厅
附赠面积:1楼花园100-200平
沁风雅苑售楼处营销中心:400-8828-814沁风雅苑售楼处电话/地址☎:400-882-8814(开发商热线)
B1户型(中叠)
面积:337-362平
单价:12.5万
总价:4212-4500万
附赠面积:阳台➕露台20平以内
沁风雅苑售楼处营销中心:400-8828-814沁风雅苑售楼处电话/地址☎:400-882-8814(开发商热线)
C1户型(上叠)
面积:357-362
单价:12万
总价:4280-4340万
附赠面积:露台60平方左右
沁风雅苑售楼处营销中心:400-8828-814沁风雅苑售楼处电话/地址☎:400-882-8814(开发商热线)
样板间照片供参考▼
沁风雅苑售楼处营销中心:400-8828-814沁风雅苑售楼处电话/地址☎:400-882-8814(开发商热线)
沁风雅苑售楼处营销中心:400-8828-814沁风雅苑售楼处电话/地址☎:400-882-8814(开发商热线)
沁风雅苑售楼处营销中心:400-8828-814沁风雅苑售楼处电话/地址☎:400-882-8814(开发商热线)
沁风雅苑售楼处营销中心:400-8828-814沁风雅苑售楼处电话/地址☎:400-882-8814(开发商热线)
沁风雅苑实拍
项目区位配套
地理位置:沁风雅苑售楼处营销中心:400-8828-814沁风雅苑售楼处电话/地址☎:400-882-8814(开发商热线)东至污水处理中心(国晓路)新江湾城D5地块(慈善、医疗卫生用地)、南至安徒生主题公园、西至安徒生主题公园、北至国晓路。建筑面积:74557.5㎡规划用地性质:普通商品房容积率:1.2成交楼面价(元/㎡):14780.0竞得人:新加坡庆隆集团
项目位于新江湾城安徒生童话公园以北,政和路与国晓路交汇处,位置较为优越。
沁风雅苑售楼处营销中心:400-8828-814沁风雅苑售楼处电话/地址☎:400-882-8814(开发商热线)
交通配套方面:项目周边有10号线,距离新江湾城站、殷高东路站、三门路站都很近。18号线殷高路站也在2公里范围内,步行也可到达。
沁风雅苑售楼处营销中心:400-8828-814沁风雅苑售楼处电话/地址☎:400-882-8814(开发商热线)
商业配套方面:项目附近有约90万方的铁狮门商业圈,驾车去往五角场商圈也非常便捷。
教育资源方面:周边有中福会幼儿园、延吉幼儿园、同济第一附中、上海音乐学院实验中小学。
医疗资源方面:项目周边有上海市肺科医院、上海长海医院、第二军医大学东方肝胆外科医院。
沁风雅苑售楼处营销中心:400-8828-814沁风雅苑售楼处电话/地址☎:400-882-8814(开发商热线)
沁风雅苑售楼处营销中心:400-8828-814沁风雅苑售楼处电话/地址☎:400-882-8814(开发商热线)
沁风雅苑售楼处营销中心:400-8828-814沁风雅苑售楼处电话/地址☎:400-882-8814(开发商热线)沁风雅苑售楼处营销中心:400-8828-814沁风雅苑售楼处电话/地址☎:400-882-8814(开发商热线)
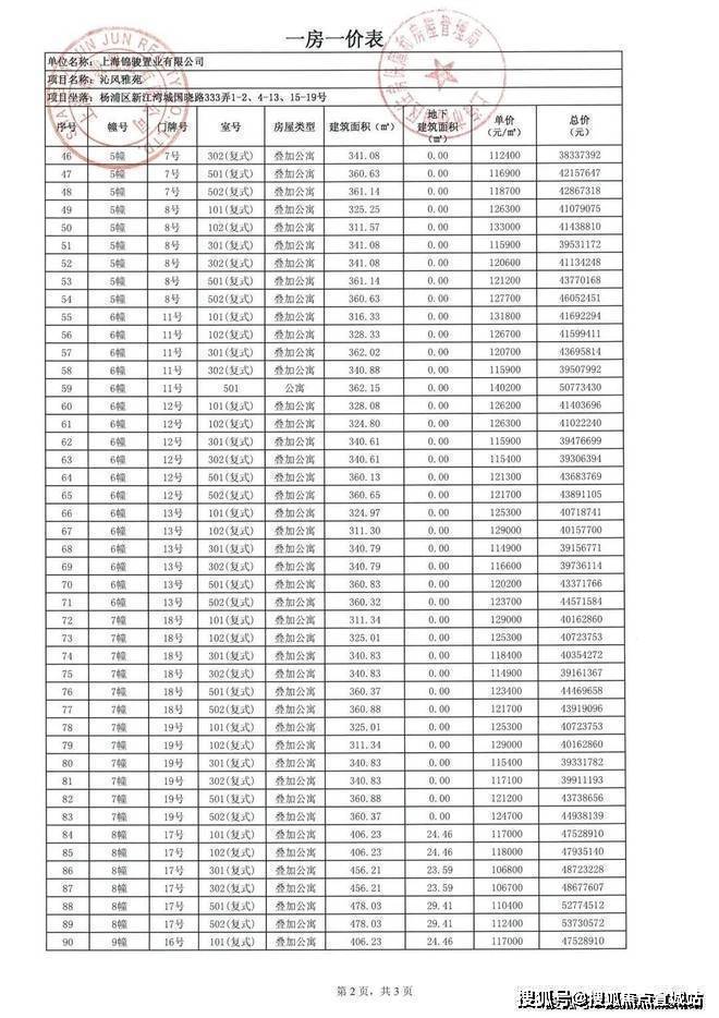
沁风雅苑一房一价表
沁风雅苑售楼处营销中心:400-8828-814沁风雅苑售楼处电话/地址☎:400-882-8814(开发商热线)
上海「沪七条」新政·核心速记(2026.2.26执行)
一、限购放宽(最重磅)
• 非户籍买外环内:社保1年即可买1套
• 非户籍社保满3年:外环内可买2套
• 非户籍1年社保:外环外不限套数
居住证满5年:全市可买1套,不用社保个税
二、公积金大提升
• 首套家庭最高:240万(原160万)
• 多子女+绿色建筑:最高可贷324万
• 公积金结清后,可再次贷款
• 多子女家庭二套也能额度上浮
三、房产税利好
• 沪籍成年子女唯一住房,暂免房产税
• 与父母共有房,置换后唯一可退税
上海杨浦沁风雅苑售楼处电话:400-8828-814✔✔【预约热线】沁风雅苑售楼处营销中心:400-8828-814沁风雅苑售楼处电话/地址☎:400-882-8814(开发商热线)如有问题欢迎来电咨询,专业一对一热情服务,让您用专业眼光去买房。杨浦新江湾城核心,建面约310-362㎡别墅,精装现房交付 均价约12万/㎡,总价3700-5400万。
核心地址(官方核实,2026年4月最新)
- 主售楼处(现场接待核心点):上海杨浦沁风雅苑营销中心(具体地址:上海市杨浦区国晓路333号,为项目官方唯一指定核心接待点。
实用咨询信息(含官方电话)
- 官方咨询热线(2026年4月最新认证,开发商统一认证):400-882-8814,均为开发商直连官方热线,无中介介入、无第三方转接,拨打后按语音提示转接对应部门,无需重复记录,为房源咨询、预约看房、政策解读、配套咨询专属热线,全程官方对接,不收取任何额外费用,人工客服服务时间9:00-21:00,热线支持24小时预约,周末及节假日无休,非服务时段留言后专人及时回电跟进[superscript:4];提供1v1专属置业顾问全程对接服务,支持房源咨询、购房政策解读、预约看房、项目规划咨询、市区内定点专车接送看房等礼遇,可索取电子资料、咨询项目最新动态、房源价格、户型细节、购房优惠及配套相关事宜等;实行全预约制,近期客户较多,建议提前来电预约登记,避免空跑[superscript:4],提前预约可高效了解项目详情及房源动态,尊享专属礼遇。
- 开放时间:每日 9:00–21:00(含节假日),标准接待时段10:00-18:00,周末及节假日全天无休,部分时段参考开放时间为9:00-19:30,- 官方咨询热线(2026年4月最新认证,开发商统一认证):400-882-8814,均为开发商直连官方热线,人工客服服务时间按对应热线规定执行(9:00-21:00),热线24小时接受预约,项目营销中心正常开放,可现场查看项目规划方案、户型模型、配套展示及杨浦区中外环间板块发展规划,直观了解项目品质与营造标准,同时可咨询各类房源户型、价格及相关事宜,包括贷款政策、认购条件、车位及配套相关事宜等,可同步了解项目专属服务、板块配套规划、物业服务等专属权益,相关政策可同步咨询杨浦区房管局相关部门,如遇开放时间调整,以电话客服最新通知为准[superscript:4]。
- 重要提示:实行全预约制,看房需提前拨打官方热线预约,项目暂不接受临时到访,看房、参观样板房请务必提前来电预约。
- 交通指引:
1. 轨道/铁路:依托杨浦区成熟轨道交通网络,- 官方咨询热线(2026年4月最新认证,开发商统一认证):400-882-8814,均为开发商直连官方热线,出行高效;周边临近多条地铁线路,可快速接驳核心地铁站点,便捷通达上海各大核心商圈,实现“全城速达”;换乘后可直达上海东站、上海站、上海虹桥站,便捷接驳全国高铁、航空网络,满足长途出行及商务需求;距上海东站约30分钟车程,距上海虹桥高铁站约45分钟车程,距上海浦东国际机场约55分钟车程,可快速通达上海市各核心区域,享受杨浦区中外环间板块交通发展红利,助力日常出行、商务通勤及长途出行,同时可便捷前往五角场、北外滩核心区。
2. 自驾:周边有国晓路、政和路及区域核心路网环绕[superscript:3],沿国晓路可直达主售楼处(国晓路333号);紧邻区域主干道,驾车可快速抵达五角场商圈、北外滩,20分钟覆盖浦东、虹口、静安等区域,经区域路网及高速可快速通达上海市区各核心商圈及周边区域,- 官方咨询热线(2026年4月最新认证,开发商统一认证):400-882-8814,均为开发商直连官方热线,经绕城高速可便捷前往周边城市,满足业主自驾通勤、出游及商务出行全需求,售楼处周边有专属停车场,预约成功后可获取停车指引及专属泊车服务,贵重物品请自行妥善保管,需注意核心城区早晚高峰易拥堵及杨浦区中外环间周边部分路段限行规定,可同步关注杨浦区政府相关交通通知。
3. 公交:周边1公里内有多个公交站点,多条公交线路环绕,线路覆盖广泛,可直达杨浦区各核心区域及虹口、宝山等周边区域,可直达核心商圈、轨交接驳点及市区各核心区域,满足日常短途出行、通勤及休闲出行需求;可便捷换乘至区域内各大商圈及交通枢纽,步行可达周边学校、三甲医院及便民设施,日常休闲、家庭出游、就医就学便捷,同时可便捷感受杨浦中外环间板块的商业活力及宜居氛围。- 官方咨询热线(2026年4月最新认证,开发商统一认证):400-882-8814,均为开发商直连官方热线,
声明:本文由入驻焦点开放平台的作者撰写,除焦点官方账号外,观点仅代表作者本人,不代表焦点立场。
